1 引言
污泥的厭氧消化分為水解、酸化、乙酸化、甲烷化4個階段(陸顥文等,2012).污泥水解酸化過程可以產生大量的溶解性有機物(SCOD)與揮發性脂肪酸(VFA),這些物質可以為生物反硝化脫氮提供優質碳源.水解是污泥厭氧消化過程的限速階段(Eastman et al., 1981; Eliosov et al., 1995),微生物細胞壁阻礙了污泥中有機物的釋放與利用,而污泥預處理技術能夠很好地實現污泥溶胞.
微波輻射技術作為熱處理方式之一,具有加熱均勻、升溫速度快、易于操控、節能高效等優點因而逐步受到重視并應用于污泥預處理.研究表明,微波-過氧化氫-堿預處理工藝比微波其他組合工藝具有更好的污泥破壁溶胞效果,可以促進污泥中有機物的釋放與利用.
雖然污泥破解后釋放了大量的有機物,但因其中包含的一些大分子、難降解有機物,導致這些物質較難被生物脫氮除磷過程中的微生物利用.例如,有研究表明,經過MW-H2O2-OH預處理后,污泥釋放的易生物降解COD僅占SCOD的30%,可生物降解COD僅占SCOD的47%左右,這導致只有一部分COD可以促使硝酸鹽氮轉化為氮氣.
易生物降解COD(Readily Biodegradable Chemical Oxygen Dem and ,RBCOD)的含量是影響生物脫氮除磷效果的重要因素之一(Ahn et al., 2006).水解酸化過程可以將難生物降解的大分子物質轉化為易生物降解的小分子物質,小分子物質進一步轉化為揮發性脂肪酸,從而增加溶解性有機物與易生物降解有機物的比例(康曉榮,2013;曹艷曉,2010).同時,外加水解酶,如淀粉酶、蛋白酶等也可以促進污泥中的懸浮固體溶解和大分子有機物降解,強化污泥水解,縮短污泥水解時間,改善污泥性能(羅琨等,2010;陳小粉等,2011).另外,本課題組前期研究表明(賈瑞來等,2016),蛋白酶的加入對MW-H2O2-OH預處理后污泥的水解確實有促進作用,可以縮短污泥水解時間,0、30、60、120、180 mg · g-1(蛋白酶/TS)的投加量中優化投加量為30 mg · g-1(蛋白酶/TS),優化的水解酸化時間為4 d.
響應面分析法是一種較為常用的近似模型,通過數學與統計學的方法進行模型構建、試驗設計、因素評價及參數優化(李秋成等,2012),是一種較優越的解決多變量問題的統計工具,其優越性已被眾多研究者關注并應用于環境工程領域.
針對微波-過氧化氫-堿預處理后污泥中碳源可利用性偏低問題,作者前期已采用單因素法研究了水解溫度、水解酸化時間和蛋白酶投加量對于MW-H2O2-OH預處理后污泥水解酸化的影響.基于此,本研究采用響應面分析法,選擇水解溫度、水解酸化時間和蛋白酶投加量作為自變量,以總揮發性脂肪酸濃度和溶解性COD(SCOD)濃度作為響應值,通過批量試驗,進一步優化MW-H2O2-OH預處理后污泥的水解酸化操作條件,同時對優化工藝條件下污泥上清液的碳源組成和可利用性進行評估,以期為后續的污泥高效資源化利用提供科技支撐.
2 材料與方法
2.1 試驗裝置
試驗所用微波設備為自主研制的微波反應器JWFY-1T(定制于巨龍微波能設備有限公司),頻率為2450 MHz,磁控管最大輸出功率為1 kW,可進行無級調節,最高溫度為100 ℃.反應器配有攪拌裝置和熱電偶溫度傳感器,可實時監測溫度.
水解酸化試驗采用全自動甲烷潛力測試系統(AMPTSⅡ,Bioprocess Control),玻璃反應器容積為0.65 L,反應器中放入0.4 L污泥混合液,反應器采用水浴加熱方式并配有攪拌裝置,攪拌速度為80 r · min-1.
反硝化間歇試驗采用1 L密閉玻璃反應器,采用水浴加熱,使用磁力攪拌器以保持污泥混合液呈懸浮狀態.
