石化廢水主要是指在石油煉化、 加工過程中產生的廢水,該類廢水具有水量大、 水質復雜、 有機污染物濃度高、 毒性大,難生物降解等特點,屬于較難處理的工業廢水,對環境污染嚴重. 中國目前每年的工業廢水排放量超過2.1×1010 t,石化廢水排放量大約占3%~4%. 石化廢水的二級處理一般采用活性污泥法為主的處理工藝,處理后的出水COD一般在100 mg·L-1左右. 石化工業園區內有些裝置出水含磷較高,如丁苯橡膠廢水,造成最終二級出水中TP濃度偏高. 隨著世界各國對水體水生態和飲用水安全標準的提高,中國政府于2015年7月實施《石油化學工業污染物排放標準》 (GB 31571-2015),二級出水中COD、 TP等主要有機污染物濃度達標壓力較大,我國大部分石化綜合污水廠面臨著深度處理的技術需求.
曝氣生物濾池(BAF)是一種膜法生物處理工藝,可以用于SS去除,有機物去除,硝化除氮、 反硝化脫氮和除磷等,具有比表面積大、 有機負荷高、 工藝簡單、 過濾作用好及易于反沖洗等特點,在國內外污水深度處理中已廣泛應用. 臭氧由于其強氧化性(氧化還原電位為2.07 V,在水中僅比氟原子、 氧原子和羥基自由基低),能夠顯著地改變有機物的分子結構,提高廢水的生化性,在污水處理方面研究一直備受關注.
臭氧和BAF組合工藝既發揮了化學氧化的有效性,又兼顧了生物處理的經濟型,在石化廢水深度處理方面有廣闊的應用前景. 近年來,臭氧和BAF組合工藝在工業廢水深度處理中得到了廣泛應用,并且發現BAF-臭氧組合工藝更適合于石化二級出水的深度處理. 但是目前研究多集中于COD處理效果,對TP處理效果研究很少. 由于BAF的結構導致生物除磷的效果非常有限,需要投加鐵鹽等除磷藥劑來強化除磷.
為了同時降低COD與TP濃度,以達到最新排放標準要求,本研究探究了投加FeSO4·7H2O的BAF-臭氧強化組合工藝對石化二級出水的處理效果,同時在機制上對處理過程中有機物的相對分子質量及種類變化情況進行了探討,以期為BAF-臭氧組合工藝原位投加FeSO4·7H2O強化處理石化二級出水的應用提供理論依據和技術支持.
1 材料與方法
1.1 試驗用水和試驗裝置
1.1.1 試驗用水
試驗用水取自某石化工業園區污水處理廠二級出水,園區內主營石油化工兼有少量化肥廠,該廠承接了園區內60余套生產裝置排放的廢水,采用水解酸化、 A/O法進行生化二級處理,水質隨不同裝置的檢修具有一定的波動性. 試驗期間主要水質特征為:pH 6~8,COD 60~120 mg·L-1,NH4+-N的平均值為5.83 mg·L-1,TP的平均值為1.37 mg·L-1.
1.1.2 試驗裝置及運行
試驗裝置為有機玻璃制作的上向流BAF-臭氧,共兩組(投加FeSO4·7H2O組為1號,不投加FeSO4·7H2O的對照試驗組為2號),其尺寸及結構相同. BAF-臭氧組合工藝裝置如圖 1所示,BAF反應柱和臭氧反應柱內徑分別為70 mm和100 mm,高度均為1.6 m,內部填充火山巖濾料,填充高度分別為0.8 m和0.7 m. 反應器均使用蠕動泵BT-100型創銳作為進水泵,BAF反應柱在底部曝氣,采用曝氣泵、 流量計控制曝氣量,BAF使用蠕動泵投加 FeSO4·7H2O. 臭氧制備以工業級純氧作為氧氣源、 山美水美YG-5臭氧發生器、 防腐蝕臭氧專用流量計、 LIMICEN臭氧濃度監測儀組合運行.

