1 引言
全氟化合物(Perfluorinated compounds,PFCs)中的全氟辛烷磺酸(Perfluorooctanesulfonate,PFOS)和全氟辛酸(Perfluorooctanoate,PFOA)具有疏水和疏油特性及良好的表面活性和耐熱性,因而在全球范圍內被用于工業產品及生活用品的生產中,例如,紡織品的表面保護材料、泡沫滅火劑、感光材料表面處理劑、半導體工業清潔和表面處理液、地板蠟、殺蟲劑、航空液壓油、防水和防油紙等.PFOS和PFOA不易在環境中代謝和降解,具有生物累積作用,在生物及相關工業工人的血液和組織樣品中均有檢出.PFOS和PFOA亦具有內分泌干擾活性和致癌性,因此,在2009年5月《關于持久性有機物的斯德哥爾摩公約(POPs公約)》第四次締約方大會上,將PFOS及其鹽類和全氟辛基磺酰氟列入公約附件B(限制生產、使用和進出口).
歐美、日本、韓國和中國等許多國家有關污水處理廠PFCs的報道表明,城市污水處理廠排水是PFCs進入水環境的主要途徑之一.2006年,Skutlarek等(2006)報道了德國由于未對含PFCs廢水進行合理處置,導致了河流的嚴重污染,在一些區域甚至導致了飲用水的污染.污水中的PFOS和PFOA主要來自經過表面處理的產品(如衣物和地毯)的清洗和護理,含PFCs的化妝品及工業產品的浸出.由于消費者使用了含有PFCs的產品,所以這些物質被發現存在于市政污水和污泥中.PFOS和PFOA不易在污水處理過程中被降解,進而分配于水相和污泥中.并且,大多數的研究表明,經傳統的生物處理后,污水中的PFOA和PFOS濃度反而會增加.來自污水處理廠的PFCs會通過污水出水、化糞池出水和污泥還田等途徑進入環境中從而造成污染.已有研究對PFCs在污水處理廠污水和污泥中的分布進行了報道,但對于在污水處理整個流程的每一步處理工藝中,PFCs在水相和泥相間的分布和遷移轉化規律還了解甚少.污水處理廠是PFCs進入環境中的污染源之一,研究PFCs在污水處理廠中的遷移轉化規律有助于管理和控制PFCs通過這一途徑進入環境.目前,中國污水處理廠中PFCs存在狀況的研究剛剛起步,鮮有相關報道,污染情況的調查研究工作還較為缺乏.隨著近年來中國對化學品管理力度的加強,以及對《POPs公約》的履約要求,有必要對新增POPs物質的污染源進行基礎調查.
脫氮除磷污水處理工藝是目前北京等城市污水廠采用的主要工藝,本研究針對北京市盧溝橋污水處理廠倒置A2O工藝流程各階段的污水和污泥進行采樣和濃度分析檢測,分析PFOS和PFOA在好氧、缺氧和厭氧不同條件下污水和污泥中的濃度分布特征,以及泥水分配規律.同時,計算并解釋了各工藝階段PFOS和PFOA的物質流的變化,以期為PFOS和PFOA在污水處理廠的處理情況提供參考,并為環境中PFOS和PFOA的來源提供基礎數據.
2 材料與方法
2.1 試劑與材料
PFOS和PFOA購自美國Sigma-Aldrich公司;GF/F玻璃纖維濾膜(0.47 μm)購自美國Whatman公司;乙酸(99.5%)、氨水(25.0%~28.0%)、乙酸銨(98.0%)購自國藥集團化學試劑有限公司;色譜級甲醇和二氯甲烷購自美國J.T.Baker公司;WAX固相萃取小柱(150 mg,6 cm3)、Sep-Pak Silica固相萃取小柱(1 g,6 cm3)和Sep-Pak Plus型水樣富集器均購自美國Waters公司;超純水由Milli-Q synthesis超純水機(Millipore,美國)制備.
