1 引言
近年來,由于農業施肥、未處理污水的排放及氮沉降等一系列原因,導致濕地氮污染加劇(Holligan et al., 1993).濕地中各種形態的氮可以發生多種轉化,如同化吸收、氨化、硝化、反硝化、厭氧氨氧化、硝酸鹽異解為氨(DNRA)等過程(Kiernan et al., 2003; Hurd et al., 2005; Kern et al., 2011;An et al., 2001; Weisner et al., 2010).這些過程中,反硝化和厭氧氨氧化過程往往是濕地氮凈損失的原因(Hill,1979; 1981;1983).盡管在一些濕地中,厭氧氨氧化可能對氮的凈損失具有一定的貢獻(Zhu et al., 2013),但更多的研究表明,無論是在自然濕地,還是在人工濕地系統中,氮的凈化機制中反硝化往往是最主要的過程.
與濕地沉積物相比,上覆水體往往處于氧化環境,因此,濕地反硝化主要在沉積物中發生(孫志高等,2010).而濕地沉積物反硝化的控制因素涉及物理、化學和生物等多方面,其中,pH、硝酸鹽底物濃度及其來源、可利用碳源、土壤水含量及溫度等(Cornwell et al., 1999; Arheimer et al., 2002; Kanyiginya et al., 2010)是最為關鍵的控制因子.
鄱陽湖是我國重要的濕地保護區,位于長江中游,承納贛、撫、信、修、饒五河來水,通過調蓄后經北部湖口流入長江.由于水位變化顯著,造成鄱陽湖區別于其他湖泊的重要特征在于濕地類型復雜多樣.其中,既有季節性淹沒的洲灘濕地和沖積洲濕地,也有河流濕地,還有長期淹沒的低高程湖沼濕地.復雜的濕地類型影響了反硝化過程的諸多控制因子,如周期性的水文變化對沉積物有機質累積、礦化及沉積物氧化還原電位等存在重要影響,進而對反硝化造成影響.而水位的巨大變幅更影響了鄱陽湖不同濕地區域與流域河道的連通性,從而造成反硝化底物供給的差異.
本研究選取的洲灘沉積物、不同水力聯系下的湖沼沉積物是鄱陽湖較為常見的沉積物類型,分別代表了水力聯系較強的洲灘濕地、水力聯系較強的連通湖區湖沼濕地及水力聯系較弱的內灣湖沼濕地.通過對上述不同類型濕地沉積物柱樣采集、流動培養及同位素添加模擬,對不同水力聯系及沉積物特性下的沉積物反硝化進行研究,以期進一步了解水動力變化下鄱陽湖多類型濕地沉積物的反硝化空間差異及其影響規律.
2 材料與方法
2.1 樣品采集
本文設置研究點位共7個,其中,1#、2#是枯水季節不連通的內灣湖沼沉積物,3#、4#是與大湖面連通的湖沼沉積物,5#~7#是洲灘沉積物(圖 1).反硝化研究采用原柱樣沉積物流動培養法.沉積物柱狀樣于2012年7月用有機玻璃柱狀采樣器(直徑75 mm)采集,每個點位采集3根(泥柱深度15~20 cm).為保證采集的沉積物有較好的同質性,所有的柱樣均在較小區域內一次性采集,用橡膠塞塞緊保存,同時用10 L聚乙烯桶采集采樣點的上覆水,運回實驗室后用于流動培養.同時采集表層沉積物,用于沉積物理化性質分析.采集好的樣品于6 h內運回實驗室分析和培養,在運輸過程中盡量避免沉積物界面的擾動.