圖 1 反應器流程示意
1號和2號兩組試驗同時進行,根據課題組前期研究,FeSO4·7H2O 投加量為9 mg·L-1 時強化除磷效果較好,確定BAF段工藝參數HRT=1 h,氣水比3∶1,FeSO4·7H2O投加量為9 mg·L-1; 課題組前期研究表明投加量為10 mg·L-1 時臭氧氧化效果較好,確定臭氧投加量為10 mg·L-1,HRT=30 min. 石化廢水二級出水有機污染物種類較多、 水質變化較大,工藝連續運行10 d觀察污染物去除效果.
1.2 測試指標與測試方法
1.2.1 常規指標分析方法
試驗分析的常規指標COD、 NH4+-N和TP等,均采用國家標準分析方法進行測定. 廢水中有機物分子量分級采用超濾法,具體操作參照文獻進行.
1.2.2 三維熒光分析方法
采用日本日立公司出產的HITACHI FL-7000 型三維熒光分光光度計對所取的水樣進行三維熒光測定. 為防止水樣中的非溶解性顆粒對水樣測定的影響,水樣需先經過0.45 μm 醋酸纖維膜過濾,再進行測定. 激發波長200~500 nm與發射波長為250~550 nm,狹縫寬度5 nm,等高線寬度10 nm,掃描速率為12 000 nm·min-1 的條件下,測定樣品的三維熒光光譜特性. 數據采用Origin軟件進行處理,以等高線圖表征.
1.2.3 GC-MS 測試方法
采用文獻中方法對水樣進行預處理后,經氣相色譜-質譜聯用儀定性分析(Agilent 7890,美國),所測得圖譜與NIST質譜圖數據庫進行對比獲得樣品信息. HP-5 MS UI 型色譜柱,對水樣進行半揮發性有機物定性分析. 采用毛細色譜柱HP-5 MS,30 m × 250 μm×0.25 μm; 升溫程序:初始溫度40℃ 保持3 min,以8℃·min-1的速率升溫至200℃ 保持3 min,然后以10℃·min-1的速率升溫到280℃保持1 min,后運行溫度300℃; 載氣流速9 mL·min-1的高純氦氣(>99.999%); 分流比5∶1; 進樣口溫度260℃. 質譜條件:電離方式為電子轟擊源,離子源溫度230℃,四級桿溫度150℃,EI源為70 eV. 掃描方式為全掃描,質量掃描范圍29~350 m/z,溶劑延遲時間2.5 min.
2 結果與討論
2.1 組合工藝運行效果
2.1.1 組合工藝對 COD的去除
1號、 2號組合工藝對COD的去除效果如圖 2所示. 進水COD平均濃度為82.91 mg·L-1,1號BAF出水COD 平均濃度為73.61 mg·L-1,臭氧出水平均濃度為39.63 mg·L-1,平均去除率為52.20%; 2號BAF出水COD平均濃度為76.91 mg·L-1,臭氧出水平均濃度為53.85 mg·L-1,平均去除率為35.05%. 1號組合工藝COD去除率較2號組合工藝高17.15%,Fe2+的投加對組合工藝中BAF段和臭氧段COD去除效果均有提高,對臭氧段提高效果最為明顯.
1號組合工藝中,BAF段對COD的去除效率較2號BAF段高4%左右,FeSO4·7H2O對COD的去除有一定的促進作用. 這是由于投加FeSO4·7H2O增加了濾料的截留能力; Fe2+帶正電荷,促進了有機物向帶負電的微生物細胞膜表面的遷移; 同時Fe也是微生物生長所需要的一種金屬元素,適量的Fe會促進微生物的代謝作用. 由圖 2可以看出,COD的去除主要集中于臭氧工藝段,其中1號組合工藝臭氧平均去除率為40.98%,2號組合工藝臭氧平均去除率為27.81%,投加鐵鹽后臭氧對COD的去除效果明顯升高. 這是因為投加 FeSO4·7H2O后,BAF出水含有Fe2+和Fe3+,這兩種離子是常見的臭氧氧化均相催化劑,Sauleda 等提出了Fe2+催化分解臭氧形成·OH的機制,見反應式(1)和(2).

臭氧在 Fe離子催化作用下形成的·OH與有機物的反應速率更高、 氧化性更強,可以氧化臭氧單獨氧化無法降解的小分子有機酸、 醛等,可以將有機物完全礦化,提高污水中有機物的去除率.