2.2 采樣
選擇北京市盧溝橋污水處理廠為調查對象,該廠日處理污水量冬季約為70000 m3 · d-1,夏季約為90000 m3 · d-1,服務區覆蓋北京南部人口約364000人,污水來源主要為生活和商業污水.污水處理工藝由預處理裝置、初級處理裝置和二級生物處理裝置構成,具體如圖 1所示.預處理裝置包括粗格柵和細格柵,初級處理裝置為圓形沉淀池,二級生物處理使用改良倒置式A2O工藝,由缺氧1區-厭氧區-好氧1區-缺氧2區-好氧2區組成.污水40%進入缺氧工段,60%進入厭氧工段,匯合后再經過好氧、缺氧和好氧處理后,進入二次沉淀池,大部分出水排放到附近的馬草河中,另外約10000 m3 · d-1的出水經再生水廠處理后作為中水回用.二沉池的污泥90%經回流進入缺氧池1,其余作為剩余污泥排出,脫水后制成泥餅外運.
樣品采集時間為2012年7月27日和11月30日,采樣點布設如圖 1所示.污水及泥水混合物收集于1.5 L的PET塑料瓶中,放置在有冰板的冷藏箱中運回實驗室,在當天進行水樣的過濾及前處理.進水和出水經GF/F玻璃纖維濾膜(0.47 μm)過濾處理,其余泥水混合物靜置離心后進行泥水分離.水相在24 h內進行前處理,進出水的懸浮顆粒物及其余采樣點的污泥進行冷凍干燥.

圖 1 污水處理廠工藝流程示意圖及采樣點(采樣點S1~S8分別為進水、缺氧1、厭氧、好氧1、缺氧2和好氧2出水、二沉池回流污泥和出水)
2.3 樣品前處理
將500 mL污水樣品經GF/F玻璃纖維濾膜(0.47 μm)過濾后,采用英國標準協會BS ISO 25101(BSI,2009)和Yu等(2009)報道的固相萃取法進行水樣的前處理.首先,WAX固相萃取柱分別用4 mL的0.1%氨水/甲醇溶液、4 mL甲醇和4 mL純水依次活化(流速約3 mL · min-1);然后將水樣減壓通過固相萃取柱,富集體積均為0.5 L,控制流速3 mL · min-1.富集完成后,用4 mL的0.025 mol · L-1(pH=4)的乙酸鹽緩沖溶液(乙酸+乙酸銨溶液)淋洗,將淋洗后的WAX固相萃取柱冷凍干燥3 h.之后再用4 mL的0.1%氨水/甲醇溶液洗脫,洗脫液收集于10 mL的聚丙烯管中,并將洗脫液用6 mL二氯甲烷稀釋到10 mL,待用Silica固相萃取小柱進行凈化.Sep-Pak Silica固相萃取小柱經5 mL二氯甲烷/甲醇(V/V=3 ∶ 2)活化后,凈化稀釋后的洗脫液(10 mL),控制流速3 mL · min-1,并用玻璃離心管接液體.將洗脫液用氮吹儀吹干,用甲醇定容至0.5 mL,渦旋混勻后轉移至裝有內襯管的進樣瓶中,進行LC/MS/MS分析.
將冷凍后的污泥樣品置于冷凍干燥機(Christ Alpha 1-4 LD plus,John Morris Scientific公司,澳大利亞)(-30 ℃以下)內干燥后,采用Higgings等(2005)使用的方法進行污染物提取和凈化.首先,將100 mg樣品放入容量為50 mL的聚丙烯離心管A中,加入7.5 mL的1%乙酸后渦旋混合1 min,超聲水浴15 min(60 ℃).之后放入離心機中離心2 min,轉速為3000 r · min-1,將提取的上清液加入另一個50 mL聚丙烯離心管B.再向A中加入2.5 mL的甲醇/1%乙酸(90/10,體積比)溶液,重復上述提取過程.再用相同量的乙酸溶液和甲醇/乙酸溶液重復兩次上述提取過程,并將上清液轉移至管B中.最后將管A置于離心機中離心2 min,轉速為3000 r · min-1,并收集上清液于管B,收集于管B中的上清液總共約30 mL.將管B中的上清液進行WAX固相萃取及凈化,步驟同污水樣品.最后用0.5 mL甲醇定容,渦旋混合均勻后轉移至裝有內襯管的進樣瓶中,進行LC-MS/MS分析.500 mL的進水和出水樣品(S1和S8)過濾后載有懸浮固體SS的濾膜經過與污泥類似的提取凈化過程后,用0.5 mL甲醇定容,渦旋混合均勻后過0.22 μm的尼龍濾頭,然后轉移至裝有內襯管的進樣瓶中,進行LC-MS/MS分析.
2.4 儀器分析
儀器分析采用高效液相色譜和三重四極桿串聯質譜聯用系統(LC-MS/MS,API3200,Applied Biosystems公司,美國).色譜和質譜條件參考了Lin等(2012)的報道.