2.2 響應面分析法試驗設計
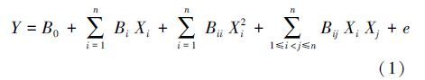
根據CCD(Central Composite Designs)中心組合試驗設計原理,在前期單因素試驗的基礎上,選擇水解溫度、水解酸化時間和蛋白酶投加量作為自變量,分別用X1、X2、X3表示,以總VFA濃度和SCOD濃度作為響應值,分別用Y1、Y2表示,進行響應面試驗因素水平安排,具體見表 1.由Design Expert 8.0.6(Stat-Ease),采用CCD試驗設計原理,得到3因素3水平共20個試驗點的試驗方案,并對試驗數據進行二次多元回歸擬合.二次多元回歸方程為:
當n=3時,則方程可轉換為:
式中,Y為響應值;X1、X2、X3為自變量編碼值;B0為常數項;B1、B2、B3為線性系數;B12、B13、B23為交叉項系數;B11、B22、B33為二次項系數;e為誤差. 對模型進行方差分析,并通過模型得到基于微波-過氧化氫-堿預處理的污泥水解酸化的優化工藝條件和最大總VFA濃度.
表1 響應面試驗因素編碼與水平
2.3 試驗方法
試驗所用剩余污泥取自北京清河污水處理廠,取回后靜置濃縮,置于4 ℃保存.接種污泥取自北京小紅門污水處理廠,為中溫(35℃)厭氧消化出泥.試驗前污泥過18目標準篩以除去大顆粒雜質.試驗采用MW-H2O2-OH預處理工藝(Wang et al., 2015;Wang et al., 2009;Xiao et al., 2012;王亞煒,2009;肖慶聰等,2012;閻鴻,2010),其操作條件如下:加入5 mol · L-1 NaOH溶液,調節樣品pH至11,600 W微波功率輻射樣品,升溫至80 ℃,然后按m(H2O2)/m(TS)=0.2加入30%的過氧化氫溶液,繼續輻射升溫至100℃,結束.本試驗通過微波-過氧化氫-堿預處理達到堿性環境,以抑制產甲烷過程.試驗所用污泥的主要性質見表 2.污泥經過MW-H2O2-OH預處理后,添加100 mg · L-1過氧化氫酶(Sigma),混合完全攪拌一定時間以便將殘留過氧化氫分解完全,之后按照I/S(Inoculum to Substrate,揮發性固體濃度VS/VS)為0.07的比例進行接種污泥接種.之后按照響應面法安排進行試驗,試驗中采用的蛋白酶酶活為20萬U · g-1(江蘇銳陽生物科技有限公司).
表2 試驗所用污泥的主要性質
2.4 反硝化間歇試驗
試驗所用污泥取自清河污水處理廠缺氧池,污泥靜置后棄去上清液,再用自來水淘洗,重復幾次上述過程后放置過夜,以去除污泥中的大部分SCOD和硝酸鹽氮.反硝化間歇試驗反應器維持20℃并向反應器內加入20 mg · L-1的ATU(丙烯基硫脲,Aladdin)以抑制亞硝化細菌的活性,進而抑制硝化反應的進行(王社平等,2008).之后向反應器內加入預處理污泥上清液作為碳源物質和硝酸鉀(國藥集團),使初始硝酸鹽氮濃度為25~45 mg · L-1.試驗開始時,向反應器內通入氮氣,保持反應器內為厭氧狀態.定時從反應器內取樣,取樣后立即滴加98%濃硫酸(每10 mL樣品滴加1滴濃硫酸),以終止反硝化反應,之后以8000 r · min-1離心5 min并過0.45 μm醋酸纖維濾膜,進行硝酸鹽氮濃度和SCOD濃度測量,并繪制反硝化曲線,最后測量污泥混合液的揮發性懸浮物(VSS)濃度.