2.1.2 組合工藝對 TP的去除
1號、 2號組合工藝對TP的去除效果如圖 3所示. 進水TP平均濃度為1.37 mg·L-1,1號BAF出水TP平均濃度為0.46 mg·L-1,臭氧出水平均濃度為0.39 mg·L-1,TP平均去除率為71.50%; 2號BAF出水TP 平均濃度為1.27 mg·L-1,臭氧出水平均濃度為1.10 mg·L-1,TP平均去除率為19.69%. 1號組合工藝TP去除率明顯高于2號組合工藝,這說明 FeSO4·7H2O的投加對BAF-臭氧組合工藝去除TP有非常明顯的促進作用,由圖 3可以看出,TP的去除主要在 BAF段進行.

圖 3 組合工藝對TP的去除效果
1號BAF段TP平均去除率為66.52%,較2號BAF段高約60%,這是因為鐵鹽是一種高效的化學除磷藥劑,化學強化除磷和生物協同除磷相結合,大大促進了除磷效果,與課題組前期研究得出的 FeSO4·7H2O能有效強化BAF對石化二級出水除磷作用結論一致. 經過臭氧的氧化,出水TP的濃度繼續降低. 大分子有機物在無機膠體顆粒(正磷酸鹽沉淀)表面形成有機物保護層,造成雙電層排斥作用,使膠體的穩定性增加. 而臭氧氧化可使大分子有機物轉化至小分子物質,將稠環芳烴的多環結構和共軛鍵的物質斷裂、 加成,破壞有機物對膠體保護作用,使得膠體脫穩后沉降被臭氧段濾料截留. 與2號臭氧段相比,1號臭氧段TP 去除效率有所升高,但是升高幅度較小.
2.2 不同分子量有機物去除特性
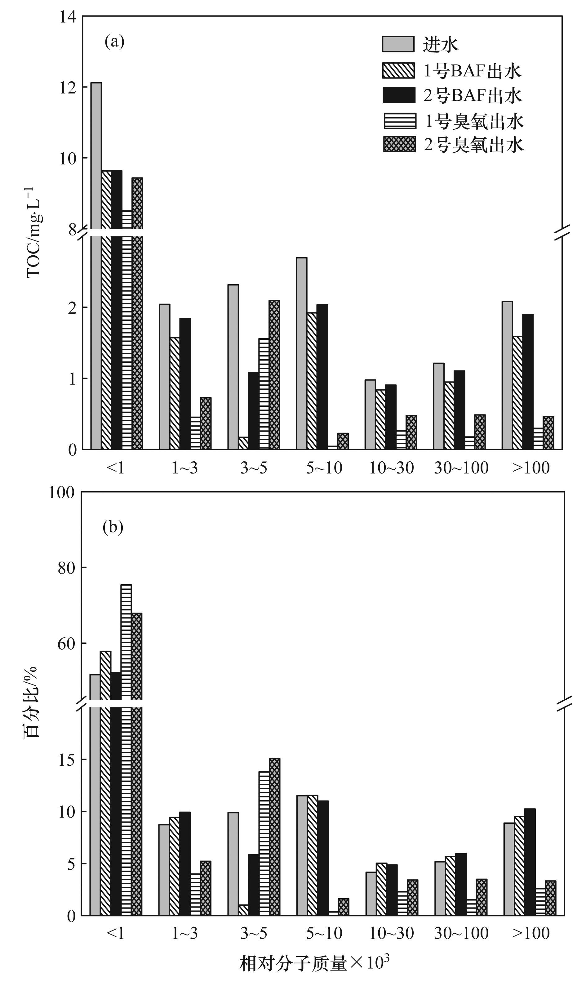
BAF降解和臭氧氧化對廢水中有機物的相對分子質量的變化有顯著影響. 圖 4是兩個反應器對不同分子量有機物的去除情況比較. 從中可以看出,原水中溶解性有機物主要集中在相對分子質量小于1×103之內,經過BAF-臭氧組合工藝處理后,兩組工藝出水有機物總量大幅下降.

