農藥生產廢水水質復雜、有機物濃度高、難降解有機物多,對環境造成嚴重威脅。甲基嘧啶磷是一種新型有機磷農藥〔1〕,其氮雜環結構非常難降解〔2〕,目前關于甲基嘧啶磷生產廢水處理的研究尚未見報道。電催化氧化是一種處理難降解有機廢水的高級氧化技術〔3〕,其原理是在電極和催化材料作用下產生活性基團氧化水中有機物,使其分解為CO2 和H2O 等而安全排放,是一種綠色環保的處理方法。
筆者以鉛合金板作為陽極,不銹鋼板為陰極,采用電催化氧化法對甲基嘧啶磷生產廢水及其降解機理進行研究,探討處理過程中各工藝參數對降解效率的影響及甲基嘧啶磷的電催化氧化降解過程,以期得到一種能耗最低、效率最高的廢水處理方法。
1 實驗部分
1.1 實驗原料
藥品:甲基嘧啶磷、七水合硫酸亞鐵、無水硫酸鈉、硫酸亞鐵銨、硫酸汞、硫酸銀、硫酸、重鉻酸鉀、氫氧化鈉、鄰菲羅啉,均為分析純。
儀器:自制電催化氧化裝置;TPR1530D 型直流穩壓穩流電源,香港龍威儀表有限公司;pHBJ-260 型pH 計,上海儀電科學儀器股份有限公司;WL- 600 型蠕動泵,常州普瑞流體技術有限公司;WMX- Ⅲ-A 型微波閉式消解儀,韶關廣智科技設備有限公司;1100 Series LC/MSD 型高效液相色譜-質譜儀,美國Agilent 公司。
實驗所用工業廢水取自某農藥廠,呈棕紅色,有刺激性氣味,pH 為6.0,COD 為98 700 mg/L。
實驗所用模擬廢水采用分析純甲基嘧啶磷配制,甲基嘧啶磷為0.5 mL/L,中性,支持電解質濃度(Na2SO4)為0.1 mol/L。
1.2 實驗方法
(1) 甲基嘧啶磷廢水的電催化氧化降解。以鉛合金板為陽極,不銹鋼板為陰極,陰陽極板面積均為10 cm×10 cm,以極板間距1 cm 放置于自制聚丙烯電解槽內,接好電源和蠕動泵,組成自制電催化氧化裝置。取初始COD 約98 700 mg/L 的甲基嘧啶磷廢水1 700 mL,加入電催化氧化裝置中進行降解。反應一定時間取樣,以COD 為考察指標。
(2)甲基嘧啶磷的電催化氧化降解機理實驗。以鉛合金板為陽極,不銹鋼板為陰極,陰陽極板面積均為6 cm×9 cm,以極板間距1 cm 放置于250 mL 燒杯內,置于磁力攪拌器上,組成自制電催化氧化裝置。取200 mL 模擬廢水加入到電催化氧化裝置中,設定電流密度0.020 A/cm2,磁力攪拌速度200 r/min。反應一定時間取樣,進行液質聯用分析。
1.3 分析方法
COD 采用微波密封快速消解,硫酸亞鐵銨滴定法進行測定。甲基嘧啶磷降解中間產物的檢測采用液質聯用法,液相色譜柱型號為Zorbax Eclipse XDB-C8,4.6 mm×150 mm,3.5 μm。流動相為V(甲醇)∶V(水)=70∶30,流速1.0 mL/min,進樣量20 μL,紫外檢測波長250 nm,柱溫35 ℃。大氣壓化學電離源APCI,正離子模式,干燥器溫度350 ℃,干燥氣流速5 mL/min,霧化壓力0.413 7 MPa。
2 結果與討論
2.1 初始pH 對甲基嘧啶磷廢水降解效果的影響
取1 700 mL 甲基嘧啶磷工業廢水,固定極板間距為1 cm,電流密度為0.020 A/cm2,蠕動泵循環流量1 800 mL/min,調整初始pH 分別為3、5、7、9,在反應1 h 和3 h 時分別取樣。初始pH 對甲基嘧啶磷廢水中COD 去除率的影響如圖 1 所示。
圖 1 初始pH 對廢水COD 去除率的影響
由圖 1 可以看出,隨著pH 的升高,COD 去除率迅速增加,但當pH 達到9 時,去除率反而下降。這可能是因為一方面鉛合金陽極在pH 適中的情況下催化活性高,另一方面pH 的變化可使有機污染物在溶液中的存在形態發生變化,但當pH 過高時大量OH-會被直接氧化為O2,發生析氧副反應〔4〕,導致電流效率的降低,故pH=7 是最適宜選擇。