圖 1 研究點位置示意圖
2.2 室內培養
采集的柱樣在實驗室內垂直放置,打開上端橡皮塞,用注射器沿著管壁盡量無擾動地注滿上覆水,置于現場水溫(20 ℃)條件下恒溫水浴過夜,以去除運輸過程中短暫密封造成的水體溶解氧下降等因素.為避免沉積物和水體中藻類光合作用對反硝化的影響,柱樣在培養過程中用鋁箔包裹.對上述柱樣進行無頂空流動培養.培養系統包括具密封圈的活塞、進出水管及提供恒定進水流速的蠕動泵.進水管距水-沉積物界面約1 cm,進水管低于出水管,通過蠕動泵將進水以恒定的流速(1 mL · min-1)泵入柱樣中,使流動培養的進出水循環形成垂直及水平方向的混合水流,使上覆水充分混合,并通過持續流動保持上覆水中離子濃度穩定.穩定培養24 h后用注射器小心采集進水樣品,在無氣泡產生的情況下裝滿并充分溢流至細長的溶解性氣體采集管中,出水水樣直接溢流收集,加200 μL 50%ZnCl2保存.用膜接口質譜儀(MIMS)測定水樣中可溶性氣體(28N2、29N2、30N2)的含量.另收集25 mL 進、出水樣品,經0.45 μm 醋酸纖維濾膜過濾后,-4 ℃保存待用.
2.3 反硝化速率的計算方法
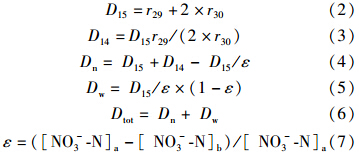
沉積物中反硝化所需的NO-3-N可能上覆水或來自沉積物中的硝化作用,分別形成非耦合反硝化和耦合反硝化,這兩種反硝化途徑可以通過同位素配對技術(Nielsen et al., 1995)進行測定.向上覆水中添加15NO-3-N 并使其濃度在100 μmol · L-1左右,穩定培養一段時間后使15NO-3-N與天然豐度的14NO-3-N在表層沉積物和上覆水體中混合均勻.由這些硝酸鹽產生的反硝化產物——N2的相對分子質量有28、29、30(圖 2).N2釋放速率(r29、r30)的計算公式如下(Kana et al., 1998):

圖 2 同位素添加下氮素轉化示意圖
式中, rn為氮氣(29N2、30N2)釋放速率(μmol · m-2 · h-1); C、C0為取樣時出水及進水中氮氣含量(μmol · L-1);V為蠕動泵流速(mL · min-1);S為柱樣中水-沉積物界面面積(m2); 60為時間換算因子.
通過生成的29N2、30N2,計算利用15NO-3-N而發生的反硝化速率D15(Rysgaard et al., 1993),利用未標記的14NO-3-N產生的反硝化速率D14,通過以上結果計算Dn、Dw,具體公式如下:

式中, D15、D14 分別為利用15NO-3-N、14NO-3-N而發生的反硝化速率(μmol · m-2 · h-1),Dn為耦合反硝化速率(μmol · m-2 · h-1),Dw為非耦合反硝化速率(μmol · m-2 · h-1),Dtot表示原位狀態下的總反硝化速率(μmol · m-2 · h-1),ε代表培養試驗中15NO-3-N的豐度(無量綱),下標a和b表示添加同位素之后和之前.
2.4 沉積物呼吸速率的計算
通過MIMS 測定流動培養過程中進出水樣的O2 含量,以此來確定反硝化過程中沉積物的呼吸速率(SOD)(Kana et al.,1994):
式中, D、D0為取樣時出水及進水中氧氣含量(μmol · L-1); V為蠕動泵流速(mL · min-1); S為柱樣中水-沉積物界面面積(m2); 60為時間換算因子.
2.5 土壤微生物量碳的測定
微生物量碳的測定參考Witt等(2000)和陳果等(2006)所用的方法.按5 g干土的量稱取一定量新鮮土樣于離心管,土樣分為氯仿熏蒸組和未熏蒸組.按60 μL · g-1干土的比例加氯仿至熏蒸組,振蕩使氯仿與土樣充分混勻,黑暗條件下靜置24 h后加入20 mL(0.5 mol · L-1)K2SO4溶液,振蕩30 min,低速(5000 r · min-1)離心10 min后抽取浸提液并過濾.未熏蒸組直接加K2SO4溶液提取.將含氯仿的浸提液倒入消煮管中,稱重后放入水浴鍋,待水沸騰后開始計時,消煮45~60 min,以去除氯仿對TOC測定的影響,待冷卻后用去離子水補充損失水分,用TOC儀測定浸提液含碳量.提取系數Kc=0.45(陳果等,2006),熏蒸組與未熏蒸組中碳含量的差異即土壤微生物量碳值.