圖 4 BAF-臭氧處理前后相對分子質量分布及TOC對比
經過BAF處理后,兩組工藝各梯度的相對分子質量有機物都有一定去除,其中分子量3×103~5×103的有機物去除最為明顯. 1號組合工藝BAF段出水各分子量有機物去除效率高于2號組合工藝,這是由于FeSO4·7H2O在水解過程中形成的Fe2+、 Fe3+高價態正電荷離子通過靜電引力,可置換膠體顆粒表面較多的低價正離子,使雙電層變薄,進而使得排斥勢壘減弱直至消失,膠體顆粒發生凝聚作用,因此,FeSO4·7H2O在水解過程中形成的Fe2+、 Fe3+絡合物能與廢水中的膠體顆粒絮凝沉,可有效地去除廢水中的有機物. 與 BAF段出水趨勢相反,兩組工藝臭氧段出水中相對分子質量3×103~5×103的有機物所占比例升高,而大分子有機物(相對分子質量>5×103的有機物)總量大幅下降,這可能是因為臭氧將相對分子質量5×103 以上的有機物破碎分解,生成部分相對分子質量3×103~5×103的有機物. 由圖 4(b)中看出,原水相對分子質量小于1×103的有機物占52%左右,經過BAF-臭氧處理后,1號、 2號組合工藝臭氧段出水中相對分子質量小于1×103的有機物所占百分比分別為75.39%和65.38%,較臭氧氧化前顯著升高. 這是由于O3臭氧具有極強的氧化性,破壞 CC、 NN、 CO等不飽和鍵,可將大分子物質氧化成低毒、 易降解小分子、 甚至徹底礦化為CO2和H2O.

圖 5 BAF-臭氧處理石化二級出水前后三維熒光圖
1號組合工藝臭氧氧化效率高于2號組合工藝,這是因為1號組合工藝BAF出水中含有一定量的Fe2+、 Fe3+絡合物,這些物質作為催化劑,臭氧在其表面被吸附富集,并與催化劑表面羥基基團作用,羥基基團促進臭氧分解,形成的 ·OH使有機物的降解速率更高.
2.3 三維熒光光譜特征研究
石化二級出水、 1號、 2號工藝各段出水中溶解性有機物三維熒光光譜如圖 5所示,其主要熒光峰有3個,其中,Flu1為色氨酸類芳香族蛋白質熒光峰; Flu2 為類溶解性微生物代謝產物熒光峰; Flu3為類腐殖酸的熒光峰. 通過進一步分析三維熒光光譜的數據矩陣,得到各熒光峰的位置及對應的熒光強度(FI)見表 1. Flu4表征水樣中總熒光峰,其熒光強度是水樣中Flu1~Flu3熒光峰的熒光強度之和. 石化二級出水經過2號工藝BAF處理后各熒光峰強度提高,這是因為一些溶解性微生物代謝產物例如多糖、 蛋白、 腐殖質物質在BAF處理中產生,而這些物質均有一定的熒光性. 加鐵鹽的1號BAF出水總熒光峰Flu4強度比石化二級出水略低,這是由于鐵元素是微生物所需的微量元素,一定量的FeSO4·7H2O可促進微生物代謝,增強微生物活性,導致BAF生化作用增強,而類溶解性微生物代謝產物和類腐殖質均屬于生化性較強的物質,更容易被BAF去除,所以Flu2和Flu3的熒光峰強度較石化二級出水均有降低. 然而Flu1的熒光峰強度較石化二級出水升高,首先因為石化廢水中所含的有機物多以苯環剛性結構有機物、 π—π共軛雙鍵的不飽和有機物為主,BAF工藝并不能夠有效去除毒性較大的類芳香族蛋白質,其次BAF生化反應產生的微生物次生代謝產物具有一定熒光性,從而導致Flu1熒光峰強度升高. 兩組工藝的臭氧段出水中,Flu1、 Flu2、 Flu3的熒光峰強度均有明顯的降低,而且Flu3藍移了5~10 nm. 藍移主要是由大分子有機物分解為小分子有機物或者稠環芳香烴的多環結構分解破壞引起的. 從本研究結果來看,由于O3的強氧化性,將難降解有機物大分子氧化為小分子物質,將稠環芳烴的多環結構及共軛雙鍵破壞,導致各類熒光峰強度的降低以及Flu3的藍移. 其中1號臭氧段出水熒光峰強度明顯低于2號臭氧段出水,這是由于進水中鐵離子對臭氧催化,產生氧化性更強的·OH,提高了對有機物的氧化去除能力. 因此投加鐵鹽能夠強化BAF-臭氧組合工藝對石化污水廠二級出水的處理效果.
