前 言
為貫徹《中華人民共和國水污染防治法》和《江西省環境污染防治條例》,加強對袁河流域污水排放的監督管理,制定本標準。
江西省污水排放標準由江西省環境保護局科技標準處提出。
本標準由江西省環境監測中心站負責起草。
標準主要起草人:熊覦、杜林、蔡芹、吉蔚群、伍恒赟、李靜云、喻生根、陳誼、陳崇東、曹晉芳 、劉建輝、馮涌。
本標準由江西省環境保護局負責解釋。

1 范圍
江西省袁河流域水污染物排放標準規定了袁河流域內各設區市轄區河段的八種主要水污染物排放總量控制限值、袁河流域各河段執行的環境質量標準、水污染物排放標準和交接斷面位置。
本標準適用于江西省袁河流域水環境管理(包括現有排放水污染物單位的排放管理,建設項目的環境影響評價,排污許可證制度,建設項目的環境保護設施設計、竣工驗收及其投產后的排放管理)。
2 規范性引用文件
下列文件中的條款通過本標準的引用而成為本標準的條款。凡是注日期的引用文件,其隨后所有的修改單(不包括勘誤的內容)或修訂版均不適用于本標準,然而,鼓勵根據本標準達成協議的各方研究是否可使用這些文件的最新版本。凡是不注日期的引用文件,其最新版本適用于本標準。
GB 7467-1987 水質 六價鉻的測定 二苯碳酰二肼分光光度法 GB 7475-1987 水質 銅、鋅、鉛、鎘的測定 原子吸收分光光度法 GB 7478-1987 水質 銨的測定 蒸餾和滴定法 GB 7479-1987 水質 銨的測定 納氏試劑比色法 GB 7490-1987 水質 揮發酚的測定 蒸餾后溴化容量法 GB 7491-1987 水質 揮發酚的測定蒸餾后4-氨基安替吡啉分光光度法GB 7486-1987 水質 氰化物的測定 第一部分 總氰化物的測定 GB 7487-1987 水質 氰化物的測定 第二部分 氰化物的測定 GB 11892-1989 水質 高錳酸鹽指數的測定 GB 11914-1989 水質 化學需氧量的測定 重鉻酸鹽法 GB 12997-1991 水質 采樣方案設計技術規定 GB 12998-1991 水質 采樣技術指導 GB 12999-1991 水質 采樣 樣品的保存和管理技術規定 GB 13456-1992 鋼鐵工業水污染物排放標準 GB 13457-1992 肉類加工工業水污染物排放標準 GB 4287-1992 紡織染整工業水污染物排放標準 GB 15562.1-1995 環境保護圖形標志——排放口(源) GB 15580-1995 磷肥工業水污染物排放標準 GB 15581-1995 燒堿、聚氯乙烯工業水污染物排放標準 GB/T 16488-1996 水質 石油類和動植物油的測定 紅外光度法 GB 8978-1996 污水綜合排放標準 GB 3544-2001 造紙工業水污染物排放標準 GB 13458-2001 合成氨工業水污染物排放標準 GB 3838-2002 地表水環境質量標準 HJ/T 91-2002 地表水和污水監測技術規范 HJ/T 92-2002 水污染物排放總量監測技術規范
3 定義
3.1 污水
指在生產與生活活動中排放的水的總稱。
3.2 主要水污染物
本標準專指化學需氧量、氨氮、揮發酚、石油類、氰化物、鉛、鎘、六價鉻八項污水中的污染物。
3.3 第一類污染物
本標準專指鉛、鎘、六價鉻三項污染物。
3.4 第二類污染物
本標準專指化學需氧量、氨氮、揮發酚、石油類、氰化物五項污染物。
3.5 交接斷面
指設置在行政區交界處的河流水質監測斷面。
3.6 總量
本標準中專指分配給各設區市主要水污染物的排放量。
3.7 水環境功能區
為執行《中華人民共和國水污染防治法》和GB 3838-2002,各級環境保護行政主管部門針對水域使用功能、經濟發展以及污染源總量控制的要求,劃定的水域分類管理功能區。
3.8 集中式飲用水地表水源地一級保護區
在集中式飲用水地表水源地取水口附近劃定的一定的水域和陸域。該區域水質執行GB 3838-2002中Ⅱ類標準。
3.9 集中式飲用水地表水源地二級保護區
在集中式飲用水地表水源地一級保護區外劃定的一定的水域和陸域。該區域水質執行GB 3838-2002中Ⅲ類標準。
4 要求
4.1 總量控制限值
污染物總量控制限值分配到各設區市。各設區市污染物排放總量控制限值見表1。
