高爐煤氣洗滌是將煉鐵高爐爐頂出來的經干式重力除塵器除塵后的煤氣通過水洗滌使之成為凈煤氣,再送至冶金廠用戶作為燃料使用。因洗滌水與煤氣直接接觸,煤氣中的細小固體雜質(亦稱瓦斯泥)、礦物質與有害物質也進入水中,導致水質受到污染。國內高爐煤氣洗滌水的處理工藝包括沉淀、冷卻、水循環阻垢緩蝕處理、污泥脫水與利用等主要工序。其中沉淀法主要去除水中懸浮物,對于循環處理系統外排的高爐煤氣洗滌廢水則顯得力不從心。由于此類廢水中含有對鋅沉淀產生干擾的氰、氯、硫等諸多因素,傳統化學沉淀處理方法對含鋅廢水往往難以奏效,故目前國內尚無成功處理該類廢水使其達到較好去除效果或達標排放的范例。筆者采用次氯酸鈉氧化法及氫氧化物沉淀法對鋼鐵工業含鋅含氰廢水進行處理,并進行了初步的工業應用。
1反應原理
1.1氧化反應
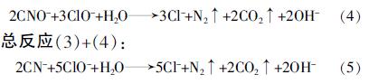
用活性氯破壞氰化物是堿式氯化法的基本反應,無論電解食鹽法、液氯法還是漂白粉法均基于這類反應。其反應過程可能分兩步進行,首先氰化物在次氯酸根作用下被氧化為氯化氰,隨后氯化氰在堿性條件下水解為毒性不大的氰酸鹽,在接近中性下被氧化水解為N2和CO2。其反應方程式為:
①堿性條件下(pH為9~10):

②接近中性條件下(pH為7~8):

由于中間產物CNCl是揮發性物質,其毒性和HCN相當。在酸性條件下CNCl穩定不易分解,所以要在堿性條件下保持適當長的時間再回調pH(或經過濾或沉淀等固液分離處理后再回調pH)。
1.2沉淀反應
工業污水中的多數重金屬離子可用氫氧化物沉淀方法去除,因此鋅離子可通過化學沉淀法去除。
![]()
由于鋅的氫氧化物呈兩性,pH過高會重新溶解。例如Zn2+在pH=9時幾乎全部以Zn(OH)2的形式沉淀。但當pH>11時,已生成的Zn(OH)2與過剩的OH-發生反應,生成可溶性的Zn(OH)42-。顯然,用氫氧化物分離污水中的金屬離子時,污水pH是操作的重要條件之一。本實驗中除鋅反應的pH宜控制在10以內,使其生成Zn(OH)2沉淀。
2實驗部分
2.1水質水量
實驗水樣來自湘潭鋼鐵(集團)公司某水站的高爐煤氣洗滌水,采集該水站外排出口水樣,帶回實驗室自然沉降,過濾后備用。其水質情況見表1。

2.2儀器與試劑
儀器:JA203H電子天平,常州市常運電子設備有限公司;RT-SX型數顯恒溫電熱套,鄭州長城科工貿有限公司;D-2無級恒速攪拌器,鞏義市英峪予華儀器廠;可調電子萬用爐,北京市永光明醫療儀器廠;HH-2數顯恒溫水浴鍋,常州國華電器有限公司;pHS-25酸度計,上海精密科學儀器有限公司。試劑:氯化鈉,基準試劑;安替福民〔即NaClO,有效氯≥10%(質量分數,下同),游離堿≤4%〕;EDTA-2Na、磷酸、硝酸銀、對二甲氨基亞芐基羅丹寧、丙酮、氫氧化鈉、鹽酸、硫酸、鉻酸鉀、無水乙酸鈉、乙酸、氟化鉀、酒石酸、檸檬酸三鈉、二甲酚橙,均為分析純。
2.3實驗方法
準確移取400mL水樣,加入一定量NaOH(調節pH)及催化助劑,然后移至室溫水浴中,用移液管準確移取一定量NaClO,進行攪拌,反應20~40min后取上層清液測定氰化物〔8〕及鋅離子〔9〕。
2.4正交試驗設計
由于廢水成分復雜,在初步試驗基礎上,綜合考慮后確定高爐煤氣洗滌水脫鋅脫氰的影響因素:有效氯含量(A)、反應時間(B)和反應溫度(C)。選擇L9(33)的正交試驗方案〔10〕安排脫鋅脫氰實驗。
3結果及討論
3.1正交試驗
正交試驗結果如表2所示。

考慮氰化氫易揮發,確定脫鋅脫氰處理最佳條件:有效氯250mg/L,反應時間30min,溫度20℃。
3.2反應條件對脫鋅脫氰的影響
為了防止工業生產過程中出現突發異常情況,研究了各個因素對高爐煤氣洗滌水脫鋅脫氰效果的影響。實驗中以有效氯250mg/L,反應時間30min,溫度20℃為基本條件,每次只改變其中一個變量,其他條件為常量。
3.2.1反應時間對去除效果的影響
在廢水處理中,處理時間直接關系到處理裝置的大小。在pH為9~10、溫度為20℃、有效氯為250mg/L下考察反應時間對去除率的影響,見表3。