2.6 樣品的測定與分析
表層沉積物總氮(TN)通過堿性過硫酸鉀消解后在210 nm處用紫外分光光度法測定;水樣氨氮(NH+4-N)通過納氏試劑比色法測定;硝態氮(NO-3-N)通過紫外分光光度法測定;表層沉積物含水率(質量分數)在105 ℃條件下烘24 h至恒重后測定;有機質含量以燒失量LOI表示(Heiri et al., 2001),通過烘干的沉積物在馬弗爐中550 ℃灼燒6 h后測定;容重的測定采用金屬環刀法.
3 結果與分析
3.1 上覆水及沉積物的理化特性
采樣點位上覆水及沉積物的理化性質如表 1所示,洲灘沉積物上覆水中的NO-3-N濃度在42.86 ~51.43 μmol · L-1之間,其平均值(47.14 μmol · L-1)大于湖沼沉積物上覆水的NO-3-N(39.29 μmol · L-1),但湖沼沉積物上覆水NO-3-N的濃度范圍更廣(23.57~55.71 μmol · L-1),而且內灣區的NO-3-N濃度顯著低于連通區(p<0.01).洲灘與湖沼沉積物上覆水NH+4-N平均濃度的差異不顯著,但具有顯著水力聯系差異的內灣區湖沼沉積物NH+4-N顯著低于連通區湖沼沉積物,且達到水平(p=0.05).
表 1 上覆水及沉積物的理化性質

表層沉積物總氮(TN)均值在洲灘沉積物及湖沼沉積物之間的差異不顯著.而湖沼沉積物含水率和燒失量的平均值均高于洲灘沉積物,其中,湖沼沉積物分別為60.97%和8.50%,而洲灘沉積物分別為47.15%和7.32%,其中,含水率的差異達到顯著水平(p=0.05),燒失量差異不顯著.洲灘沉積物和湖沼沉積物的容重差異則具有相反的結果,洲灘沉積物的容重均值(1.33 g · cm-3)高于湖沼沉積物(1.07 g · cm-3),但未達到顯著水平(p>0.05).
MBC在3種類型沉積物中差異較大,即使同為湖沼沉積物,其水力連通性的差異也對MBC有較大影響.連通區湖沼沉積物的MBC含量最高,平均值為(218.72±71.73)mg · kg-1,內灣區湖沼沉積物含量最低,為(118.58±66.70)mg · kg-1,洲灘沉積物的MBC含量為(199.15±144.91)mg · kg-1.以MBC/LOI計算結果可以看出,MBC在這3種沉積物有機質中所占比例均較小,分別為0.27%、0.14%、0.26%.
3.2 沉積物反硝化速率和沉積物呼吸速率
3種類型沉積物的反硝化速率如圖 3所示.由圖可知,湖沼沉積物的平均反硝化速率為(28.72±17.77)μmol · m-2 · h-1,但空間異質性大,其中,內灣湖沼沉積物反硝化速率(均值13.45 μmol · m-2 · h-1)顯著低于連通區湖沼沉積物(均值43.98 μmol · m-2 · h-1)(p<0.01).較弱水力聯系致使內灣區的非耦合反硝化和耦合反硝化均較弱,特別是位于周溪的半封閉湖區(1#點),幾乎沒有耦合的反硝化過程發生.連通性點位的非耦合反硝化速率和耦合反硝化速率均值分別為30.35 μmol · m-2 · h-1和13.63 μmol · m-2 · h-1.

圖 3 三種類型沉積物的反硝化率(誤差線為標準誤差,n=3)
洲灘沉積物的平均反硝化速率為(35.36±6.12)μmol · m-2 · h-1,其中,6#點位的反硝化速率最高(41.29 μmol · m-2 · h-1),7#點位反硝化速率最低(28.22 μmol · m-2 · h-1),但洲灘沉積物3個點位之間反硝化速率差異不顯著.洲灘沉積物的非耦合反硝化速率和耦合反硝化速率均值分別為23.02 μmol · m-2 · h-1和12.34 μmol · m-2 · h-1.