表 1 廢水中三維熒光主要峰位置和強度
2.4 特征有機物去除情況研究
500mL原水、 1號工藝出水、 2號工藝出水,液液萃取其中半揮發性有機物,經GC-MS進行定性分析. 圖 6為原水、 1號工藝出水、 2號工藝出水氣相色譜圖. 從中可以看出,石化二級出水經過BAF-臭氧組合工藝處理后,不僅峰高有所降低,且峰的數量減少明顯,經過與MS數據庫對比,石化二級出水檢出主要有機物約123種,其中含不飽和鍵的物質占80%以上,主要為環烷烴,鹵代烴、 苯系物等難降解物質,這些物質結構復雜,并且具有一定的生物毒性. BAF-臭氧處理前后廢水中檢出的主要特征有機污染物(即面積歸一,百分比之和大于95%的有機物),統計如表 2所示. 進水中檢出主要特征污染物為21種,經處理后1號工藝、 2號工藝出水檢出主要特征污染物分別為5種和7種. 從物質種類的數量看,1號工藝處理效果好于2號工藝. 為了更直觀比較兩組工藝的處理效果,挑選存在于原水、 1號工藝出水、 2號工藝出水中的共同特征有機物作為代表物質進行對比,對比指標以色譜峰的積分面積來衡量物質的相對去除,對比結果見表 3所示. 1-氯-3-甲基-2-丁烯和氯乙醛縮乙二醇在原水、 1號工藝和2號工藝出水中均存在,經2號BAF-臭氧處理后,1-氯-3-甲基-2-丁烯和氯乙醛縮乙二醇去除率分別為20.7%和74.7%,而1號 BAF-臭氧工藝對這兩種物質的去除率分別提高了21.3%和5.6%,這是由于臭氧氧化對含不飽和鍵有機物去除效率較高,其中1號工藝通過投加鐵鹽,不僅會促進BAF微生物的代謝,對有機物的去除有一定促進作用,而且BAF出水中殘留的Fe2+和Fe3+ 能對臭氧氧化起到均相催化效果,氧化效率更高,進一步提高有機物去除效率. BAF-臭氧工藝在鐵鹽的雙效耦合作用下,能夠達到更好的處理效果.具體參見污水寶商城資料或http://www.xhxdt.com更多相關技術文檔。

圖 6 BAF-O3組合工藝處理前后水樣的GC-MS圖譜

表 2 石化二級出水BAF-臭氧組合工藝處理前后主要有機物統情況

表 3 BAF-臭氧組合工藝進出水中典型特征有機物去除對比
3 結論
(1) FeSO4·7H2O能有效強化BAF-臭氧組合工藝對石化二級出水處理效果. 本研究中,在二級出水COD平均濃度82.91 mg·L-1,TP平均濃度1.37 mg·L-1,臭氧投加量10 mg·L-1條件下,投加濃度為9 mg·L-1的FeSO4·7H2O對組合工藝處理效果有明顯提升. 投加 FeSO4·7H2O后BAF-臭氧組合工藝出水COD去除率提高17.15%,除磷效率提高51.81%.
(2) 經過BAF-臭氧組合工藝處理后,相對分子質量小于1×103的不飽和有機物所占比例呈上升趨勢. BAF 段反應器處理后出水各相對分子質量有機物都有一定的去除,其中相對分子質量3×103~5×103的有機物去除最為明顯; 經臭氧段工藝后,大分子有機物總量大幅下降. 投加FeSO4·7H2O后,各分子量有機物去除率均得到提升.
(3) 通過三維熒光分析得到石化廢水二級出水溶解性有機物主要為類芳香蛋白質和類腐殖酸,投加FeSO4·7H2O后,BAF-臭氧組合工藝出水中各類物質熒光峰強度均降低,鐵離子對臭氧催化,產生氧化性更強的·OH,提高了對有機物的氧化去除能力.
(4) 經過GC-MS圖譜和有機物統計分析,BAF-臭氧處理后廢水中含不飽和鍵的有機物去除明顯,投加FeSO4·7H2O后,BAF-臭氧工藝在鐵鹽的雙效耦合作用下,處理后出水中有機物的種類減少,濃度降低.




