公布日:2024.01.19
申請日:2023.10.24
分類號:C02F1/34(2023.01)I;C02F1/00(2023.01)I;C02F103/20(2006.01)N
摘要
本發明公開了一種用于畜禽養殖污水處理的組合式空化發生器,包括轉子、定子、刀具和墊片。轉子包括前蓋板、后蓋板和葉片,前蓋板局部內表面具有第一環形凸起,第一環形凸起上沿其周向交替布置若干溝槽和盲孔;后蓋板在與第一環形凸起相對的位置被切割,并在該位置連接定子,定子內表面具有和第一環形凸起相對的第二環形凸起;葉片位于環形凸起的下游;墊片位于轉子后蓋板與定子之間;刀具位于環形凸起的上游,固定在后蓋板中心,工作時隨轉子一起轉動。本發明可以有效避免畜禽養殖污水中的懸浮物造成的堵塞問題,并在多類型組合式空化的作用下有效降解污水中的有機物,能夠促進畜禽養殖污水的無害化處理。
權利要求書
1.一種用于畜禽養殖污水處理的組合式空化發生器,其特征在于,包括轉子(1)、定子(2)、刀具(3)和墊片(4),所述轉子(1)包括前蓋板(11)、后蓋板(12)和葉片(13),所述前蓋板(11)和所述后蓋板(12)并列連接,所述后蓋板(12)上設有環形通孔,所述定子(2)連接在所述環形通孔內,所述轉子(1)上設有凸起組件,所述凸起組件包括設于所述前蓋板(11)的內表面的第一環形凸起,和設于所述定子(2)的內表面的第二環形凸起,所述第一環形凸起和所述第二環形凸起相對設置,在所述第一環形凸起上且沿其周向交替設置若干第一溝槽(14)和若干第一盲孔(15),所述葉片(13)位于所述凸起組件的下游,所述刀具(3)位于所述凸起組件的上游,所述刀具(3)隨轉子(1)一起轉動,所述墊片(4)位于所述后蓋板(12)與所述定子(2)之間,用于調節所述第一環形凸起和所述第二環形凸起之間的間隙。
2.根據權利要求1所述的用于畜禽養殖污水處理的組合式空化發生器,其特征在于,所述凸起組件的中心線與所述轉子(1)的旋轉軸重合,且所述凸起組件的前緣表面和后緣表面均為圓柱面,所述凸起組件的內表面垂直于所述轉子(1)的旋轉軸。
3.根據權利要求1所述的用于畜禽養殖污水處理的組合式空化發生器,其特征在于,所述凸起組件位于δ=D1/Dout=0.45~0.85處,其中,D1為所述凸起組件的前緣表面的直徑,單位為mm,Dout為所述轉子(1)的外徑,單位為mm;所述凸起組件沿徑向的長度L=0.2~0.5(Dout-Din),其中,Din為所述轉子(1)的進口直徑,單位為mm。
4.根據權利要求1所述的用于畜禽養殖污水處理的組合式空化發生器,其特征在于,所述葉片(13)緊鄰所述凸起組件起后緣,所述葉片(13)為彎曲型,所述葉片(13)的包角θ1=45~90°,所述葉片(13)的數目z1=5~7。
5.根據權利要求4所述的用于畜禽養殖污水處理的組合式空化發生器,其特征在于,所述第一溝槽(14)和所述第一盲孔(15)的中心線均垂直于所述凸起組件表面,所述第一溝槽(14)和所述第一盲孔(15)的數目均為n1=1~3z1,其中,z1為所述葉片(13)的數目。
6.根據權利要求1所述的用于畜禽養殖污水處理的組合式空化發生器,其特征在于,所述第一溝槽(14)貫通所述第一環形凸起,所述第一溝槽(14)的擴散角α=20°~60°,所述第一溝槽(14)的有效深度Hg=0.4b~0.6b,其中,b為所述轉子(1)的出口寬度,單位為mm;所述第一盲孔(15)的擴散角為β=20°~60°,所述第一盲孔(15)的形狀包括圓柱形、半球形、長方體形和圓錐形,所述第一盲孔(15)的特征寬度Db=0.5L~0.8L,單位為mm,所述第一盲孔(15)的特征深度Hb=0.5Db~1.5Db,單位為mm。