湖沼沉積物的呼吸速率(SOD)在2.55~899.6 μmol · m-2 · h-1之間(均值為351.23 μmol · m-2 · h-1,SD=387.74 μmol · m-2 · h-1),而其中水力聯系較強的湖沼沉積物的SOD(均值為608.61 μmol · m-2 · h-1)顯著高于內灣區的湖沼沉積物(均值為93.85 μmol · m-2 · h-1).洲灘沉積物的SOD值差異相對較小,其范圍是520.91 ~756.48 μmol · m-2 · h-1,均值為647.84 μmol · m-2 · h-1,標準偏差為118.84 μmol · m-2 · h-1.
4 討論
4.1 沉積物的反硝化作用
總反硝化速率(Dtot)在有較強水力聯系的湖沼沉積物中最高,達到(43.98±2.33)μmol · m-2 · h-1; 在洲灘沉積物中次之,為(35.36±6.12)μmol · m-2 · h-1; 而在與大湖區連通性較弱的內灣湖沼沉積物中最低,為(13.45±3.21)μmol · m-2 · h-1.Nils Risgaard-Petersen等(1998)對從Sùbygaard Sù Lake 采集的沉積物加入濃度為200 μmol · L-1的15N 同位素進行反硝化研究,得出沉積物的反硝化速率為(149.16±4.17)μmol · m-2 · h-1,顯著高于本研究中各類型沉積物的反硝化速率.本研究中有較強水力聯系的洲灘沉積物及湖沼沉積物的反硝化速率與徐徽等(2009)在太湖北部梅梁灣內灣測定的結果類似(均值為36.37 μmol · m-2 · h-1),而鄱陽湖中水力聯系較弱的內灣湖沼沉積物的反硝化率則與梅梁灣外開敞湖區的反硝化速率相類似(均值為16.34 μmol · m-2 · h-1).
4.2 上覆水硝酸鹽對反硝化速率的影響
反硝化菌在呼吸作用中用硝酸鹽代替氧原子作為電子受體,進而將硝酸鹽還原為N2O或N2,因此,硝酸鹽是反硝化的必要底物.分析湖沼沉積物和洲灘沉積物反硝化速率與上覆水硝酸鹽含量的關系,可以發現,不同類型沉積物的反硝化速率與上覆水硝酸鹽之間存在顯著正相關(圖 4,r=0.97,p<0.01),這說明上覆水硝酸鹽是洲灘沉積物和湖沼沉積物的反硝化的限制性因子(Nielsen et al., 1995; Kana et al., 1998 ;Zhong et al., 2010).

圖 4 沉積物反硝化率與上覆水硝酸鹽的關系(誤差線為標準誤差,n=3)
進一步研究發現,反硝化速率在不同水力聯系及沉積物特性的湖區中呈現較強的空間異質性.這主要是由不同湖區上覆水硝酸鹽含量不同所致.內灣區的上覆水硝酸鹽含量較低(均值為0.35 mg · L-1),這是因為內灣區的生物在初級生產過程中吸收了大量上覆水硝酸鹽,而與外界較弱的水力聯系使得硝酸鹽不能得到及時補充.另一方面,湖沼沉積物較高含量的有機質為反硝化活動提供了充足的碳源,反硝化活動加劇了內灣區硝酸鹽的消耗.而連通湖區沉積物由于有較強的水力聯系,上述原因造成的硝酸鹽消耗可以得到及時補充,較高含量的硝酸鹽進而提高了反硝化速率.
對比水力連通性均較強的湖沼沉積物和洲灘沉積物可以發現,湖沼沉積物的反硝化速率(均值43.98 μmol · m-2 · h-1)略高于洲灘沉積物(35.36 μmol · m-2 · h-1),但差異不顯著.連通性湖沼沉積物中的MBC及上覆水硝酸鹽均高于洲灘沉積物,促使反硝化速率也較高.另一方面,湖沼沉積物的含水率和孔隙率均顯著高于洲灘沉積物,較高的孔隙率有利于上覆水體硝酸鹽向反硝化層的遷移,進而提高了非耦合反硝化,因此,總反硝化速率也較大.
