1 引言
污泥是污水處理過程中產生的副產物,具有多種微生物形成的菌膠團及其吸附的多種有機物和無機物(Smith,2009).同時,污泥中還含有大量的病原菌、寄生蟲、致病微生物,以及砷、銅、鉻、汞等重金屬和二噁英等難降解的有毒有害物質(周立祥等,2000).目前,污泥如何處理與處置已成為我國突出的環境問題之一,其處理處置方式主要有:衛生填埋、污泥農用、污泥干化和熱處理、污泥焚燒及海洋傾倒.由于污泥焚燒具有使剩余污泥減量化到最小,污泥處理速度快,可就地焚燒及可以回收能量用于發電和供熱等優點而被廣泛采用(劉敬勇,2010).
初始污泥含水率一般在97%~99%,目前國內污水處理廠多采用聚丙烯酰胺(PAM)高分子絮凝劑作為調理劑,經離心或帶式壓濾機脫水后獲得的泥餅含水率仍達75%~85%,且殘留在污泥中的高分子有機物具有二次污染風險(張強等,2013).在國家“十二五”規劃中規定,城市污水處理廠污泥含水率必須低于60%才能外運(Deng et al., 2009),因此,需在污泥處理過程中加入調理劑進行深度脫水.目前,關于調理劑對污泥深度脫水的影響和應用,國內外學者展開了大量的工作.例如,吳幼權等(2009)采用復合絮凝劑 CAM-CPAM 調理污泥,以脫水率及沉降速率為主要評價指標,獲得了較好的脫水效果.李愷等(2010)研究了表面活性劑對改善污泥脫水性能的影響,結果表明,加調理劑后的泥餅含水率可降至68.73%.劉歡等(2011)采用FeCl3與生石灰、粉煤灰兩種骨架構建體為主要成分的無機復合調理劑對市政污泥進行處理,脫水率可降至73%左右.
可見,調理劑的應用可以有效地降低污泥的含水率,這意味著未來處理的對象多為深度處理污泥.Xu 等(2008)研究發現,CaO的添加能固定CO2,并且使H2的產量增加.Virginie等(2012)在污泥熱解中加入鐵鹽,發現其具有催化作用,能促進焦油和揮發分的裂解.Folgueras等(2010)研究表明,不同的調理劑會不同程度地改變礦質元素含量及存在形態,從而影響污泥的熱物化性質.但目前有關調理劑對污泥燃燒特性影響的研究還鮮見報道.
熱重分析是目前固體熱分析的重要手段之一,國內外有許多學者利用熱分析法對不同類型污泥及其與煤燃燒的行為進行了研究. 如Fullana等(2001)分析比較了7種污泥的熱重曲線,指出具有不同理化性質的污泥在燃燒過程中表現出很大的差異. Otero等(2002)分析了3種不同類型污泥的燃燒過程,并對它們與煤混燒時燃燒特性參數的變化規律進行了研究.溫俊明等(2004)從污泥的熱重分析曲線中得出了由3個獨立的、連續的平行反應組成的動力學模型,求出了熱解動力學參數和方程.王興潤等(2007)利用熱重分析研究了3種不同來源的污泥燃燒特性,指出水處理工藝和污泥處理工藝對污泥中有機物分布和燃燒特性的影響.胡勤海等(2008a)通過熱重實驗,分析了水煤漿中摻混不同比例城市污泥后的燃燒特性.因此,可以利用TG-DTG來研究FeCl3/CaO對深度脫水污泥的燃燒特性影響.
基于此,本文主要利用熱重分析法研究調理劑FeCl3/CaO深度脫水后的市政污泥的燃燒特性,重點研究調理劑FeCl3/CaO不同添加量及不同升溫速率對污泥燃燒特性的影響.同時,通過實驗數據求出試樣的動力學參數,以摸清此調理劑處理對污泥燃燒特性的影響,以期為深度處理污泥的處理處置及污泥燃燒設備的優化設計、運行及燃燒工況的組織提供理論參考.
2 材料和方法
2.1 實驗設備與條件
實驗采用北京恒久科學儀器廠生產的綜合熱分析儀HCT-3,從中可以獲得TG、DTA、DTG及溫度曲線. 其他主要技術參數如下:熱天平精度 0.1 mg;溫度范圍為室溫~1500 ℃;升溫速率范圍為0~30 ℃ · min-1;實驗氣氛為空氣.
實驗條件:樣品粒徑小于80目,試樣質量10 mg左右,實驗氛圍為空氣,流量為50 mL · min-1.
2.2 樣品采集
試樣為取自廣州某大型城市污水處理廠二沉池入口的污泥,3種試樣的調理與制備過程如表 1所示,樣品分析結果如表 2所示.