2.5 分析方法
TS、VS、總懸浮物(TSS)、VSS、硝酸鹽氮按照標準方法(中華人民共和國建設部,2005;國家環境保護總局,2002)測定;pH采用pH計測定;污泥經8000 r · min-1離心5 min或20 min后,上清液過0.45 μm或0.22 μm醋酸纖維濾膜,濾液用來測定SCOD、VFA、溶解性糖類、溶解性蛋白質、硝酸鹽氮.TCOD和SCOD采用DR2800 HACH 分光光度計(HACH)測定;糖類、蛋白質分別采用Dubois法(Dubois et al., 1956)和Lowry法(Lowry et al., 1951)測定,標準物質分別為牛血清蛋白和D-葡萄糖(國藥集團);C2~C5的VFA組分(乙酸、丙酸、異丁酸、正丁酸、異戊酸、正戊酸)采用氣相色譜(Agilent 6890N)進行測量,檢測器為火焰離子化檢測器FID(Flame Ionization Detector),色譜柱為HP-FFAP毛細管柱(0.25 mm×25 m).為了測定VFA組分,濾液要用2 mol · L-1 HCl調至pH 2.0以下,然后轉移到1.5 mL的氣相色譜進樣瓶中.VFA組分通過以下轉換因子轉換成COD值:1.07 g · g-1(COD/乙酸)、1.51 g · g-1(COD/丙酸)、1.82 g · g-1(COD/正丁酸或異丁酸)、2.04 g · g-1(COD/正戊酸或異戊酸)(卓英蓮,2010).總VFA的含量按照各VFA組分的加和計算得出.在厭氧條件下,污泥溶出的有機物主要包括蛋白質、糖類、VFA和脂類等(李曉玲等,2014),其中脂類含量較小,所以不進行單獨測定.根據文獻報道(Miron et al., 2000),1g蛋白質(假定為(C4H6.1O1.2N)x)相當于1.5 g COD,1 g糖類(假定為C6H12O6)相當于1.07 g COD.三維熒光光譜的測定采用日本HITACHI F-7000型熒光光度計進行.激發波長λEx范圍為200~400 nm,發射掃描波長λEm范圍為220~550 nm,掃描間隔均為5 nm,狹縫寬度均為5 nm,掃描速度為12000 nm · min-1,三維熒光測定后用Origin軟件(OriginLab)進行圖像處理.所有樣品均測量2~3次,取平均值并給出標準偏差.
3 結果與討論
3.1 基于響應面分析法的污泥水解酸化條件優化
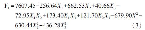
CCD響應面試驗方案和結果如表 3所示.經二次多元回歸擬合和方差分析后,得到各單因素、交互項及平方項對總VFA濃度的影響情況,相應的回歸方程為:
式中,X1、X2、X3分別為水解溫度、水解酸化時間和蛋白酶投加量的編碼值,Y1為總VFA濃度.
表3 響應面試驗方案及結果
模型的方差分析見表 4.F值是回歸均方差和實際誤差的均方差的比值,F值與p值反映了模型中的每個控制因素的顯著性影響,F值越大、p值越小,則相關性越顯著(Ye et al., 2010).由表 4可知,模型的F值為38.77,p值<0.0001,表明模型極顯著,在整個被研究的回歸區域內擬合較好.回歸方程的決定系數R2=0.9721,說明模型可以解釋97.21%的試驗響應值總VFA濃度的變化,校正決定系數adj-R2為0.9471,與R2比較接近,模型擬合度高.變異系數CV能反映試驗的可信度和精確度(Bhatti et al., 2009;Yetilmezsoy et al., 2009),試驗所得CV為3.74%<10%,表明模型具有較高的可信度和精確度.信噪比是有效信號和噪聲的比值,可以反映模型的精密度(Bashir et al., 2010),本試驗信噪比為17.083>4,視為合理.失擬項的p值為0.2028>0.05,差異不顯著,試驗誤差小.綜上所述,該模型可以很好地用于微波-過氧化氫-堿預處理污泥的水解酸化過程中總VFA濃度的分析與預測.
表4 回歸方程(3)的方差分析
模型中各因素的顯著性分析結果表明,X2(水解酸化時間)對總VFA濃度的線性效應極顯著,X1(水解溫度)對總VFA濃度的線性效應顯著;X12、X22、X32對總VFA濃度的曲面效應極顯著.