4.3 沉積物性質對反硝化的影響
在上覆水到沉積物的垂向剖面中,沉積物在呼吸過程中逐漸消耗水土界面及硝化層中的氧氣,并在一定的沉積深度中形成足夠的厭氧環境并形成反硝化層.因此,沉積物的呼吸速率(SOD)往往與反硝化層深度及反硝化速率具有密切的聯系,其中,SOD與反硝化速率往往存在著顯著的正相關關系(Cornwell et al., 1999;張波等,2012).本研究中鄱陽湖濕地沉積物的反硝化速率與呼吸速率呈顯著正相關(圖 5,r=0.76,p<0.05)同樣證實了這一規律,即無論是洲灘沉積物,還是不同類型湖沼沉積物,其SOD值越高,對水體氧氣的消耗越強烈,沉積物的反硝化也越強烈.具體參見污水寶商城資料或http://www.xhxdt.com更多相關技術文檔。

圖 5 沉積物反硝化速率與SOD的關系(誤差線為標準誤差,n=3)
影響沉積物呼吸速率的主要因子包括沉積物的有機質含量、底棲生物和底棲微生物的數量和活性,而沉積物有機質,特別是易降解有機質,往往是影響沉積物呼吸速率最重要的因素.微生物碳(MBC)雖然在有機質中所占比例很小(Kushwaha et al., 2000),但卻是沉積物有機質中最具有活性的部分,是反硝化過程中最容易被利用的碳源(Groffman et al., 2003),與沉積物中的反硝化菌數量及反硝化潛力(Denitrification Enzyme Activity,DEA)往往具有相當密切的關系(Davis et al., 2008).盡管有少量研究認為反硝化速率與MBC之間存在負相關關系(Bohlen et al., 2007),但有關濕地沉積物的研究表明,沉積物MBC含量與反硝化速率之間存在顯著的正相關關系(White et al., 2003).鄱陽湖濕地中3種沉積物(洲灘沉積物、內灣湖沼沉積物和連通湖沼沉積物)的MBC含量在空間上具有相當大的異質性(71.42 ~365.74 mg · kg-1),甚至在同一類型沉積物中,MBC含量的標準誤差也較大(圖 6).但將同類型湖區沉積物的MBC含量進行均值化處理后再與反硝化速率均值進行的相關性分析仍顯示出顯著的正相關關系(r=0.99,p=0.05).可據此認為鄱陽湖濕地沉積物的MBC含量與反硝化過程具有十分密切的關系,其原因是:一方面MBC提供了反硝化過程中的最優先可利用碳源(Groffman et al., 2003);另一方面,較高的MBC含量也往往預示著更多的反硝化菌數量和更強的反硝化潛力(Davis et al., 2008),從而導致更高的反硝化速率.

圖 6 沉積物反硝化速率與MBC的關系(誤差線為標準誤差,n=3)
4.4 不同性質沉積物反硝化途徑的差異
分析洲灘和不同類型湖沼沉積物的反硝化途徑,發現耦合反硝化均小于非耦合反硝化,這說明非耦合反硝化是其主要反硝化方式.有研究表明,當上覆水硝酸鹽濃度在133~141 μmol · L-1時,耦合反硝化一般占總反硝化速率的6%~9%,但當上覆水硝酸鹽濃度較低(如5 μmol · L-1)時,耦合反硝化所占的比例可達72%(Nishio et al., 1983).本研究中除有機質水平最高,但水力聯系最弱的半封閉湖灣(周溪灣)的耦合反硝化未能測出外,其余沉積物上覆水的硝酸鹽濃度范圍為23.57 ~55.71 μmol · L-1,即在上述較低濃度5μmol · L-1與較高濃度141 μmol · L-1之間,而這些沉積物耦合反硝化的比例為20.1%~52.6%,這與上述研究基本一致.對不同水力連通性湖區的進一步對比發現,內灣沉積物的耦合反硝化顯著低于連通區的湖沼沉積物和洲灘沉積物.這主要是因為內灣沉積物中有機質含量較高,有機質在氧化過程中消耗的氧氣加劇界面的厭氧狀況,導致沉積物硝化作用較弱,因而耦合反硝化較低.在連通湖區中,由于有較強的水力聯系,沉積物中有機質氧化消耗的氧氣可以得到補充,氧氣在表層沉積物中的入滲深度較大,因而耦合反硝化值較高.對比連通區中的兩種沉積物可以發現,兩者的耦合反硝化差別較小,但湖沼沉積物的非耦合反硝化高于洲灘沉積物,這是由于湖沼沉積物較高的孔隙率有利于上覆水體硝酸鹽向反硝化層的遷移,進而提高了非耦合反硝化.


