1 引言(Introduction)
人工濕地是人工設計建造的由填料、植物和微生物組成的可控制工程化的污水處理生態系統, 依靠系統中物理、化學及生物共同作用實現對污水的凈化.其特點是投資少、運行費用低、維護方便, 對有機物有較強的降解能力, 而且對N、P的去除率也較高, 對負荷變化適應性強, 以及兼具美學價值(李娟等, 2011), 因而受到了越來越多的關注.目前已廣泛應用于工業廢水、生活污水、礦山廢水、農村徑流、養殖廢水及采油煉油廢水等廢水的處理(Werker et al., 2002; 梁繼東等, 2003; Scholes et al., 1999; Wood et al., 2007; 籍國東等, 2001).
微生物作為人工濕地除污的主體和核心, 在物質的礦化、硝化、反硝化等過程中起到關鍵作用(賀鋒等, 2005).低溫微生物是極端微生物之一, 其所具有的獨特的生理功使其能適應環境, 因此, 研究這類微生物不僅具有重要的理論意義, 還在實際推廣應用中產生了日益明顯的經濟效益和環境效益(李兵等, 2010).國外對低溫微生物處理污水技術的研究起步較早, 主要是通過低溫微生物去除污水中的油烴類、氯酚類、表面活性劑、氮和磷等達到凈化水質的目的, 而且已經提出其低溫適應性的分子機制及相關理論(Westlake et al., 1974; Atlas, 1981; Vacková et al., 2011; Shuo et al., 2013; Jarvinen et al., 1994).我國從20世紀90年代初開始針對低溫微生物資源(主要是南極及深海微生物)的初步收集、調查與研究工作(馮虎元等, 2004; 李田等, 2006; 姜安璽等, 2002).但低溫微生物在廢污水處理過程中, 由于水力停留時間過長, 致使人工濕地對污水處理量受到限制.而且, 由于直接投放菌體, 游離微生物進入實際污染環境中后, 其生存繁殖和降解能力易受外界因素干擾, 降解作用難以充分發揮, 還會造成大量菌體流失, 難以控制其長期的處理效果.
微生物固定化技術是20世紀60年代后期迅速發展起來的一種新型技術, 具有實驗速度快, 便于培養優勢微生物種群, 微生物密度高、流失量少, 處理過程的穩定性高, 對環境耐受力強(如pH、溫度、有毒物質等), 固液分離效果好, 處理過程便于控制等優點(王紹良等, 2011), 因而在諸多廢水處理中體現出了非常大的優勢, 并逐漸成為國內外生物科學及相關學科研究的熱點.近年來, 很多學者采用竹炭、活性炭、棉纖維、疏水性聚氨酯泡沫等材料將微生物固定化后進行廢水處理, 均取得了很好的處理效果(Xin et al., 2015; Ma et al., 2013; Lin et al., 2014; Li et al., 2012).生物炭作為一類新型環境功能材料近年來引起國內外學者的廣泛關注, 它的孔隙結構可以為微生物提供棲息地, 使微生物能夠耐受外界不良環境.
本實驗以低溫菌Pseudomonas flava WD-3為研究對象, 以水稻秸稈為原料, 以采用不同熱解溫度制備的生物炭為固定化微生物載體, 研究生物炭載體對低溫菌Pseudomonas flava WD-3的吸附固定化效果, 并將固定化菌劑應用到垂直流人工濕地的污水處理中, 初步評價其應用于人工濕地污水處理的可行性, 這對于解決我國日益嚴重的水污染和缺水的問題有著十分重要的意義.
2 材料與方法(Materials and mthods)2.1 材料
實驗菌株:菌株Pseudomonas flava WD-3是冬季從南四湖人工濕地的底泥中培養、分離、篩選出來的, 經鑒定為黃假單胞菌(Pseudomonas flava), 命名為Pseudomonas flava WD-3, 基因登陸號為JX114950.該菌株對人工模擬廢水中COD、總磷、氨氮的去除率分別達到62.92%、56.42%、50.63%, 其最佳的生長條件為:培養時間48 h, 溫度16 ℃, pH 6.0~8.0, 鹽度1%, 最佳炭源和氮源分別為蔗糖、蛋白胨.在最佳生長條件下, 該菌株對人工模擬廢水中COD、總磷、氨氮的去除效率分別提高1.20、1.25、1.02倍(唐美珍等, 2013).挑取斜面保存的菌株于富集培養基中活化48 h, 然后在6~8 ℃條件下恒溫振蕩培養約48 h(達對數期).在600 nm波長下, 吸光度為1.0~1.2, 菌懸液的濃度為4.575×108個·mL-1.