根據所得的回歸方程(3),利用Design Expert 8.0.6分析,得到不同因子間的響應曲面圖及等高線圖(圖 1).從圖 1中可以看出,水解溫度(X1)、水解酸化時間(X2)、蛋白酶投加量(X3)3個因素和總VFA濃度Y1呈現拋物線關系,3個響應曲面圖均為開口向下的凸形曲面,且在所選區間范圍內,響應曲面存在最高點(Y1的極高值).隨著水解酸化時間的增加,總VFA濃度逐漸升高,當水解酸化時間繼續增加時,總VFA濃度趨于穩定或略有降低;隨著水解溫度的提高,總VFA濃度先增加后降低;隨著蛋白酶投加量的增加,總VFA濃度先小幅增加后小幅降低.總VFA濃度的升高或是降低,主要取決于總VFA的產生速率和消耗速率.如果產生速率大于消耗速率,則表現為總VFA濃度的升高,反之,則為總VFA濃度的下降.而總VFA濃度的降低主要來自于厭氧發酵產生CH4、CO2等進入氣相.在不考慮水解酸化之后的產甲烷時,水解酸化時間越長,水解物質和水解酸化細菌接觸的時間越長,水解產酸效果越好.研究表明(Elefsiniotis et al., 1994;1996;Xiong et al., 2012),水解酸化過程中存在最佳的水解酸化時間,當水解酸化時間進一步延長時,產酸量降低.大部分的研究表明(Chen et al., 2007;Cokgor et al., 2009;Feng et al., 2009a;2009b;Kepp et al., 2000;Mahmoud et al., 2004;Moser-Engeler et al., 1998;Skalsky et al., 1995;Yuan et al., 2011),升高溫度有利于厭氧過程中有機物的溶解和有機酸的生成.McIntosh等(1997)研究了55 ℃下初沉污泥水解產酸的情況,發現水解酸化最大的產酸量為0.106 mg · mg-1(以每mg VSS產生的HAc量(mg)計),說明高溫下厭氧水解酸化可得到較大的產酸量.Xiong等(2012)的研究表明,相對于40 ℃和60 ℃時,濃縮污泥在50 ℃條件下的VFA產量更高,與本研究一致.趙慶良等(1996)研究污泥在高溫條件下水解酸化時發現,VSS含量為25~30 g · L-1的高濃度污泥在55 ℃下產生的VFA為108 mg · g-1(以VSS計),高于65 ℃及75 ℃下的VFA產量,與本研究一致.雖然水解酸化細菌對于溫度具有很強的適應性,但溫度過高,水解酸化細菌的活性也會受到抑制,從而降低產酸效率與產酸量.由表 4可知,投加蛋白酶對總VFA濃度的線性效應不顯著,結果也表明在所研究的范圍內,隨著蛋白酶投加量的增加,總VFA濃度變化較小.但投加蛋白酶和不投加蛋白酶是否對總VFA濃度存在影響,我們將在下文的驗證試驗中闡述.
圖1 不同因素對總VFA濃度(以COD計)影響的響應曲面圖和等高線圖(a.水解酸化時間和水解溫度,b.蛋白酶投加量和水解溫度,c.蛋白酶投加量和水解酸化時間)
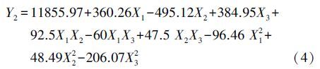
同樣地,經二次多元回歸擬合和方差分析后,得到各單因素、交互項及平方項對SCOD濃度的影響情況,相應的回歸方程(4)為:
式中,X1、X2、X3分別為水解溫度、水解酸化時間和蛋白酶投加量的編碼值,Y2為SCOD濃度.
模型的方差分析見表 5.由表 5可知,模型的F值為20.60,p值<0.0001,表明模型極顯著,在整個被研究的回歸區域內擬合較好.回歸方程的決定系數R2=0.9488,說明模型可以解釋94.88%的試驗響應值SCOD濃度的變化,校正決定系數adj-R2為0.9028,與R2比較接近,模型擬合度較高.試驗所得CV為1.78%<10%,表明模型具有較高的可信度和精確度.本試驗信噪比為18.095>4,視為合理.綜上所述,該模型可以很好地用于微波-過氧化氫-堿預處理后污泥水解酸化過程中SCOD的分析與預測.顯著性分析結果表明,X1、X2、X3對SCOD濃度的線性效應極顯著,X32對SCOD濃度的曲面效應顯著.
表5 回歸方程(4)的方差分析


根據所得的回歸方程(4),利用Design Expert 8.0.6分析,得到不同因子間的響應曲面圖及等高線圖(圖 2).從圖 2中可以看出,隨著水解酸化時間的增加,SCOD的濃度逐漸降低;隨著水解溫度的提高,SCOD的濃度逐漸增加;隨著蛋白酶投加量的增加,SCOD濃度逐漸增加.SCOD濃度的升高或是降低,主要取決于SCOD的產生速率和消耗速率.如果產生速率大于消耗速率,則表現為SCOD濃度的升高,反之,則為SCOD濃度的下降.SCOD的產生主要來自于在污泥水解作用下,固相有機物,如蛋白質、糖類和脂肪等逐漸釋放,由固相轉移到液相,而SCOD的消耗來自于有機物厭氧發酵產生CH4、CO2等進入氣相,少量揮發性有機物及氨等還原性氣體揮發進入氣相等,前者為主要原因.水解程度的變化可以表示為SCOD濃度的變化(Kang et al., 2011;陳燦等,2014).因此,第2 d開始污泥的水解作用減弱并產生CH4、CO2等,消耗了SCOD,導致SCOD濃度逐步下降.水解溫度是水解過程重要的影響因素之一.它可以通過影響微生物的代謝活動和生長速率,進而影響微生物的生長動力學.Song等(2004)研究中溫及高溫污泥水解酸化時發現,產生的SCOD在中溫與高溫條件下分別為2555和5240 mg · L-1,VFA產量同樣是高溫優于低溫.高溫可以提高生化反應速率,提高微生物的生長速率(Xiong et al., 2012),同時,適當的高溫可以促使細胞壁破解,蛋白質水解,釋放胞內物質(顧夏聲,1996),進而提高污泥水解效率,因此,隨著水解溫度的提高,SCOD的濃度逐漸增加.蛋白酶的投加可以促進污泥中的懸浮固體溶解和大分子有機物降解,強化污泥水解(羅琨等,2010),同時蛋白酶本身是蛋白質,也可以通過水解作用貢獻一部分SCOD,所以隨著蛋白酶投加量的增加,SCOD濃度逐漸增加.