色譜條件:色譜柱為Ultimate C18柱(4.6 mm×250 mm,5 μm,Welch Mareials公司,美國);流動相A:甲醇,流動相B:5 mmol · L-1乙酸銨水溶液;流速:0.8 mL · min-1,柱溫40 ℃,進樣量10 μL,采用梯度洗脫方式,洗脫程序:0~2 min,流動相A從70%線性變化到95%;2~5 min,流動相A保持在95%;5~5.1 min,流動相A從95%線性變化到70%;5.1~7 min,流動相A保持在75%.
質譜條件:采用電噴霧離子源ESI負離子模式,碰撞氣(CAD)0.034 MPa,氣簾氣(CUR)0.17 MPa,離子源電壓(IS)-4500 V,離子源溫度(TEM)550 ℃.選擇性PFOS和PFOA監測離子質荷比(m/z)為499>80和413>369的帶負電準分子離子.
2.5 標準曲線、回收率和空白實驗
用甲醇/水(V/V=1 ∶ 1)溶液配制濃度范圍為5~200 μg · L-1的PFOS和PFOA混合標準液,測定標準液濃度,繪制標準曲線,線性可決系數>0.99.在過濾后的進水和回流污泥樣品中分別添加100 ng · L-1和250 ng · g-1的PFOS/PFOA混合標準溶液,按照2.3節所述的前處理步驟進行富集,進水和回流污泥分別設3個平行樣,根據測定結果計算加標回收率,結果如表 1所示.以信噪比為3確定儀器檢測限(LOD),PFOS和PFOA的檢測限分別為0.6 ng · L-1和0.1 ng · L-1.空白實驗使用Milli-Q超純水進行,超純水(3個平行樣)經過與污水同樣的前處理步驟后,使用LC-MS/MS進行分析檢測,PFOS和PFOA均低于檢出限,所以前處理步驟沒有引入污染.
表1 污水和污泥中PFOS和PFOA的LOD和回收率
3 結果與討論
3.1 PFOS和PFOA在夏季和冬季各工藝階段污泥和污水中的濃度分布
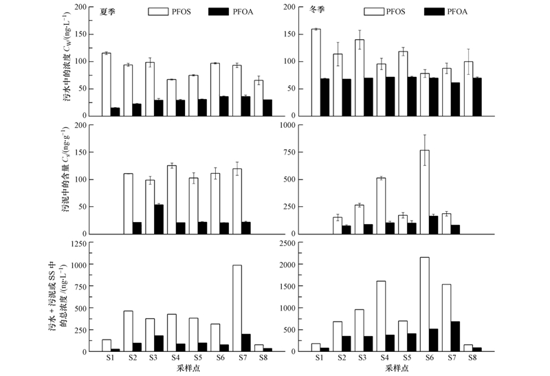
如圖 2所示,進水中PFOS和PFOA的濃度范圍分別為113.9~160.6 ng · L-1和14.7~68.1 ng · L-1,其中,夏季分別為(115.7±1.7)ng · L-1和(15.3±0.6)ng · L-1,冬季分別為(159.4±1.2)ng · L-1和(68.8±0.7)ng · L-1.文獻報道中污水處理廠進出水PFOS和PFOA的濃度如表 2所示,相比較后發現,盧溝橋污水處理廠進水中PFOS的濃度與文獻中其他污水處理廠在同一數量級,但PFOA的濃度僅與Murakami等(2009)報道的日本關東地區,以及Lin等(2010)報道的中國臺灣的污水處理廠中PFOA的濃度類似,與其他研究相比較低.從圖 2中可以明顯看出,污水中PFOS濃度高于PFOA.這與美國肯塔基、美國紐約、德國、韓國、新加坡及中國上海和大連兩座工業污水廠的情況相反,然而,這些報道中的污水處理廠的進水都含有工業來源或商業來源,且比例較大.對于進水來源主要是市政污水的污水處理廠而言,如表 2所列出的瑞士、日本、中國臺灣和中國沿海城市與本研究類似,進水中PFOS的濃度高于PFOA的濃度.可見,PFOS較PFOA在市政污水中存在更多,而PFOA受工業污水和商業污 水的影響較大.Chen等(2012)通過對中國12座污水處理廠的調查發現,工業污水來源占70%的污水處理廠中PFOS和PFOA的濃度分別為2.6~9.5 ng · L-1和47000~66000 ng · L-1,而市政污水進水中PFOS和PFOA的濃度分別為1.8~176.0 ng · L-1和2.6~191.0 ng · L-1.所以,Chen等推測,市政污水是PFOS的重要來源,而相當一部分的PFOA源自工業.其他的研究也說明了市政污水是城市污水處理廠中PFOS的持續性來源.而在沒有工業廢水進入的城市污水處理廠中,PFOA主要來自商業用途,如醫院、商場和辦公大樓中對經過全氟化合物進行表面處理后物品的清洗.盧溝橋污水處理廠的進水主要為市政污水,所以,PFOS濃度較PFOA高的情況與現有研究一致.冬季污水中PFOS和PFOA的濃度比夏季略高,但整體差別不大,且污水中的PFOS和PFOA的濃度在工藝流程的各階段的變化規律在夏季和冬季也較為類似.

