湖庫水體富營養化是一個世界性的問題。藍藻的爆發會引起味、嗅等問題,甚至會產生有毒物質,對水源水質和水處理均造成很大的影響。由于季節性熱分層而引發的水體底部厭氧,會造成沉積物中氮磷等營養鹽的釋放,進而促進湖庫水體中藻類的生長。
水質原位修復技術作為一項重要的水質改善方法在國內外得以廣泛應用。國外關于人工曝氣的研究與應用起步較旱且已相對成熟。幾年來,國內學者在揚水筒技術的基礎上通過結構改進與優化研發出了揚水曝氣技術,該技術具有混合充氧、抑制底泥污染物釋放和藻類生長等功能。其結構示意簡圖見圖1,原理是空氣由岸邊的空壓機壓縮后經供氣管道通入環形空氣釋放器,壓縮空氣由釋放器的微孔向曝氣室釋放微小氣泡,并向下層水體充氧,水流經回流室返回水庫底部;充氧后的尾氣則在回流室分離出來進入氣室;氣體在氣室中不斷的積累,同時氣室中水面不斷下降;當水面降至水封板以下時,氣室中氣體瞬間進入上升筒并形成大的氣彈,直筒中的氣彈上升過程中推動水體加速上升,將下層水體輸送至表層;氣彈沖出上升筒出日后,水流沿水面向外側推動,形成揚水曝氣外側水流自上向下流動;曝氣器內水流自下向上流動,誘導上下水體混合,表層水體中藻類被帶到下層水體;低溫、低光照、高壓使藻類無法生長繁殖,從而達到控制藻類生長的目的。目前該項技術已應用于天津于橋水庫,西安黑河水庫,太原汾河水庫等水庫的水質改善工程中,通過破壞水庫分層,抑制沉積物營養鹽釋放,使水質得到有效改善。
然而,人工破壞分層對藻類群落結構,藻類密度的影響由水庫水深,揚水曝氣強度,營養鹽濃度以及其他方面共同決定。以周村水庫為例,對揚水曝氣系統運行前后水庫水體垂向物理、化學和藻類指標進行連續監測,并與往年同期進行比較分析,重點探究了揚水曝氣系統運行對藻類群落結構、藻類密度的影響,以期為水庫水質改善以及水體富營養化防治科學作出指導,為揚水曝氣器長期研究作出貢獻。
1 研究區域概況
周村水庫位于117°41' E,34°57' N,棗莊市市中區孟莊鎮周村南,流域面積為121 km2,總庫容8 404萬m3,水面面積8. 54 km2,2015年揚水曝氣運行期間最大水深13 m。周村水庫主要功能有防洪、灌溉和城市供水,是棗莊市城市供水水源地。1990-2008年,周村水庫曾大量網箱養魚,造成嚴重的水質污染及水庫富營養化。網箱養魚取締后,水庫水質有所好轉,但庫底沉積的高污染底泥持續向水體釋放營養鹽,使水庫仍處于富營養化狀態。
周村水庫為典型溫帶單循環混合模式,分層期為4-11月,混合期為12月一次年3月。熱分層期表層與底層水體最大溫差可達19. 1℃,底層水體呈缺氧狀態,總氮、氨氮、總磷、錳和硫化物平均值分別可達1. 74 、1. 81 、0. 318 、 0. 93和1.29 mg / L。秋季熱分層結構消亡,上下層水體的垂向對流使分層期蓄積于底部的高濃度營養鹽和還原性污染物被交換至上層水體,導致水質惡化。
2研究方法
2015年8月末于周村水庫壩前安裝8臺揚水曝氣器(見圖2)。揚水曝氣器設置的目的是改善取水口附近的水質環境,防止出現分層厭氧狀態。其布置的原則為,盡量在靠近取水口附近水深較大的區域設置,設置水域的庫容應保證在設計取水量下達到一定的停留時間。周村水庫上游水深較小,不宜設置揚水曝氣器,壩前水深較大,所以在壩前平行布置,其參數如表1。并以4#曝氣器作為本次研究對象,進行水質與藻類樣品的采樣。