7.根據權利要求3所述的用于畜禽養殖污水處理的組合式空化發生器,其特征在于,所述定子(2)上設有第二溝槽(21)和第二盲孔(22),所述第二溝槽(21)、所述第二盲孔(22)與所述第一溝槽(11)、所述第一盲孔(12)的數目分別相等,形狀分別相同,排布完全一致;所述定子(2)的外徑D2≥1.1(D1+2L),單位為mm,所述定子(2)外緣通過螺釘固定連接在蝸殼內壁上,空化發生器工作時,所述定子(2)固定不動。
8.根據權利要求1所述的用于畜禽養殖污水處理的組合式空化發生器,其特征在于,所述墊片(4)分為兩部分,一部分位于定子(2)的環形凸起前緣,另一部分位于定子(2)環形凸起后緣,兩處墊片數量均為n2。
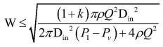
9.根據權利要求3所述的用于畜禽養殖污水處理的組合式空化發生器,其特征在于,所述轉子(1)與所述定子(2)之間設置有間隙,間隙的寬度W通過所述墊片(4)進行調節,且滿足表達式:
,式中,W為間隙的寬度,單位為mm,Q為流量,單位為m3/s,P1為空化發生器進口壓力,單位為Pa,Pv為污水的飽和蒸汽壓力,單位為Pa,ρ為污水密度,單位為kg/m3,k為損失系數,與空化器結構相關,取值范圍為0.2~0.35。
10.根據權利要求3所述的用于畜禽養殖污水處理的組合式空化發生器,其特征在于,所述刀具(3)包括刀片(31),所述刀片(31)與所述第一環形凸起的內表面沿軸向的距離S=3~5W,單位為mm,所述刀片(31)的外徑D3=0.75~0.9D1,單位為mm,所述刀片(31)為彎曲型,所述刀片(31)的包角θ2=45~90°,所述刀片(31)的數目z2=2~4。
發明內容
針對上述存在的缺陷,本發明提供了一種用于畜禽養殖污水處理的組合式空化發生器,其不僅可以有效減少堵塞,同時還能產生多類型組合式空化,促進有機物的有效降解,除此之外,該空化發生器還兼具水泵的功能,能夠在輸送污水的同時處理污水,促進了水力空化技術在畜禽污水處理領域的應用。
本發明是通過以下技術手段實現上述技術目的的。
一種用于畜禽養殖污水處理的組合式空化發生器,包括轉子、定子、刀具和墊片,所述轉子包括前蓋板、后蓋板和葉片,所述前蓋板和所述后蓋板并列連接,所述后蓋板上設有環形通孔,所述定子連接在所述環形通孔內,所述轉子上設有凸起組件,所述凸起組件包括設于所述前蓋板的內表面的第一環形凸起,和設于所述定子的內表面的第二環形凸起,所述第一環形凸起和所述第二環形凸起相對設置,在所述第一環形凸起上且沿其周向交替設置若干第一溝槽和若干第一盲孔,所述葉片位于所述凸起組件的下游,所述刀具位于所述凸起組件的上游,所述刀具隨轉子一起轉動,所述墊片位于所述后蓋板與所述定之間,用于調節所述第一環形凸起和所述第二環形凸起之間的間隙。
進一步的,所述凸起組件的中心線與所述轉子的旋轉軸重合,且所述凸起組件的前緣表面和后緣表面均為圓柱面,所述凸起組件的內表面垂直于所述轉子的旋轉軸。
進一步的,所述凸起組件位于δ=D1/Dout=0.45~0.85處,其中,D1為所述凸起組件的前緣表面的直徑,單位為mm,Dout為所述轉子的外徑,單位為mm;
