摘要:介紹高純銅鋅合金濾材的特性和先進性 ,以及討論了去除水中鉛、砷、汞的機理,可應用的范圍,應用現狀及前景。高純銅鋅合金濾材的特性和先進性, 及討論了去除水中鉛、砷、汞的機理,可應用的范圍,應用現狀及前景。
關鍵詞:高純銅鋅合金濾材; 重金屬;電化反應;水處理
引言
高純銅鋅合金濾材是高純度的銅,鋅顆粒,通過電化學氧化一還原(電子轉移)進行水處理工作,它可以清除水中高達99%的鉛、鉻、汞與其它可溶解金屬。對控制細菌,真菌污垢,水藻的滋生成效卓著。被用于預處理,主處理與廢水處理設備。
1 去除重金屬的機理
高純銅鋅合金濾材處理介質可以去除水中的重金屬離子,如鉛、汞、銅、鎳、鎘、砷、銻、鋁和其他許多可溶性重金屬離子,它們的去除是通過電化學氧化還原反應和催化作用完成的。去除重金屬離子的機理如下:金屬離子鍍覆于高純銅鋅合金濾材處理介質的表面或進入高純銅鋅合金濾材晶格中,從而使有毒重金屬污染物結合在高純銅鋅合金濾材上。例如,水中溶解的鉛離子還原成不溶性的鉛原子,并鍍覆于高純銅鋅合金濾材介質的表面;X射線衍射研究發現汞的去除是形成了銅一汞合金。
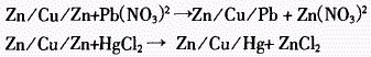
高純銅鋅合金濾材處理重金屬離子的化學反應式如下:

金屬離子在水的pH值升高時水解形成金屬氫氧化物沉淀,也能去除金屬離子。
2 高純銅鋅合金濾材的可應用范圍
高純銅鋅合金濾材可廣泛用于預處理,主處理與廢水處理設備中。它們大多與活性碳顆粒過濾器,碳塊或管內過濾器共同使用。也可單獨使用。用高純銅鋅合金濾材介質進行水的預處理是一種簡單、低耗的方法。對于微濾、超濾、反滲透膜、離子交換樹脂、顆粒狀活性炭,高純銅鋅合金濾材介質能夠保護這些昂貴易損的水處理組件不受氯、微生物、結垢的影響。此外,高純銅鋅合金濾材口介質能去除高達98%的重金屬,如Pb、cd:Ce、Ag、Ar、AI、Se、Cu、Hg,另外,借助沉淀在高純銅鋅合金濾材介質上發生的氧化還原反應還可以降低水中碳酸鹽、硝酸鹽和硫酸鹽。
影響膜分離工藝效率的主要問題是各種污染物在膜表面的沉積,造成膜表面孔的堵塞,這已是無可爭議的事實。高純銅鋅合金濾材介質與微濾、超濾、反滲透膜、離子交換樹脂、顆粒活性炭相比,在提高水處理效率和持續保持高效方面具有更多的優勢,消耗更低。
2.1 去除市政飲用水中的余氯
高純銅鋅合金濾材口處理介質正日益被用來替代或與活性炭過濾器聯合使用,去除市政自來水中的余氯(可高達99%),其主要特點是使用壽命長。并保護活性炭濾層免受細菌污染,使碳的去污能力提升到原來的15倍。并且高純銅鋅合金濾材使更小型的碳過濾器的使用成為可能,從而降低了使用成本。
2.2 保護反滲透裝置
反滲透膜很容易受氯腐蝕。高純銅鋅合金濾材口介質可代替活性炭處理以保護反滲透(RO)裝置免受氯氣、細菌污染,有抑制微生物繁殖的作用。美國現代中西部門診部實驗室處理量為355Ud的反滲透裝置,裝了高純銅鋅合金濾材過濾介質預處理設備后,膜的使用壽命明顯延長。實驗室的操作管理人員的報告表明:反滲透膜工作了整整八年,給美國病理學院提供了大量試劑用水,出水水質一直保持在一級水平。
2.3 抑制冷卻水中細菌及藻類的繁殖、減少結垢
冷卻塔及水冷式熱交換器中的水常被加溫并曝于空氣一因而成為細菌、藻類繁殖的絕好溫床(例如Legionella(軍團病)可得自冷卻塔)。傳統化學法通過投加藥劑控制冷卻塔中藻類及細菌生長,其費用昂貴,后續污水處理成本也高。高純銅鋅合金濾材處理介質處理冷卻水成本低,可有效控制藻類及細菌生長,不使用對環境有害的化學物質。另外,經高純銅鋅合金濾材介質處理后的水可減少硬水垢的生成。
2.4 高純銅鋅合金濾材處理介質與其它凈水系統
高純銅鋅合金濾材介質可以控制顆粒活性炭層或活性炭濾芯內細菌、藻類的繁殖。當活性炭與高純銅鋅合金濾材處理介質一起使用時,活性炭去除有機雜質及余氯的能力增強。高純銅鋅合金濾材處理介質也可以代替滲銀活性炭。從而降低成本。也避免了滲銀活性炭銀的毒性造成的潛在危險。
2.5 去除有害重金屬及其他可溶性重金屬離子
高純銅鋅合金濾材口介質,可單獨用來從水中除去鉛、汞、砷等有害重金屬以達到滿足飲用水的要求。以除砷為例,當進水含砷量為5mg/L,口高純銅鋅合金濾材過濾處理后水中含砷量為O-lmg/L,去除率99.7%。在應用高純銅鋅合金濾材除砷時,毋需投加藥劑,所需設備也較簡單,僅需配備一臺高純銅鋅合金濾材過濾器,處理過程也十分迅速,其過濾速度是一般采用石英砂的機械過濾器的三倍,因而設備占地面積也較小。
3 高純銅鋅合金濾材的其他優點
高純銅鋅合金濾材處理介質的高壽命,保守的估計高純銅鋅合金濾材處理介質的使用壽命也在l0年以上。提供高質量的家庭用水口感更好,雜味更少的水質。
4 結論
高純銅鋅合金濾材已經在國外水處理行業中得到普遍使用,但國內企業應用較少。目前國內已有一些公司如:北京盛峰飛龍環?萍加邢薰镜韧ㄟ^不斷的嘗試,使其成功的運用到凈水、中水、污水等水處理行業中,且已批量出口?梢灶A見,隨著國內企業對高純銅鋅合金濾材的逐步認知,高純銅鋅合金濾材在國內水處理行業中必將得到更加廣泛的應用。
參考文獻
1 張壽愷.氧化還原濾料新進展.給水排水,2000 NO.10.
2 姜安璽.環境工程學.黑龍江科學技術出版社.
3 劉玉鈍氧化還原水處理技術中國給水排水壩,1997.N03. 來源:谷騰水網 作者: 馬 晶