菌懸液的制備:將菌株Pseudomonas flava WD-3于LB液體培養基中培養至吸光度為1.2, 于離心機中離心, 棄去上清液, 用生理鹽水稀釋再離心, 如此反復3次, 以去除培養基營養成分; 最后用生理鹽水調節菌株的吸光度為1.2, 備用.
生物炭的制備:水稻秸稈采自山東省濟寧市曲阜市南泉村, 秸稈采回后經自來水洗凈、風干和破碎后, 轉入粉碎機粉碎, 稱取20 g水稻秸稈碎末于坩堝中, 蓋好蓋子并用錫箔紙包裹密封后放入馬弗爐中, 以10 ℃·min-1的升溫速率, 從室溫加熱到不同的溫度(300、500和700 ℃)下炭化3 h, 自然冷卻至室溫后, 密封裝瓶備用;將炭化產物研磨并過60目篩, 用300 mL 1 mol·L-1的鹽酸處理4 h, 以去除炭酸鈣等灰分物質, 過濾, 用蒸餾水洗滌至洗液呈中性后放入80 ℃烘箱中烘24 h, 轉入塑封袋中保存備用, 編號分別為RS300、RS500、RS700(RS代表水稻秸稈, 數字代表炭化溫度).
2.2 生物炭對Pseudomonas flava WD-3的固定化2.2.1 生物炭載體對Pseudomonas flava WD-3的初期吸附
分別稱取不同溫度條件下制備的生物炭載體0.1 g(稱準至0.0001 g)于250 mL的敞口錐形瓶中, 加入Pseudomonas flava WD-3菌懸液35 mL, 將錐形瓶置于恒溫振蕩器(6~8 ℃, 振速為120 r·min-1)中進行振蕩吸附試驗.設置不同時間點:10、30、60、120、300、480、720、1080 min, 于每個時間點取出相對應的錐形瓶, 測定生物炭所吸附的微生物量.每組設置3個平行.生物炭固定化微生物的生物量測定采用磷脂法, 具體參照《飲用水生物處理中微生物量和活性的測定方法》(桑軍強等, 2005).
2.2.2 最佳生物炭載體的選擇
分別稱取不同溫度條件下制備的生物炭載體0.1 g(稱準至0.0001 g)于250 mL的敞口錐形瓶中, 加入35 mL Pseudomonas flava WD-3菌懸液, 將錐形瓶于恒溫振蕩器(6~8 ℃, 振速為120 r·min-1)中振蕩至吸附平衡(吸附平衡時間由2.2.1節所得)后, 測定各種生物炭載體的脫氫酶活性值, 用單位質量微生物脫氫酶活性來評價載體對微生物活性的影響, 并選取活性最好的載體作為微生物固定化載體進行下一步試驗.每組設置3個平行.
2.2.3 生物炭固定化Pseudomonas flava WD-3菌劑的制備
分別稱取1.6、4.0、5.6、8.0 g(稱準至0.0001 g)最佳生物炭載體(由2.2.2節步驟獲得)于500 mL錐形瓶中, 加入Pseudomonas flava WD-3菌懸液280 mL, 在振速120 r·min-1、6~8 ℃條件下振蕩至吸附平衡(吸附平衡時間由2.2.1節所得), 然后用200目的篩子過濾出吸附好Pseudomonas flava WD-3的生物炭, 即菌劑.
2.3 生物炭固定化Pseudomonas flava WD-3對冬季人工濕地污水處理試驗2.3.1 垂直流人工濕地的構建
試驗人工濕地采用垂直流結構設計, 污水由下行池表面均勻投配, 垂直下行, 經土壤層、細砂層、粗砂層和鵝卵石層到達池底部經收集管排出.池深100 cm, 直徑50 cm, 其中, 土壤層25 cm、細砂層20 cm、粗砂層15 cm、卵石層10 cm;投配負荷2~20 cm·d-1, 有機負荷15~20 kg·hm-1·h-1(以BOD5計).濕地結構如圖 1所示.