各設區市應根據本標準及轄區內污染源具體情況進行污染物總量的再分配。
表1 袁河流域水污染物總量控制限值
|
污染物 |
萍鄉市 |
宜春市 |
新余市 | |
| 第一類污染物 (單位:kg/a) | 鉛 |
/ |
40 |
50000 |
| 鎘 |
/ |
6 |
1600 | |
| 六價鉻 |
/ |
500 |
470 | |
| 第二類污染物 (單位:t/a) | 化學需氧量 |
1800 |
9140 |
11400 |
| 氨氮 |
100 |
500 |
1100 | |
| 總氰化物 |
/ |
0.3 |
90 | |
| 揮發酚 |
/ |
9 |
25 | |
| 石油類 |
1.6 |
5 |
150 | |
4.2 各河段執行的水污染物排放標準
根據我省水環境功能區劃結果,袁河共劃分為21個不同的水環境功能區,其中屬Ⅱ類水質的自然保護區、集中式飲用水地表水源地一級保護區三個,屬Ⅲ類水質的漁業用水區、景觀娛樂用水區、集中式飲用水地表水源地二級保護區十五個,屬Ⅳ類水質的工業用水區三個。
袁河流域各河段水環境功能區劃情況見表2。各水環境功能區的環境質量執行GB 3838-2002中的相應類別,排放標準執行GB 8978-1996或行業標準相應等級。根據國家環境保護局、衛生部、建設部、水利部、地質礦產部一九八九年七月十日發布的《飲用水水源保護區污染防治管理規定》及GB 8978-1996的要求,各水環境功能區內應遵守的規定如下:
4.2.1 集中式飲用水地表水源地一級保護區內
——禁止新建、擴建與供水設施和保護水源無關的建設項目; ——禁止向水域排放污水,已設置的排污口必須拆除; ——不得設置與供水需要無關的碼頭,禁止停靠船舶; ——禁止堆置和存放工業廢渣、城市垃圾、糞便和其他廢棄物; ——禁止設置油庫; ——禁止從事種植、放養禽畜,嚴格控制網箱養殖活動; ——禁止可能污染水源的旅游活動和其他活動。
4.2.2 集中式飲用水地表水源地二級保護區內
——不準新建、擴建向水體排放污染物的建設項目,改建項目必須削減污染物排放量; ——原有排污口必須削減污水中污染物的排放量,保證保護區內水質滿足規定的水質標準; ——禁止設立裝卸垃圾、糞便、油類和有毒物品的碼頭。
4.2.3 排入GB 3838-2002中Ⅲ類水域(劃定的保護區和游泳區除外)的污水,執行污水排放一級標準。
4.2.4 排入GB 3838-2002中Ⅳ類水域的污水,執行污水排放二級標準。
4.2.5 排入設置二級污水處理廠的城鎮排水系統的污水,執行污水排放三級標準。
4.2.6 排入未設置二級污水處理廠的城鎮排水系統的污水,必須根據排水系統出水受納水域的功能要求,分別執行4.2.3和4.2.4的規定。
4.2.7 GB 3838-2002中Ⅰ、Ⅱ類水域中劃定的保護區,禁止新建排污口,現有排污口應按水體功能要求,實行污染物總量控制,以保證受納水體水質符合規定用途的水質標準。
表2 袁河各河段水環境功能區劃及執行的標準
|
地區 |
河流 |
河段 |
主要功能 |
執行 GB 3838-2002 類別 |
執行排放標準級別 |
|
新余分宜縣 |
孔目江 |
孔目江 |
集中式飲用水地表水源地二級保護區 |
Ⅲ |
一級 |
|
萍鄉蘆溪縣 |
袁河 |
千丈巖至麻田花苑 |
自然保護區 |
Ⅱ |
一級 |
|
袁河 |
麻田花苑至鄭公陂 |
集中式飲用水地表水源地一級保護區 |
Ⅱ |
禁排 | |
|
袁河 |
鄭公陂至排樓 |
工業用水 |
Ⅳ |
二級 | |
|
袁河 |
排樓至楊村 |
漁業用水 |
Ⅲ |
一級 | |
|
宜春袁州區 |
袁河 |
西村橫棚至湖田草溪 |
景觀娛樂用水 |
Ⅲ |
一級 |
|
袁河 |
草溪至化成巖 |
集中式飲用水地表水源地一級保護區 |
Ⅱ |
禁排 | |
|
袁河 |
化成巖至拉絲廠 |
景觀娛樂用水 |
Ⅲ |
一級 | |
|
袁河 |
拉絲廠至渥江 |
工業用水 |
Ⅳ |
二級 | |
|
袁河 |
渥江至車田 |
景觀娛樂用水 |
Ⅲ |
一級 | |
|
新余分宜縣 |
袁河 |
車田至茅洲 |
集中式飲用水地表水源地二級保護區 |
Ⅲ |
一級 |
|