2. 1
水樣的采集與分析
水質樣品每5d取一次,采用有機玻璃垂向直立式采樣器于距水面0. 5,6,8和10 m及底部(底泥上0. 5 m)共5個不同水深處取樣,放入聚乙烯瓶中帶回實驗室待測,總氮(TN)、總磷(TP)等指標參照《水和廢水監測分析方法》進行測定,所有化學指標均在24 h內測量完畢。
2. 2藻類樣品的采集與分析
藻類樣品用取樣器在水下0.5、2.5、5、7.5和10 m及底部共6個不同水深處采樣,現場用魯哥試劑(15 mg / L)固定水中藻類,帶回實驗室待分析。將1 000 mL固定好的水樣通過過濾濃縮到30 mL,使用0. 1 mL計數框,在生物顯微鏡下用10 x 40倍進行分類計數,藻類的鑒定和計數參考《中國淡水藻類:系統、分類及生態》。
水庫藻類生物量計算公式為:
式中:Q為水庫藻類平均生物量(以Chl-a濃度計)(mg / L ) ;Qi為第i層水層藻類平均生物量(mg / L);Vi為第i水層容積(m3) ;V為水庫總容積。
2. 3垂直方向連續數據獲取
對于垂直水體的溫度(WT)、溶解氧(DO)等連續數據采用哈希公司生產的Hydrolab DS5型多功能水質監測儀現場測定,深度間隔為1 m。
3結果與討論
3. 1揚水曝氣技術對水庫熱分層和溶解氧的影響
2014年水庫水溫分層現象從4月中旬持續到11月中旬,其中9月份的最高溫度為25. 4℃,最低溫度為11. 6℃,在水深7-9 m處形成明顯的溫躍層。同時,2014年9月在6 -8 m水深處溶解氧迅速降低,水深9 m以下為缺氧狀態(見圖1(a)一(a))。揚水曝氣于2015年8月27日開始運行,9月27日運行結束,相較于2014年同期,揚水曝氣器運行前水庫仍有明顯的熱分層現象。隨著揚水曝氣的運行,上下層水體溫差逐漸減小,溫躍層消失,分層結構逐漸破壞,到9月27日運行結束,水庫最高溫度為23.0 ℃,最低溫度為22. 5℃,水體完全混合,熱分層現象消失。揚水曝氣運行前水深7m以下為缺氧區,揚水曝氣運行使底部厭氧層不斷充氧,上下層水體混合,底部水體溶解氧濃度逐漸增大,厭氧狀態被打破(圖3(b)一(d) )。


3. 2揚水曝氣技術對水庫營養鹽的影響
由于內源污染,周村水庫內部磷的負荷隨底部溶解氧的變化表現出季節性的分層現象。熱分層期底層處于厭氧狀態,沉積物中營養鹽釋放到上覆水體,使底層TP濃度明顯高于表層,2015年揚水曝氣運行前底部TP濃度最高為0. 48 mg / L ,運行后底層溶解氧升高,沉積物中磷的釋放得到抑制,底部TP濃度降低至0. 0 1mg / L。與2014年同期相比,2015年表層TP濃度高于2014年,而2015年表層DTP濃度低于2014年(見圖4),說明藻類生長繁殖所需的溶解性總磷降低,對藻類的生長產生影響。同時2015年揚水曝氣運行前表層TN濃度為1. 0 mg / L,揚水曝氣運行后期TN濃度下降至0. 3 mg / L,TN濃度下降約70%。
3. 3揚水曝氣技術對水庫光熱特征的影響
SVERDRUP建立了臨界層理論,認為藻類初級生產力與光合作用有效輻射成線性關系,混合層、真光層和臨界層3層的相對關系,決定了水體中藻類增長潛能。即當混合層在臨界層以下時,水柱中藻類凈生產力小于零,浮游植物生長受到限制,水華消失;當混合層在真光層與臨界層之間時,水柱中藻類凈生產力較小,藻類增殖較慢;當混合層小于等于真光層時,水柱中藻類凈生產力達到最大,藻類大量繁殖,水華暴發。
臨界層理論揭示了藻類初級生產力與水體垂向層化穩定性的關系,表層水體混合深度(Zmix)反映了水體垂向紊動混合條件,而水體垂向混合使藻類發生垂向位移,改變藻類接受有效光強的機率,同時水體混合程度的不同也影響營養鹽的垂向輸送及分布,從而影響藻類種群的演替。該理論經發展,采用真光層深度(Zeu)和混合層深度(Zmix)之比Zeu / Zmix來判斷光照的垂向分布和水體垂向的混合對藻類生長的影響。揚水曝氣器的主要功能之一混合充氧,對水體的擾動強烈,影響藻類可接受光強,營養鹽濃度,從而影響藻類生物量和群落結構。如圖5可見,隨著揚水曝氣的運行,水柱混合層深度不斷增加,Zeu / Zmix持續降低,有效的控制表層藻類的生長,預防水華的發生。