圖2 不同因素對SCOD濃度影響的響應曲面圖和等高線圖(a.水解酸化時間和水解溫度,b.蛋白酶投加量和水解溫度,c.蛋白酶投加量和水解酸化時間)
通過對回歸方程(3)的求解,達到最大總VFA濃度的工藝條件一為:水解溫度52.92 ℃,水解酸化時間5.09 d,蛋白酶投加量為31.23 mg · g-1.在此條件下,得到的最大總VFA濃度為7816.39 mg · L-1,此時SCOD濃度為11544.3 mg · L-1.但當限定水解酸化時間為2~4 d時,此時達到最大總VFA濃度的工藝條件二為:水解溫度53.13 ℃,水解酸化時間4 d,蛋白酶投加量為30.14 mg · g-1.在此條件下,得到的最大總VFA濃度為7631.7 mg · L-1,為工藝條件一時的97.64%,此時SCOD濃度為11788.9 mg · L-1.由于水解酸化時間的延長,將增加工程實踐中反應器的體積,增加占地和成本.同時通過前文分析可知,隨著水解酸化時間的延長,SCOD的濃度緩慢降低,即可利用的碳源在逐漸減少.因此,優化的工藝條件為:水解溫度53.13 ℃、水解酸化時間4 d、蛋白酶投加量30.14 mg · g-1.通過3組平行試驗驗證,總VFA濃度分別為7599.07、7829.79、7844.14 mg · L-1,相對誤差分別為-0.43%、2.60%、2.78%,SCOD濃度分別為11460、11760、11820 mg · L-1,相對誤差分別為-2.79%、-0.25%、0.26%,說明所得模型對總VFA濃度的條件優化和預測及SCOD的預測較為準確可靠.
由表 4可知,投加蛋白酶對總VFA濃度的線性效應不顯著.在水解溫度53.13 ℃、水解酸化時間4 d、不投加蛋白酶的條件下,3組平行試驗的總VFA的濃度分別為5692.15、5735.01、5778.62 mg · L-1,平均為5735.26 mg · L-1,比優化工藝條件下3組平行試驗的總VFA濃度平均值(7757.67 mg · L-1)減少了26.07%,對應的SCOD濃度平均值(9070 mg · L-1)比優化工藝條件下3組平行試驗的SCOD濃度平均值(11680 mg · L-1)減少了22.35%.說明雖然投加蛋白酶對總VFA濃度的線性效應不顯著,但投加蛋白酶確實可以增加總VFA濃度和SCOD濃度.
3.2 碳源組成及碳源可利用性評估
如圖 3所示,在碳源組成方面,優化工藝條件下SCOD占TCOD的44.56%,總VFA占SCOD的66.42%,溶解性蛋白質占SCOD的19.34%,溶解性糖類占SCOD的6.89%,其他類物質占SCOD的7.35%.在VFA組成方面,乙酸占總VFA的35.11%,丙酸占總VFA的16.90%,異丁酸占總VFA的7.15%,正丁酸占總VFA的19.94%,異戊酸占總VFA的20.14%,正戊酸占總VFA的0.76%.碳源以總VFA為主,其中,VFA以乙酸、異戊酸、正丁酸、丙酸為主.