宜春袁州區 |
袁河 |
茅洲至彬江村 |
景觀娛樂用水 |
Ⅲ |
一級 |
|
新余分宜縣 |
袁河 |
彬江至分宜電廠 |
集中式飲用水地表水源地二級保護區 |
Ⅲ |
一級 |
|
袁河 |
分宜電廠至九曲峽 |
集中式飲用水地表水源地二級保護區 |
Ⅲ |
一級 | |
|
新余渝水區 |
袁河 |
九曲峽至仙女湖壩下 |
集中式飲用水地表水源地二級保護區 |
Ⅲ |
一級 |
|
袁河 |
仙女湖壩下至二化 |
集中式飲用水地表水源地二級保護區 |
Ⅲ |
一級 | |
|
袁河 |
二化至王八鬧 |
工業用水 |
Ⅳ |
二級 | |
|
袁河 |
王八鬧至羅坊 |
漁業用水 |
Ⅲ |
一級 | |
|
袁河 |
羅坊至龍尾洲 |
集中式飲用水地表水源地二級保護區 |
Ⅲ |
一級 | |
|
宜春樟樹市 |
袁河 |
龍尾洲至寒山村 |
集中式飲用水地表水源地二級保護區 |
Ⅲ |
一級 |
|
袁河 |
寒山村至荷湖館 |
景觀娛樂用水 |
Ⅲ |
一級 |
5 交接斷面設置
設區市之間設交接監控斷面,其具體位置見表3。交接斷面水質一律以GB 3838-2002中Ⅲ類水質標準要求進行考核。
表3 交接斷面位置
|
水系 |
上游 |
下游 |
交接斷面位置 | |||
|
地名 |
所在行政區 |
北緯 |
東經 | |||
|
袁河 |
萍鄉市 | 宜春市 |
棚下 |
萍鄉 |
N 27°43′37″ |
E114°07′41″ |
| 宜春市 | 新余市 |
洋江 |
新余 |
N 27°51′16″ |
E114°29′49″ | |
| 新余市 | 宜春市 |
羅坊 |
新余 |
N 27°51′23″ |
E 115°06′59″ | |
6 采樣、監測和統計
6.1 采樣
6.1.1 交接斷面的采樣
交接斷面采樣一年不少于六次,采樣分豐、枯、平三水期,每水期采樣不少于二次。采樣時應避開法定節假日和當地主要污染物排放主要工、礦企業的廠休日或檢修日,可與常規水質監測同步進行。水中污染物濃度測定方法見表4。
6.1.2 工礦企業單位排污口的采樣
GB 8978-1996中規定的第一類污染物采樣位置一律設在車間或車間處理設施排口,第二類污染物的采樣位置應設在各工、礦企業的污水外排口;
要求日排廢水量在5000t以上的工、礦企業的污水排放單位必須安裝自動在線監控裝置,安裝了自動在線監控裝置的工、礦企業排放口,取污染物日平均排放量的全年之和為年排放總量值;日排水量小于或等于5000t的排污單位應逐步實現自動在線監測;
沒有安裝自動在線監控裝置的工、礦企業,每季度至少采樣監測一次,排放口的采樣頻率按生產周期確定,具體采樣時間和頻次按HJ/T 92-2002執行;
采樣時必須同步測定廢水流量,并記錄當時的工況。
6.1.3 工礦企業單位排污口的規范化管理
流域內各排污單位應根據國家的有關規定,按照便于采集樣品、便于計量監測、便于日常現場監督檢查的原則,對排污口進行規范化整治。工、礦企業排放口應設置相應的廢水流量計量裝置(或污水比例采樣裝置),并設置永久性標志。
6.2 監測
6.2.1 交接斷面的監測
交接斷面的監測由其所在境內的設區市環境監測站負責。交接斷面的監測結果應于監測完成后一個月內上報江西省環境監測中心站,匯總后統一上報江西省環境保護局。
6.2.2 排污口監測 監測方案:排污單位的總量監測方案和承擔單位必須報轄區內設區市級以上的環境保護行政主管部門審定批準后方可執行。監測方案可按年度進行調整。凡污水量大于100t/d的污染源監測方案須報江西省環境保護行政主管部門備案。監測方案的制定按HJ/T 92-2002執行。
執行標準:排污口的污染物排放必須同時達到總量控制目標和污水綜合排放標準(或行業排放標準)的各項指標。
同一排放口排放兩種或兩種以上污水、且每種污水的排放標準又不同時,其混合污水中某種污染物的最高允許排放濃度按下式計算。

式中: C混合 ——混合污水某污染物最高允許排放濃度,mg/L;
Ci ——不同工業污水某污染物最高允許排放濃度,mg/L;
Qi ——不同工業的最高允許排水量,m3/t(產品);
(GB 8978-1996中未作規定的行業,其最高允許排水量由地方環保部門與有關部門協商確定);