表1 試樣的調理與制備
表2 樣品污泥的成分分析及發熱量
3 實驗結果與討論
3.1 FeCl3/CaO用量對污泥燃燒特性的影響
從工業分析結果來看(表 2),此污泥揮發分高,難燃燒的固定碳少,因此,污泥易于著火燃燒.3種試樣在升溫速率為10 ℃ · min-1時的勢量(TG)、微商勢量(DTG)和差熱分析(DTA)特性曲線如圖 1所示.由TG特性曲線可以發現,失重率為試樣S1最高,試樣S2次之,試樣S3失重率最低,這是由于隨著調理劑添加量的增大,試樣中的灰分增多,可燃質比重減小.

圖 1 3個試樣的TG、DTG和DTA曲線
從燃燒特性曲線發現,試樣在燃燒過程可分為4個階段(蔣光旭等,1999;賈相如等,2005):第1階段(室溫~173.53 ℃)為水分的析出,這主要是由污泥中自由水和結合水損失引起的;第2階段為揮發分1燃燒階段,第3階段為揮發分2及固定碳的燃燒階段,此兩個階段為污泥燃燒的主要階段,失重最大,占總失重77%以上.從DTG特性曲線中發現,市政污泥的最大燃燒速率隨FeCl3/CaO添加量的增加而增大,且試樣S1在失重第2階段(173.53~372.84 ℃)、第3階段(372.84~568.76 ℃)各有1個峰,而加了調理劑FeCl3/CaO后的試樣S2、S3只有在第2階段(180.24 ℃到353.57~382.43 ℃)有1個明顯的失重峰,而第3階段(353.57~382.43 ℃到610 ℃)為1個側峰;且第2階段的失重峰峰值隨著調理劑添加量的增大而增大,而第3階段的失重峰與之正好相反.而從DTA特性曲線也可以看出,隨著添加量的增多,第2階段的DTA峰面積增大,則此階段的放熱量增大.這是由于試樣S2、S3加入FeCl3/CaO調理后,CaO能分解污泥中的部分有機物,使難燃燒的有機物分解為易于燃燒有機物(張永發等,2010);同時,CaO對揮發分的析出有一定的催化作用.這與許多學者的研究結果吻合(周宏倉等,2013; 張強等,2014).調理劑的加入對于固定碳的燃燒及揮發分的燃燒起到了一定的催化作用,同時揮發分含量提高,使得第3階段反應提前,在低升溫速率下形成側峰.第4階段(568.76 ℃~反應結束)為無機物分解階段.從曲線中發現,試樣S1在600 ℃以后基本沒有明顯的失重峰,但調理劑深度脫水后的泥樣,在失重第4階段出現了1個小峰,且試樣S3尤為明顯.由于泥樣S3加入了大量的FeCl3和CaO,試樣中無機成分增加,同時CaO會固定CO2生成CaCO3;譚中欣等(2006)研究發現,在空氣氣氛下,CaCO3在600 ℃ 時開始分解,其化學方程式為:CaCO3→CaO + CO2.因此,此階段主要應為碳酸鈣的分解階段.
3.2 升溫速率對泥樣燃燒特性的影響
試樣S3的TG、DTG和DTA特性曲線如圖 2所示.由圖 2可以看出,隨著升溫速率的增大,試樣的TG曲線向高溫區偏移,產生了燃燒滯后現象,但總燃盡率基本一致.這是由于污泥在燃燒中,升溫速率過快,影響了試樣內外層之間的傳熱溫差和溫度梯度,部分有機物來不及分解燃燒而產生滯后現象(劉敬勇,2010). 從DTG特性曲線來看,試樣S3在燃燒時出現了4個失重峰,其中,前3個峰較為明顯. 隨著升溫速率的提高,失重峰越來越明顯,峰值與峰面積變大,并且向高溫區偏移. 隨著升溫速率的增加,第3個失重峰由1個側峰變成1個小失重峰. 這是由于低升溫速率下,揮發分的析出速度慢,第2階段和第3階段的揮發分反應溫度區重疊.當升溫速率上升,揮發分析出速度快,反應區重疊部分減少,從而導致第3階段的失重峰在低升溫速率為側峰,高升溫速率為一小峰. 由DTA特性曲線可知,水分析出過程中,DTA處于負峰,則說明此為吸熱過程;而第1階段以后的都處于放熱過程.試樣燃燒中熱量的釋放主要集中在第2、第3階段,且隨著升溫速率的提高,反應越激烈,放出的熱量越多.