圖 2 PFOS和PFOA在夏季和冬季各工藝階段污水、污泥和SS中的濃度分布
表2 污水處理廠污水和污泥中的PFOS和PFOA的濃度
如圖 2所示,污泥中PFOS和PFOA的含量范圍分別為110.4~669.5 ng · g-1和20.2~178.2 ng · g-1,其中,夏季分別為93.4~128.9 ng · g-1和20.2~55.5 ng · g-1,冬季分別為132.6~669.5 ng · g-1和70.0~178.2 ng · g-1.表 2中列出了文獻報道的活性污泥中PFOS和PFOA的含量,本研究的活性污泥中PFOS的含量與Yan等(2012)報道的上海污水處理廠,以及Kim等(2012)報道的韓國的污水處理廠中的含量相似,比Chen等(2012)所報道的中國沿海城市污水處理廠污泥中PFOS的含量高.PFOA的含量相對PFOS較低,與Higgins等(2005)報道的美國舊金山的污水處理廠污泥中含量(n.d~29.4 ng · g-1)類似.污泥中PFOA的含量特征在夏季和冬季較為類似,但污泥中PFOS的含量特征在夏季和冬季有著明顯的不同.夏季污泥中PFOS的含量在各工藝階段差別不大,在冬季,兩個好氧池中PFOS的含量有明顯的升高(圖 2).研究表明,污水中有許多前驅物質如N-EtFOSE(2(N-ethyl-perfluorooctane sulfonamido)ethyl alcohol)、N-EtFOSAA(2-(N-ethylperfluorooctane sulfonamido)acetic acid)、N-MeFOSAA(2-(N-methylperfluorooctane sulfonamido)acetic acid)可以分解產生PFOS.所以,冬季厭氧和缺氧1(S2和S3)中PFOS的含量升高,在曝氣的條件下,好氧池中的污泥對PFOS的吸附能力較大,使得在兩個好氧池(S4和S6)的污泥中PFOS的含量增大.另外,因為冬季污泥停留時間(22 d)比夏季(18 d)長,不易被生物降解的PFOS會在污泥中積累,所以產生了冬季PFOS在各流程之間的變化幅度大于夏季的現象,而PFOA卻沒有這么明顯的變化,這與兩種物質的泥水分配規律不同有關(在3.2節中進行探討).另外,采樣方法對濃度分布特征也有較為明顯的影響,由于本研究采用抓取的采樣方法,污泥樣品可能為泥齡較大的污泥,所以,出現了在S4和S6冬季的污泥中PFOS含量增高較為明顯的現象.
由于進水和出水中不存在污泥相,所以依據2.3節中所述的前處理方法分析了進水和出水樣品(S1和S8)懸浮固體SS中PFOS和PFOA的濃度,表示為每升污水的SS中PFOS和PFOA的濃度,分別為20.6~22.2 ng · L-1和10.4~11.2 ng · L-1(圖 2,此處SS的單位為ng · L-1而非ng · g-1,每升污水的SS中的濃度與水相的濃度直接相加即可得出進水和出水中PFOS和PFOA的綜合濃度;對于含有污泥相的S2~S7,綜合濃度=水相濃度+泥相濃度×MLSS).