從表3可見,在機械攪拌作用下,NaClO與CN-可在較短時間內完成反應,氰化物去除率在98.5%以上。且在不同反應時間下,鋅離子的去除率均高達100%,說明實驗條件范圍內反應時間對鋅離子的去除率影響不明顯。50min時出水總氰化物<0.5mg/L,能達到GB8978—1996一級排放標準要求。
3.2.2有效氯含量對去除率的影響
由于廢水的成分比較復雜,多種物質均能與次氯酸鈉發生反應,導致次氯酸鈉加入量很難由理論計算準確得出。在pH=9~10、攪拌反應30min、20℃下考察有效氯含量對去除率的影響,結果見表4。

表選項由表4可以看出,隨著有效氯的增加,總氰化物、鋅離子的去除率均提高,說明總氰化物、鋅離子的去除率與有效氯質量濃度有關。由于水樣中存在著游離氰化物和絡合氰化物(絡合氰化物包括鋅氰絡合物),當有效氯達到一定值后可以氧化破壞鋅氰絡合物而釋放出鋅離子,使鋅離子得以沉淀去除。當有效氯質量濃度為200mg/L時,鋅離子為27.79mg/L,總氰化物為9.59mg/L,可達到湘潭鋼鐵集團有限公司內部工業循環用水(Q/OHAB801.1—2009,總氰化物≤10mg/L,鋅離子≤30mg/L)的標準要求。當有效氯質量濃度300mg/L時,總氰化物<0.5mg/L,鋅離子去除率達100%。
3.2.3反應溫度對去除率的影響
廢水處理溫度的高低直接影響到處理裝置的復雜程度和處理費用。若要求處理溫度較高時,處理低溫廢水時就需要加熱設施,不僅處理裝置復雜、操作麻煩,而且也增加了設備投資和運行費用。在pH為9~10、有效氯250mg/L、攪拌反應時間30min的條件下,考察溫度對去除率的影響,結果見表5。

由表5可知,隨著反應溫度的升高,總氰化物去除率增大;當反應溫度達到25℃時,總氰化物的去除率>99%,總氰化物<0.5mg/L,達到GB8978—1996的一級標準要求。在實驗條件范圍內不同溫度下的鋅離子去除率均為100%,說明溫度對鋅離子去除率影響不大。
3.2.4最佳條件的確定
根據正交試驗和單因素實驗確定的最佳反應條件:pH為9~10、溫度為25℃、有效氯質量濃度為250mg/L、反應時間為30min,進行3次重復性實驗,結果見表6。由表6看出,3次重復性實驗的平均剩余總氰化物為0.35mg/L,優于正交試驗的最優結果0.39mg/L,說明進一步優化后脫氰效果優于正交試驗。

在上述實驗基礎上對湘潭鋼鐵集團有限公司某高爐煤氣洗滌循環水系統進行了適當改造,增設了次氯酸鈉氧化及氫氧化物沉淀處理設施,并在生產現場工業運行中進行了初步考察。
試運行水站原有工藝流程見圖1

改造后工藝流程見圖2。

由于原工藝流程中沒有對廢水進行除氰除鋅處理,在生產現場對斜板池進行適當改造,調節合適的pH并加入適量次氯酸鈉溶液(考慮到成本控制,實際運行劑量較實驗最優劑量要低)進行處理。試運行中每天取樣分析一次,所得數據列于表7。

根據表7可知,增設次氯酸鈉氧化及氫氧化物沉淀處理設施后,污水混合池外排出水口處水樣中的總氰化物平均為4.42mg/L,鋅離子平均為14.71mg/L,能夠達到Q/OHAB801.1—2009(總氰化物≤10mg/L,鋅離子≤30mg/L)的要求。
另外發現現場應用結果與實驗結果存在一定差距,分析認為有以下原因:為控制操作運行費用,只需使水質達到公司內部標準,實際運行劑量較實驗最優劑量低,同時現場改造有限故難以達到實驗優化工藝條件;此外則是現場及水質的復雜性所致。具體參見http://www.xhxdt.com更多相關技術文檔。
增設次氯酸鈉氧化及氫氧化物沉淀處理設施后藥劑費用見表8。可以看出,所需藥劑費用可控制在3元/m3以內。

5結論
(1)次氯酸鈉氧化法及氫氧化物沉淀法對鋼鐵工業含鋅含氰廢水有較好的處理效果。正交試驗結果表明,其脫鋅脫氰結果具有重現性。
(2)用次氯酸鈉氧化法及氫氧化物沉淀法處理鋼鐵工業含鋅含氰廢水過程中,有效氯含量對次氯酸鈉氧化除氰除鋅效果具有主要影響,反應時間是次氯酸鈉氧化除氰除鋅的重要影響因素,反應溫度的升高也有助于去除率的提高。
(3)實驗結果表明,同時考慮到實踐應用的成本因素,次氯酸鈉氧化法及氫氧化物沉淀法處理鋼鐵工業含鋅含氰廢水的最佳適宜條件:pH為9~10,溫度為25℃,有效氯質量濃度250mg/L,攪拌反應時間為30min。
(4)在生產現場實踐應用一段時間后,檢測到污水混合池外排出口水樣中的總氰化物平均質量濃度降低為4.42mg/L,鋅離子平均為14.71mg/L,達到湘潭鋼鐵集團有限公司內部工業循環用水的標準(Q/OHAB801.1—2009)要求。