圖 2 不同升溫速率下試樣S3燃燒的 TG、DTG和DTA曲線
3.3 燃燒特性參數分析
在燃燒特性實驗中,污泥的燃燒特性以TG、DTG及DTA 3種曲線來反映.從3種曲線的數據可以得出相關的燃燒特性參數,包括著火溫度Ti、著火時間te、最大燃燒速率(dw/dτ)max和對應的峰值溫度Tmax及時間tp、平均燃燒速率(dw/dτ)mean、燃盡溫度Th、(dw/dτ)/(dw/dτ)max=1/3、1/2所對應的溫度區間ΔT1/3、ΔT1/2及ΔT1/2所對應的時間Δt1/2. 其中,著火溫度利用TG-DTG(聶其紅等,2001)聯合定義法來確定.試樣的燃燒特性參數如表 3所示.

表3 實驗污泥的燃燒特征參數
這些特性參數在一定程度上反映了污泥燃燒時的特性,而單純只靠燃燒特性參數并不能較為全面地反映污泥的燃燒特性. 因此,本文同時借助了燃燒特性指數進一步分析污泥的燃燒情況. 試樣的燃燒特性參數如表 4所示.

表4 實驗污泥的綜合燃燒特性參數
3.3.1 可燃性指數
對于可燃性指數C(式(1))而言,其值越大,則試樣的著火穩定性越好(胡勤海等,2008b).由表 4可知,調理劑FeCl3/CaO的加入有助于試樣著火穩定性的提高. 隨著調理劑添加量的增加,可燃性指數C增大,試樣的燃燒穩定性越好. 這由于加入調理劑后催化了揮發分的析出速度(從表 3的最大燃燒速率可以看出),使試樣在燃燒時能迅速補充可燃物,保證了試樣著火的穩定性.