Yi ——分別為某種工業產品產量(t/d,以月平均計)。
同一排放口排放兩種或兩種以上污染物時,各種污染物應同時達標。
6.3 總量監測
總量監測要由資質考核合格的監測單位(或實驗室)按總量監測方案實施監測,排污單位的監測結果須經環境保護行政主管部門所屬的環境監測站審核合格后,才能按污染物排放核定要求參加排污總量的核算。總量監測的方式有:
6.3.1 環境監測與統計相結合
日排水量大于或等于100t的排污單位,每年至少監測4次,即每季度或隔月采樣監測,核實其排水量、污染物排放濃度及總量,并與環境統計數據進行核對。
6.3.2 物料衡算法
日排水量100t以下的排污單位,可以物料衡算法、排污系數法統計排污總量,目前尚沒有規定排污系數或物料衡算誤差超過30%的排污單位,按6.3.1的規定執行。
6.4 測定方法
本標準采用的總量測定方法為:
某污染物總量=∑(污水中該污染物的濃度×污水流量)……………………………(2)
其中污水中污染物濃度測定方法見表4。
表4 測定方法
|
序號 |
項目 |
測定方法 |
方法來源 |
|
1 |
鉛 | 原子吸收分光光度法 | GB 7475-1987 |
|
2 |
鎘 | 原子吸收分光光度法 | GB 7475-1987 |
|
3 |
六價鉻 | 二苯碳酰二肼分光光度法 | GB 7467-1987 |
|
4 |
化學需氧量 | 重鉻酸鹽法 | GB 11914-1989 |
|
5 |
高錳酸鹽指數 | 高錳酸鉀法 | GB 11892-1989 |
|
6 |
氨氮 | 蒸餾和滴定法 | GB 7478-1987 |
|
7 |
氨氮 | 納氏試劑比色法 | GB 7479-1987 |
|
8 |
總氰化物 | 第一部分 總氰化物的測定 | GB 7486-1987 |
|
9 |
氰化物 | 第二部分 氰化物的測定 | GB 7487-1987 |
|
10 |
揮發酚 | 蒸餾后溴化容量法 | GB 7490-1987 |
|
11 |
揮發酚 | 蒸餾后4-氨基安替吡啉分光光度法 | GB 7491-1987 |
|
12 |
石油類 | 紅外分光光度法 | GB/T 1648819-1996 |
6.5 水污染物排放總量數據的統計、匯總與管理
6.5.1 統計范圍
本流域內污染物排放量占全流域總量控制限值80%以上的污染源均需統計在該流域的總量之內。
本標準的總量不包括農田徑流和城市徑流,也不包括自然災害引起的突發性污染量。
6.5.2 統計方法
凡當年已進行監測的排污口,按下式進行匯總統計。

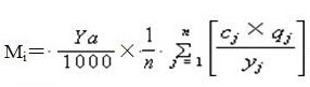
式中: Mi —— i污染物年排放量,kg/a; Cj —— 第j次監測時的日平均排放濃度,mg/L; qj —— 第j次監測時的日平均廢水排放量,m3/d; yj —— 某種工業產品在第j次監測時的日產量,t/d; ya —— 某種工業產品當年產量,t/a; n —— 本年度監測次數。
凡當年未進行監測、日排水量小于100t的排污單位,可根據當年的產量乘排污系數進行折算。排污系數可采用歷年的監測值,也可從環境統計手冊查得。在既無實測數據,又查不到排污系數時可采用物料衡算的方法確定。
對生活污染源可根據當年年末人口數乘排污系數進行折算,排污系數可查有關環境統計手冊。
6.5.3 審核與匯總
縣與縣級市的污染物排放總量由設區市環境保護行政主管部門審核與匯總,監測數據由設區市環境監測站審核認可。 設區市的污染物排放總量由江西省環境保護行政主管部門審核與匯總,監測數據由江西省環境監測中心站審核認可。
7 其它規定
根據國家綜合排放標準與國家行業排放標準不交叉執行的原則,袁河流域的造紙工業執行GB 3544-2001,合成氨工業執行GB 13458-2001,紡織染整工業執行GB 4287-1992,肉類加工工業執行GB 13457-1992,鋼鐵工業執行GB 13456-1992,磷肥工業執行GB 15580-1995,燒堿、聚氯乙烯工業執行GB 15581-1995,其它行業執行GB 8978-1996。
各設區市在進行總量分配時可留有一定的總量供當地經濟發展需要之用。