3. 4揚水曝氣技術對水庫藻類的影響
3. 4. 1藻類密度、生物量的影響
揚水曝氣運行前,周村水庫表層水體溫度、光照和營養鹽等條件充足,藻類密度較高,底層由于光照、溫度和壓力等綜合條件限制,藻類密度較低,垂向上表現出明顯的藻類密度差異性。揚水曝氣器運行后,藻類密度垂向分層逐漸減弱,一是由于表層藻類被運輸到底層;二是由于表層水體溫度降低,混合層深度增加,藻類可利用光照強度減弱,氮營養鹽濃度降低,所以表層藻細胞密度降低,而底層溫度升高,藻細胞密度隨之增加。到9月巧日揚水曝氣運行結束,表層與底層間藻細胞密度差異基本消失(見圖6)。
不同水庫,不同地區,人工曝氣對葉綠索。的影響有所不同,FAST等的研究中葉綠索。濃度升高,HEO等的研究顯示葉綠索。濃度無明顯變化。
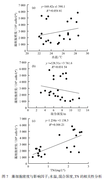
根據公式(1)計算得周村水庫藻類平均生物量如表2。曝氣混合作用將上部水體中的藻類運輸到中、下部水體中,隨著系統持續運行,由于混合層深度增加,可利用光照強度減弱,及氮營養鹽的限制表層藻類無法大量繁殖,而輸送到下部水體的藻類生長受到光照和壓力的限制,藻類數量的增加有限,所以藻類生物總量由2014年的10. 85 mg / L降低到5. 43 mg / L,降低50%。對比運行年和非運行年,將藻類密度的變化與TN,寧昆合深度、水溫進行相關性分析(見圖7)。藻類密度和混合深度、水溫的相關性較差,而揚水曝氣對氮營養鹽條件的改變,對周村水庫富藻期藻類密度的影響較大。


3.4.2藻類群落結構的影響
CUSHINC等分別針對強水溫分層和弱水溫分層水體研究了水溫分層對藻類優勢種演替的影響,發現不同藻類可適應的水體水溫分層情況有所不同,所以揚水曝氣系統造成的水體水溫分層的改變對藻類群落結構有顯著影響。
周村水庫藻類群落結構呈季節性變化,分層期以藍藻和綠藻為優勢種群,混合期綠藻和硅藻為優勢種群。揚水曝氣運行前(8月26日)藍藻占藻類總量的48%,為優勢種群,運行后(9月27日)優勢種群由藍藻變為硅藻,達藻類總量的80%左右。藍藻適宜在高溫度,高光照強度,高磷濃度條件下生長,同時很多種類的藍藻可以垂向遷移,在穩定水體中可以遷移到表層水體,接受足夠的光照進行大量繁殖。因此水庫易爆發藍藻水華,有大量關于藍藻控制的研究。揚水曝氣系統運行使整個水體混合,限制了藍藻的遷移作用。表層水體中藍藻可獲得光照強度和可利用營養鹽濃度降低,抑制了其生長繁殖,而輸送到底層的藍藻隨著壓強的增大,衰亡速度增加,使藍藻失去優勢種群地位。相反,硅藻在靜水中易于沉降,可接受光照強度和溫度均會降低,較難成為優勢種群,所以只有在混合期才會成為優勢種群。揚水曝氣對水體產生擾動,將底層水體送至表層,藍藻遷移優勢喪失,硅藻生長環境改善,有利于其大量繁殖成為優勢種群。


Shannon指數可以表示生物種類多樣性。揚水曝氣器運行前水庫藻類多樣性與2014年同期相近,運行后周村水庫藻類多樣性水平提高,水體生態狀況良好(見圖9)。具體參見污水寶商城資料或http://www.xhxdt.com更多相關技術文檔。
4結論
1)揚水曝氣器運行,造成周村水庫熱分層逐漸破壞,表層氮磷營養鹽水平降低,混合層深度增加,均對藻類產生影響。
2)揚水曝氣器運行期間,表層藻細胞密度降低,底層藻細胞密度增加,藻類數量的垂向分層逐漸減弱;周村水庫藻類生物量較2014年降低50%,其中氮營養鹽的改變對藻類生物量的影響較顯著。
3)揚水曝氣器運行使水庫藍藻優勢降低,硅藻上升為優勢種群,藻類群落結構在垂向上無明顯差異,周村水庫藻類多樣性水平提高,水體生態狀況良好。氮營養鹽、熱分層結構和光照條件的改變,均對藻類群落結構的影響較大。




