摘要:光電玻璃減薄蝕刻液中氟硅酸(H2SiF6)的累積,是導致蝕刻液無法連續使用而轉化為廢液的主要原因。嘗試對蝕刻廢液中氟硅酸進行選擇性脫除工藝,探索刻蝕液循環利用的有效處理方法。鑒于氟硅酸的堿金屬鹽具有溶解度較低的特點,研究考察了利用鈉鹽或鉀鹽為沉淀劑,將廢液中的H2SiF6以氟硅酸鹽的形式沉淀去除,為實現蝕刻液的循環利用提供可能。結果表明,KCl相比NaCl對H2SiF6處理效果更好,但生成的K2SiF6的結晶顆粒過細,難以自然沉降,過濾效果較差;而Na2SiF6結晶沉降特性較好,且使用NaCl為沉淀劑具有價廉易得等特點,可作為氟硅酸的理想沉淀劑。H2SiF6去除率與堿金屬鹽H2SiF6摩爾計量比正相關,當摩爾計量比NaCl/H2SiF6=2,H2SiF6含量10%的模擬廢液,其H2SiF6去除率可達到90%以上。
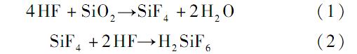
隨著現代科技的發展,電子顯示設備越來越趨向輕薄化,光電玻璃屏的厚度已從1996年的1.1mm降至目前0.5mm,在手機等便攜式設備中應用的玻璃厚度更下降至0.3mm以下。在顯示玻璃屏的制作環節中,玻璃基板的減薄化處置是確保該工藝完成的重要環節,玻璃減薄效果的好壞將直接影響產品的質量。目前酸蝕刻處理是常用的玻璃減薄方法,其主要原理是:含HF的混酸與玻璃中的SiO2以及其他金屬氧化物發生反應,使得玻璃表面發生剝離,實現玻璃減薄以及表面強化目的,其主要化學反應如下:

常見玻璃減薄液的基本配方為15%~30%HF、1%~5%H2SO4,3%~10%HCl以及5%~20%NH4HF2,由(1)、(2)式可知,隨著反應的不斷進行,減薄液中HF濃度逐漸降低,H2SiF6含量逐漸累積,當H2SiF6濃度達到10%~1%左右時,玻璃減薄液粘度增加,玻璃表面減薄及處置效果變差,減薄液無法繼續使用而造成廢液排放。
目前玻璃減薄廢液作為行業危廢液體,其處理主要采用石灰或石灰石中和處置法。這類方法可以使廢液中的F-、SiF62-離子以及PH值等達標排放,但這一過程會產生大量的含CaSO4、Ca F2的混合固體,這一固體屬于危險廢物,增加了后續處置的成本(處理費>=2000元/t),且浪費了廢液中大量未反應的HF等酸性原料。具體參見http://www.xhxdt.com更多相關技術文檔。
因此,從清潔生產、資源回用以及環境保護等方面進行考慮,該工藝都有待進行改進。基于此點,本文采用選擇性沉淀處理技術,基于氟硅酸鈉(Na2SiF6)、氟硅酸鉀(K2SiF6)在酸液中的沉淀性,將減薄廢液中H2SiF6以Na2SiF6或K2SiF6沉淀形式進行選擇性去除,且不破壞蝕刻液中其他可利用的酸性組分。處理后酸液再經過原料補加及組成調整等工藝進行循環利用。該方案不會產生大量的危廢固體,惟一產生的Na2SiF6、K2SiF6固體通過進一步處理,制成純Na2SiF6、K2SiF6或其他含氟副產品,進行銷售,基本實現廢物”零”排放,因此該工藝具有潛在的應用前景。
1實驗方法
1.1材料及原理
詳情請點擊下載附件:玻璃減薄蝕刻液中氟硅酸的選擇性脫除方法