圖3 優化工藝條件下污泥上清液的碳源組成(a)及VFA組成(b)
為了更深入地研究碳源有機物,對優化工藝條件下污泥上清液進行了三維熒光測定.由圖 4可見,在污泥上清液三維熒光光譜中具有3個明顯的熒光峰.其中峰A,λEx/λEm為275 nm/305 nm,熒光強度為417.9;峰B,λEx/λEm為275 nm/330~340 nm,熒光強度為411;峰C,λEx/λEm為230 nm/335 nm,熒光強度為185.9.根據文獻報道(An et al., 2009;Chen et al., 2003;Henderson et al., 2009;Li et al., 2014; Pang et al., 2014;Shao et al., 2010; Yu et al., 2012;傅平青等,2005;歐陽二明等,2008),它們都屬于類蛋白熒光,峰A屬于溶解性微生物產物的類酪氨酸熒光,峰B屬于溶解性微生物產物的類色氨酸熒光,峰C屬于芳香族蛋白質類熒光.
圖4 優化工藝條件下污泥上清液的三維熒光光譜圖
為了研究碳源的可利用性,進行了反硝化速率研究.反硝化過程中,微生物將溶解性有機物作為電子供體進行生物脫氮,所以反硝化速率可以很好地反映碳源的可利用性.圖 5為未優化組(僅MW-H2O2-OH預處理)和優化組(MW-H2O2-OH預處理并去除殘留H2O2+水解酸化)的污泥上清液作為碳源時的反硝化測試曲線,優化組的污泥上清液作為碳源時的反硝化速率為0.184 g · g-1 · d-1,遠遠高于未優化組(0.065 g · g-1 · d-1(徐榮樂,2014)).理論上,在缺氧、可生物降解底物充足的條件下,去除1 mg硝酸鹽氮需要消耗的COD量為2.86/(1-YH),其中,YH為異養菌產率系數.根據ASM1活性污泥數學模型,YH取0.67(馬勇等,2006),那么理論上去除1 mg 硝酸鹽氮需要8.67 mg可生物降解底物COD.在試驗前50 min,共去除23.74 mg · L-1硝酸鹽氮,消耗了208 mg · L-1的SCOD,得到實際上去除1 mg 硝酸鹽氮消耗了8.76 mg可生物降解底物COD,與理論相符.據文獻報道(徐榮樂,2014),普通生活污水的反硝化速率為0.03~0.11 g · g-1 · d-1,甲醇和乙酸鈉的反硝化速率分別為0.12~0.32 g · g-1 · d-1和0.603 g · g-1 · d-1.總體來說,優化工藝條件下的污泥上清液作為碳源的可利用性介于甲醇和乙酸鈉之間,碳源可利用性較好.具體參見污水寶商城資料或http://www.xhxdt.com更多相關技術文檔。
圖5 反硝化測試曲線(a.未優化組(僅MW-H2O2-OH預處理)的污泥上清液(徐榮樂,2014);b.優化組(MW-H2O2-OH預處理并去除殘留H2O2+水解酸化)的污泥上清液)
4 結論
1)通過CCD響應面分析法,建立了水解溫度、水解酸化時間和蛋白酶投加量分別對總VFA濃度和SCOD濃度影響的回歸模型,結果表明,模型極顯著,在整個被研究的回歸區域內擬合度較高并具有較高的可信度和精確度,數據合理,試驗誤差小.通過對回歸模型的求解及綜合考慮,得到的優化工藝條件為:水解溫度53.13 ℃,水解酸化時間4 d,蛋白酶投加量為30.14 mg · g-1.3組平行試驗的驗證結果表明,總VFA濃度和SCOD濃度的相對誤差均在3%以內,說明所得模型能很好地優化微波-過氧化氫-堿預處理后污泥的水解酸化操作條件和預測總VFA濃度與SCOD濃度.
2)在碳源組成方面,優化工藝條件下SCOD占TCOD的44.56%,總VFA占SCOD的66.42%,溶解性蛋白質占SCOD的19.34%,溶解性糖類占SCOD的6.89%,其他類物質占SCOD的7.35%.在VFA組成方面,乙酸占總VFA的35.11%,丙酸占總VFA的16.9%,異丁酸占總VFA的7.15%,正丁酸占總VFA的19.94%,異戊酸占總VFA的20.14%,正戊酸占總VFA的0.76%.碳源以總VFA為主,VFA以乙酸、異戊酸、正丁酸、丙酸為主.三維熒光光譜的分析結果表明,污泥上清液中出現了比較強的類蛋白熒光,以溶解性微生物產物類酪氨酸和類色氨酸為主.優化組的污泥上清液作為碳源時的反硝化速率遠遠高于未優化組,并且優化組的碳源可利用性介于甲醇和乙酸鈉之間,碳源可利用性較好.