取1 700 mL 甲基嘧啶磷工業廢水,固定初始 pH 為7,極板間距為1 cm,蠕動泵循環流量1 800 mL/min,電流密度分別選擇0.012、0.016、0.020、 0.024 A/cm2,在反應1、3 h 時分別取樣。電流密度對甲基嘧啶磷廢水COD 去除率的影響見圖 2。
圖 2 電流密度對廢水COD 去除率的影響
由圖 2可知,隨著電流密度的增加,COD 去除率逐步增大,電流密度為0.024 A/cm2 時電解3 h,COD 去除率可達60.0%。這主要是因為電流密度的增加使得電極的催化活性增大,加快了電化學反應速度。當電流密度由0.020 A/cm2 增大到0.024 A/cm2 時, COD 去除率增加幅度已不明顯,這可能是因為隨著電流密度的增加析氧副反應加劇,熱量損失增加,導致電解效率降低〔5〕。從降解效果及經濟方面考慮 0.020 A/cm2 為較適宜的電流密度。
2.3 反應時間對甲基嘧啶磷廢水降解效果的影響
取1 700 mL 甲基嘧啶磷工業廢水,固定初始 pH 為7,極板間距為1 cm,蠕動泵循環流量1 800 mL/min,電流密度0.020 A/cm2,反應4 h,每隔1 h 取樣。反應時間對甲基嘧啶磷廢水COD 去除率的影響如表 1 所示。

由表 1 可知,反應1 h 時COD 去除率就已達到51.42%,這可能是由于廢水中存在一些易降解物質在電催化條件下被迅速礦化。但反應1~3 h 時COD 去除率增長非常緩慢,3~4 h 時去除率又有所增加,可能是反應1 h 后廢水中殘留一些難降解物質,反應3 h 后才開始逐漸降解。且1 h 后的廢水仍呈棕紅色,隨時間延長顏色逐漸變淡,反應終止后水樣近無色。因此確定難降解物質的組成,對于突破反應1~3 h 時的瓶頸,提高含嘧啶環類有機磷農藥的電催化氧化處理效率具有至關重要的意義。
2.4 電催化氧化下甲基嘧啶磷的降解機理
2.4.1 電催化氧化下甲基嘧啶磷的中間產物
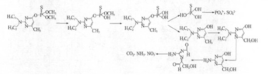
按1.2(2)方法,采用HPLC-MS 檢測甲基嘧啶磷降解的中間產物,中間產物的結構式見表 2。
|
時間 /min |
0 |
30 |
150 | |||||||||||||||||||||||||||||||||||||||||||||||||||||||||||
|
結構式 |
||||||||||||||||||||||||||||||||||||||||||||||||||||||||||||||
|
相對分子質量 |
305 |
305 |
291 |
277 |
181 |
197 |
141 |
305 |
277 |
197 |
157 |
|||||||||||||||||||||||||||||||||||||||||||||||||||
2.4.2 降解機理分析
根據HPLC-MS 檢測到的中間產物,筆者對甲基嘧啶磷的電催化氧化降解機理作出以下的推斷:

甲基嘧啶磷的先期降解都是圍繞著嘧啶環的支鏈進行,開環產物在150 min 的樣品中被檢測到,開環后到礦化中間產物未檢出,有理由認為嘧啶環非常穩定。嘧啶環的穩定性及開環產物的難礦化,有可能就是電催化氧化處理甲基嘧啶磷廢水時存在一個降解緩慢期的重要原因。這與以往的文獻報道基本一致〔2〕。另有文獻認為甲基嘧啶磷的N-乙基基團最容易氧化〔6〕,而筆者發現O,O-二甲基硫代磷酰基在電催化過程中先于N-乙基反應,因此含氮雜環化合物的電催化氧化降解機理值得進一步研究。具體參見http://www.xhxdt.com更多相關技術文檔。
3 結論
以鉛合金板為陽極,不銹鋼板為陰極,對甲基嘧啶磷廢水進行電催化氧化降解。初始pH 為7、電流密度為0.020 A/cm2、反應時間4 h 時,COD 去除率近 70%。同時提出了甲基嘧啶磷電催化氧化降解的完整途徑。