對比不同升溫速率的可燃性指數C可以發現,升溫速率的提高也有助于試樣燃燒穩定性的提高.這是由于升溫速率快,保證了試樣在燃燒時有足夠的熱量,同時也加快了揮發分析出速度,從而提高了試樣的著火穩定性.
3.3.2 揮發分特性指數
燃料燃燒過程中,揮發分的析出直接影響燃燒的著火溫度,揮發分特性指數D(陳建原等,1987)可對試樣燃燒揮發分析出情況進行描述,D越大,試樣的揮發析出特性越好,燃燒反應越易進行,越有利于污泥的燃燒,其公式如下:
由表 4可以看出,隨著調理劑FeCl3/CaO添加量的增加,試樣的揮發分析出速率在不斷的提高,說明這種調理劑有助于試樣的燃燒進行.這是由于CaO分解了部分難燃燒的有機物,使低溫區有機物增多,同時在燃燒過程中加快了氧的擴散速度,使揮發分析出速率加快(劉敬勇等,2009).
對于調理后深度脫水的污泥,升溫速率的提高也有助于試樣揮發分析出性的提高.相比于添加量,升溫速率對于試樣的揮發分析出性影響更大.這是由于升溫速率的提高,為試樣燃燒提供了更多的熱量,提高了分子的熱運動,能更好地提升揮發分析出速度.
3.3.3 燃盡指數
試樣在燃燒過程中失重占總失重的98%時所對應的溫度為燃盡溫度Th. 燃盡特性是表征可燃物燃燒性能的一個重要指標,可用燃盡指數Cb(聶其紅等,2001)來描述市政污泥的燃燒特性,其定義如下:
式中,τ0為燃盡時間,即試樣從燃燒開始到燃燒98%可燃質的時間;f1為初期燃盡率,即著火點對應的試樣失重量與試樣中可燃質含量的比值,其值大小反映了揮發分相對含量對污泥著火特性的影響;f為總燃盡率,其值為τ0時刻所對應的試樣失重量與試樣中可燃質含量的比值;后期燃盡率f2= f -f1,其值大小反映了污泥中碳的燃盡性能;其中,f1反映了揮發分相對含量、污泥著火特性的影響,f1越大,污泥可燃性越佳;f2反映了污泥中碳的燃盡性能,與含碳量、碳的存在形態等特性有關,f2越大,污泥的燃盡性能越佳. Cb綜合考慮了污泥的著火和燃燒穩定性等因素對燃盡的影響,其值越大表明市政污泥的燃盡性能越好.
由表 4可以看出,初期燃盡率f1隨著調理劑添加量的增加,先增加后減少,而后期燃盡率f2與之相反.通過燃盡指數Cb發現,S2>S3>S1,說明適量的調理劑添加量能略微提高試樣燃盡性能,但過量添加會降低其燃盡性能.對比試樣S3不同升溫速率下的Cb可以發現,升溫速率越高,其燃盡性能越好,則高升溫速率有利于試樣燃盡性能的提高.
3.3.4 綜合燃燒特性指數
為全面評價試樣的燃燒情況,采用綜合燃燒特性指數S(Shen et al., 2000)來表征試樣的整體燃燒特性,S全面反映了試樣的著火和燃盡性能,其值越大說明試樣的綜合燃燒性能越佳,具體公式如下:
由表 4可以看出,不同試樣的綜合燃燒指數由大到小依次為:S2、S1、S3.少量的藥量能略微提高污泥的綜合燃燒指數,但過多的藥量卻會降低試樣的綜合燃燒性能.說明適量的調理劑有助于污泥燃燒,過量添加不利于污泥燃燒. 這是由于一定量調理劑的加入可以較好地提高揮發最大燃燒速率,綜合燃燒性能有小幅度提升;而超過此添加量后,揮發最大燃燒速率提高不大,而隨著添加量的增大,無機物增多,燃盡溫度延后及平均燃燒速率降低,從而導致過多的添加量會降低試樣的綜合燃燒性能.
3.4 反應動力學參數的確定
污泥失重過程中的熱解反應可以簡寫為式(5),忽略溫度對活化能的影響,根據質量作用定律可以得到試樣燃燒速率方程(6).