經過處理后,出水中PFOS和PFOA的濃度范圍分別為60.1~116.3 ng · L-1和29.9~71.5 ng · L-1,其中,夏季分別為(65.8±5.7)ng · L-1和(30.1±0.2)ng · L-1,冬季分別為(157.9±74.7)ng · L-1和(70.0±1.5)ng · L-1.從圖 2中可以看出,PFOA在出水中的濃度反而升高,這是由于污水中亦存在可能分解產生PFOA的前驅物質(Fluorotelomer alcohols),從而使出水濃度升高.PFOS較PFOA而言,更易受污泥吸附的影響,所以部分隨剩余污泥排出或隨回流污泥進入缺氧池1中,導致出水中PFOS的濃度有輕微下降.經污水處理廠處理后的PFOS和PFOA在污水和污泥中的總濃度都有所升高,這與PFOS和PFOA不能被生物降解有關.
3.2 PFOS和PFOA的泥水分配特征
PFOS和PFOA在污水和污泥之間的分配用分配系數Kd來表示,可以體現不同條件下污染物在泥水之間的遷移轉化規律及對去除的影響.Kd用如下公式來進行計算:
式中,Kd為有機污染物在污水和污泥之間的分配常用分配系數(L · kg-1),CS為有機污染物在污泥中的含量(ng · g-1),CW為有機污染物在污水中的濃度(ng · L-1).
PFOS和PFOA在污水處理廠不同工藝階段污水和污泥中的分配系數如表 3所示,PFOS和PFOA的Kd值的范圍分別為894~11824 L · kg-1和544~2569 L · kg-1.略高于Zhou等(2010)報道的200~4050 L · kg-1和150~300 L · kg-1,Yu等(2009)報道的720~2324 L · kg-1和188~597 L · kg-1,以及Arvaniti等(2012)報道的398~9983 L · kg-1和212~2657 L · kg-1.但是,與其他鹵代有機物如有機氯農藥相比,PFOS和PFOA的Kd值要小幾個數量級,說明PFOS和PFOA比其他鹵代有機物不易分配于污泥中.
表3 PFOS和PFOA在污水和污泥中的分配系數
從表 3可以看出,PFOA在不同處理階段的Kd值差別不大,但PFOS在不同處理階段Kd值差別較大,并且在好氧池最高,其次為缺氧池和二沉池,在厭氧池最低.文獻報道表明,分配系數Kd變化范圍較大的原因,與污泥性質、污水中污染物的濃度和不同污泥停留時間等因素相關.而Yu等(2009)的報道則稱,不同類型的污泥對PFOS和PFOA的分配系數沒有太大影響.Arvaniti等(2012)報道了PFCs在初沉池、好氧池和二沉池中的泥水分配系數,結果也顯示,對3種污泥而言PFOA的Kd值差別不大,但PFOS在好氧池中的Kd值較高.Arvaniti等(2012)又對此現象做出了推測,不同的污泥性質如pH和所含離子濃度等會對Kd值造成影響.Higgins等(2006)對PFOS在河水和沉積物之間的分配進行了研究,發現除了pH和鹽度等因素外,沉積物的有機碳含量也是關鍵因素之一.好氧池水中的溶解氧含量較高,污水的處理率較高,故水中的有機物含量較低,被污泥吸附待降解的有機物含量較高,所以PFOS更易分布于污泥相中.此外,表 3中的數據也顯示,PFOS的Kd值較PFOA高,這說明與PFOA相比,更多的PFOS會吸附于污泥中.
3.3 PFOS和PFOA的質量流分析
各構筑物PFOS和PFOA質量流的計算方法如下所示:
式中,MLa和MLb分別為構筑物水相和固相(污泥或SS)中的污染物質量負荷(g · d-1),Ca為污染物在水相中的濃度(ng · L-1),Cb為污染物在固相(污泥或SS)中的含量(ng · g-1), Q為污水的流量(m3 · d-1),D為S2~S7的污泥濃度(MLSS)(g · L-1).