所述凸起組件沿徑向的長度L=0.2~0.5(Dout-Din),其中,Din為所述轉子的進口直徑,單位為mm。
進一步的,所述葉片緊鄰所述凸起組件起后緣,所述葉片為彎曲型,所述葉片的包角θ1=45~90°,所述葉片的數目z1=5~7。
進一步的,所述第一溝槽和所述第一盲孔的中心線均垂直于所述凸起組件表面,所述第一溝槽和所述第一盲孔的數目均為n1=1~3z1,其中,z1為所述葉片的數目。
進一步的,所述第一溝槽貫通所述第一環形凸起,所述第一溝槽的擴散角α=20°~60°,所述第一溝槽的有效深度Hg=0.4b~0.6b,其中,b為所述轉子的出口寬度,單位為mm;
所述第一盲孔的擴散角為β=20°~60°,所述第一盲孔的形狀包括圓柱形、半球形、長方體形和圓錐形,所述第一盲孔的特征寬度Db=0.5L~0.8L,單位為mm,所述第一盲孔的特征深度Hb=0.5Db~1.5Db,單位為mm。
進一步的,所述定子上設有第二溝槽和第二盲孔,所述第二溝槽、所述第二盲孔與所述第一溝槽、所述第一盲孔的數目分別相等,形狀分別相同,排布完全一致;
所述定子的外徑D2≥1.1(D1+2L),單位為mm,所述定子外緣通過螺釘固定連接在蝸殼內壁,空化發生器工作時,所述定子固定不動。
進一步的,所述墊片分為兩部分,一部分位于定子的環形凸起前緣,另一部分位于定子環形凸起后緣,兩處墊片數量均為n2。
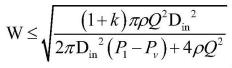
進一步的,所述轉子與所述定子之間設置有間隙,間隙的寬度W通過所述墊片進行調節,且滿足表達式:

式中,W為間隙的寬度,單位為mm,Q為流量,單位為m3/s,P1為空化發生器進口壓力,單位為Pa,Pv為污水的飽和蒸汽壓力,單位為Pa,ρ為污水密度,單位為kg/m3,k為損失系數,與空化器結構相關,取值范圍為0.2~0.35。
進一步的,所述刀具包括刀片,所述刀片與所述第一環形凸起的內表面沿軸向的距離S=3~5W,單位為mm,所述刀片的外徑D3=0.75~0.9D1,單位為mm,所述刀片為彎曲型,所述刀片的包角θ2=45~90°,所述刀片的數目z2=2~4。
借由以上的技術方案,本發明的有益效果如下:
1、本發明所述的用于畜禽養殖污水處理的組合式空化發生器,在空化發生前對污水中的懸浮物進行了切割粉碎,既能減少污水中懸浮物造成的堵塞,也能減小污水中有機物分子量,便于后續的空化降解;
2、本發明所述的用于畜禽養殖污水處理的組合式空化發生器,污水通過環形凸起之間的間隙時,在轉子和定子的相互作用下可以產生多種類型空化,部分空泡在間隙附近潰滅,釋放能量,大部分空泡在環形凸起下游集中潰滅,釋放更多能量,污水每經過空化器一次被多次降解,提高了污水的處理效率;
3、本發明所述的用于畜禽養殖污水處理的組合式空化發生器,在空化產生區域的下游布置了葉片,能夠使污水壓力快速回升,一方面促進了空泡的高強度潰滅,另一方面也保證了污水能夠被輸送至遠處,減少了其他動力設備的使用;
4、本發明所述的用于畜禽養殖污水處理的組合式空化發生器,充分考慮實際應用場景,不需要頻繁調節轉速和壓力便能實現空化,此外可以通過調整墊片的數量控制間隙的寬度,從而改變空化強度,以滿足不同濃度污水的處理需求,適應性強。
(發明人:王勇;李明;黃鈺;胡宇;王嘵林;陳杰;劉厚林)