式中,τ為反應時間(min),k為速率常數(min-1),n為反應級數,a為轉化率,W0是試樣初始質量(mg),WT為試樣在溫度T時的質量(mg),W∞為實驗燃燒最終質量(mg).
由Arrhenius公式可得:
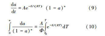
式中,R為氣體常數,取值為8.314 J · mol-1 · K-1;E為表觀活化能(J · mol-1);A為頻率因子(min-1或s-1). 定義升溫速率:φ= dT/dτ,聯合以上各式,根據熱重曲線,利用積分法(Coats-Redfern 方程)求解試樣的燃燒動力學參數(陳鏡泓等,1985):

根據Doyle關系(取前兩項近似),積分移項得到:


令
,對本實驗中反應溫區及大部分E值、a值近似看成常數,令
. 則有Y=a+bX.
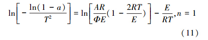
以不同的反應級數n代入式中求解,并進行線性擬合,比較數據的線性,線性越好則說明所選擇的反應機理函數越適合,并由此直線的斜率求得活化能E.
污泥燃燒失重過程4個失重階段(水分析出、揮發分1燃燒、揮發分2及固定碳燃燒、無機物分解)的反應是相互獨立又連續平行的(溫俊明等,2004).筆者在研究中將試樣DTG曲線中燃燒速率較大的第2、第3階段的失重峰峰值前后采用不同的燃燒機理模型來描述.
以試樣S3(升溫速率為10 ℃ · min-1)燃燒為例,分別在不同的反應機理下將峰前峰后橫、縱坐標數據代入,并進行線性擬合(n分別取0.5、1、1.5和2),得出大多數情況下,峰前取反應級數n=0.5,峰后取n = 2 時,可決系數R2最大,各階段的可決系數在0.9460~0.9999之間,線性比較好,說明此反應級數確定較為合理. 同時,通過確定反應級數進而確定反應曲線方程和活化能E,其圖解見圖 3.

圖 3 試樣S3揮發分第1個失重峰前后動力學參數圖解
在燃燒動力學參數中,活化能代表反應物的分子由初始穩定狀態變為活化分子所需要吸收的能量,活化能比著火溫度更能從本質上表現試樣的著火性能.從表 5來看,揮發分1前峰的活化能隨升溫速率的增大而有略微的增大.這是由于升溫速率過快,導致試樣顆粒內外溫差大,顆粒外層熱解氣沒及時擴散,影響到內部熱解的進行.王輝等(2007)研究還指出,升溫速率過快會導致水分析出后無法迅速被吹走,而在樣品四周形成一種水蒸氣幕屏蔽的效果,阻礙揮發分析出和熱量的進入;同時,升溫速率大對樣品有熱沖擊,能使低升溫速率下難斷裂的側鏈和官能團開始斷裂,從而導致活化能增大.


表5 試樣燃燒動力學參數
從不同試樣的各個階段活化能來看,調理劑FeCl3/CaO的加入使得揮發分1前峰的活化能增大,這與前述的著火點規律一致.而第3階段的總失重峰的活化能隨添加量的增加而減少. 這可能由于加入調理劑后,調理劑中的CaO能分解部分有機物,使原在高溫下才能燃燒的有機物發生分解,使第2階段揮發分含量增加,則第2階段所需的活化能增大.具體參見污水寶商城資料或http://www.xhxdt.com更多相關技術文檔。
4 結論
1)試樣在燃燒中有4個失重階段:水分析出階段、揮發分1燃燒階段、揮發分2和固定碳燃燒階段、以碳酸鈣分解為主的無機物分解階段,而沒經調理劑處理的污泥,其第4階段失重不明顯.
2)隨著調理劑添加量的增加,可燃性指數和揮發分特征指數得到提升,有利于污泥初期的燃燒;而市政污泥的燃盡指數和綜合燃燒性能先略微上升后降低,說明適量的FeCl3/CaO添加有助于污泥燃燒,添加過多則對污泥燃燒不利.
3)通過對污泥燃燒動力學分析發現,大多數情況下,峰前取反應級數n=0.5,峰后取n=2. 表觀活化能隨FeCl3/CaO添加量的增加而升高.
4)隨著升溫速度的增加,泥樣在燃燒過程中的特性曲線向高溫區偏移,產生燃燒滯后現象,但對總燃盡率的影響不大;隨升溫速度的增大,試樣的揮發分釋放特性指數及綜合燃燒指數的值變大,揮發分1燃燒所需活化能有略微的增大.