S1~S6和S8夏季流量為9000 m3 · d-1,冬季為70000 m3 · d-1,S7為二沉池回流量及剩余污泥量,夏季流量為12000 m3 · d-1,冬季流量為11700 m3 · d-1.盧溝橋污水處理廠各工藝流程中PFOS和PFOA的質量流如圖 3所示,計算誤差在16%之內.進水中的PFOS和PFOA部分吸附于SS中,夏季進水中PFOS和PFOA的總負荷分別為12.3 g · d-1和2.4 g · d-1,出水中PFOS和PFOA的總負荷分別為7.0 g · d-1和3.1 g · d-1.除了出水以外,二沉池污泥的約10%污泥作為剩余污泥排出,PFOS和PFOA在二沉池負荷的10%分別為1.2 g · d-1和0.2 g · d-1,也排出到環境中,所以,夏季PFOS和PFOA進入環境中的總負荷量分別為8.2 g · d-1和3.3 g · d-1.同樣的,冬季PFOS和PFOA在進水中的負荷分別為12.7 g · d-1和5.5 g · d-1,通過污水處理廠進入環境中的總負荷量(包括出水和剩余污泥)分別為12.9 g · d-1和6.6 g · d-1.可見,進入污水處理廠的PFOS和PFOA的負荷在冬夏季的差別不大,但通過污水廠進入環境中的負荷冬季略高于夏季.無論是在夏季還是冬季,PFOS和PFOA的質量流從進入污水處理廠到排出的過程中并沒有明顯的減少,反而出現了上升的現象,結果與文獻報道相符.

圖 3 夏季和冬季PFOS和PFOA在污水處理的各工藝階段的質量流變化
經過初沉池后,污染物吸附于污泥中,水相的質量負荷有所下降,夏季水相和固相中PFOS和PFOA的總負荷在污水處理過程中的變化均不明顯.夏季進行污水生物處理的過程中,污泥中PFOS的負荷占泥水混合物總負荷的70%以上,其中,在二沉池污泥(S7)中占到了90%的負荷量;PFOA也有類似的特點,污泥中的負荷占泥水混合物總負荷的50%以上,并且在二沉池污泥(S7)中比例達到最高,為82%.在Loganathan等(2007)對肯塔基的一座污水處理廠的研究中,春、夏和冬季經污水處理廠污泥排入環境中的PFOS的污染負荷占到總負荷的90%以上.PFOA在泥水混合物中的總負荷在生物處理的各階段變化不大,夏季和冬季的情況類似,而PFOS在夏季和冬季的情況較為不同.在夏季,PFOS在污水處理各階段的質量負荷呈下降趨勢,進入初沉池后即達到最大,隨后一直降低.而在冬季,從進水到好氧池2,PFOS的質量負荷呈增加的趨勢,在好氧池2達到最大.這可能是因為由于污水中存在可以降解為PFOS的前驅物質,冬季污泥停留時間較長,降解產生的PFOS在污泥中進行積累從而產生質量負荷逐漸增大的現象.另外,采樣的方式有可能也是影響質量流分析的重要因素之一.文獻研究認為,在抓取的采樣方式下,質量流發生30%以上的變化才能表示發生了明顯的變化.本研究所采取的抓取采樣的方式,有可能在濃度較大或者較小的時候進行的采樣,所以有可能增加濃度的變化范圍.質量流的分析是根據濃度計算的,所以相應的質量流的變化范圍也有可能增大.具體參見污水寶商城資料或http://www.xhxdt.com更多相關技術文檔。
4 結論
1)通過對PFOS和PFOA在倒置A2O工藝各工藝段污水和污泥中的濃度檢測,以及對泥水分配的分析和對質量流的計算,結果發現,盧溝橋污水處理廠污水和污泥中PFOS的濃度大于PFOA,這與進水的來源主要為市政污水有關.
2)整個工藝流程污水和污泥中PFOA的濃度及質量流均基本保持不變,受泥水分配的影響,PFOS的濃度和質量流在工藝流程的各階段變化較大.
3)PFOS的泥水分配系數Kd較PFOA高,說明PFOS較PFOA更易分布于污泥中,并且PFOS的Kd值受污泥種類和特性的影響較大.對質量流的分析也表明,PFOS主要分布于泥相中.
4)PFOA的濃度及質量流在夏季和冬季之間差別不大,但PFOS的變化較為明顯,可能是因為冬夏季污泥特性有所不同,并且冬季比夏季污泥停留時間長,PFOS在污泥中積累所致.
PFOS和PFOA經過污水處理廠后,以出水和剩余污泥的形式進入環境中.污水處理廠作為全氟化合物的污染源之一,出水中的PFOS和PFOA已經引起了關注.根據質量流的分析可以看出,更多的污染物是隨剩余污泥排出,如果污泥處理處置措施不合適,則會導致PFOS和PFOA進入環境水體和土壤中,對生物和人體造成潛在的危害,所以,污泥處理處置過程中PFOS和PFOA的遷移轉化行為值得進一步進行深入研究.