圖 1垂直流人工濕地
系統所選植物為香蒲(Typha orientalis Presl), 于2014年3月種植于人工濕地反應器中, 種植密度為8株·m-2, 濕地植物生長狀況良好, 已完全遮蓋基質表面, 根系發達, 至實驗時為止, 該系統已穩定運行1年時間.系統進水參數見表 1.
表 1 人工濕地系統進水參數
2.3.2 低溫混合菌對在人工濕地中污水的處理效果
人工濕地系統穩定運行半年后, 于2014年12月初(水溫的變化范圍為6~10 ℃)開始投入生物炭固定化Pseudomonas flava WD-3菌劑(以序批試驗確定的最優菌劑投加), 接種量(m(菌劑)/V(污水))為0.012~0.060 g·L-1, 以未投加固定化菌劑和只投加生物炭的人工濕地為對照組A和對照組B.追蹤測定人工濕地出水中COD、NH4+-N、TN和TP的變化情況, 并構建低溫菌污水處理的一級動力學模型.
2.4 水質指標的測定
溶解氧采用哈希便攜式溶解氧儀測定, CODCr的測定采用重鉻酸鉀氧化法, NH4+-N的測定采用納氏試劑分光光度法, TN的測定采用紫外可見分光光度法, TP的測定采用鉬酸銨分光光度法, 各指標測定的具體操作步驟詳見《水和廢水監測分析方法(第4版)》.
3 結果與分析(Results and analysis)3.1 生物炭對Pseudomonas flava WD-3的吸附動力學
生物炭對Pseudomonas flava WD-3的吸附動力學曲線見圖 2.由圖可知, 3種生物炭的微生物吸附量隨時間變化呈相同趨勢, 即吸附動力學曲線均可分為較陡、較平緩及平緩3段.0~30 min內, 生物炭對Pseudomonas flava WD-3的初期吸附量增加明顯, 吸附量大小順序為:RS700>RS500>RS300, 并于30 min時吸附量達到最大值;30~120 min內, 生物炭對Pseudomonas flava WD-3的吸附量不僅沒有增加, 反而稍有減小的趨勢;120~480 min以后, 生物炭對Pseudomonas flava WD-3的吸附量呈現輕微的增加趨勢, 吸附接近平衡;當吸附時間超過480 min后, 時間的增加對吸附量的影響均不顯著, 表明吸附接近飽和.

圖 2生物炭對Pseudomonas flava WD-3吸附曲線
在吸附前期, 吸附量稍低而吸附速率相當大, 隨著時間的增加吸附量逐漸增加, 達到最大吸附量之后會呈現一定的減小趨勢, 但達到一定時間吸附量增加不明顯, 表明已經達到吸附平衡.在吸附初期, 載體吸附位暴露在顆粒的外表面, 故而吸附速率較快.吸附一段時間后, 表面提供的吸附位被微生物覆蓋而基本達到飽和, 孔道口被微生物覆蓋堵塞, 大量微生物會聚集在生物炭的表面和孔道內, 使得吸附量達到最大值.但隨著時間的增加, 由于微生物個體與生物炭載體表面之間的靜電斥力和菌懸液流動的剪切力作用, 表面未到達生物炭載體吸附位點的微生物便會脫離生物炭從而進入液體環境, 故表現出吸附量下降的趨勢.但隨著吸附時間的進一步延長, 直至載體吸附位被完全占據、吸附微生物的作用力與斥力平衡, 吸附量不再隨時間變化, 達到飽和平衡值.
吸附動力學試驗表明, 生物炭對Pseudomonas flava WD-3吸附3 h之后, 基本完成了初期吸附, 微生物開始新陳代謝并分泌胞外多聚物形成生物膜, 完成微生物的固定化.根據相關文獻(Klein et al., 1990; 杜勇, 2012), 本試驗微生物吸附固定時間選為24 h.
3.2 最佳固定化微生物載體的選擇
微生物經固定化后, 其生理特性、對底物的降解特性發生了變化.因此, 對于固定化微生物載體, 應選擇對微生物活性影響小、活性保持時間長的載體(王建龍, 2003). 3種溫度下制備的生物炭對Pseudomonas flava WD-3固定化后的微生物活性結果見表 2.
表 2 脫氫酶活性值
由表 2可直接看出, 不同溫度炭化的生物炭對Pseudomonas flava WD-3固定化后的脫氫酶活性值大小順序為:700 ℃>500 ℃>300 ℃, 即700 ℃的水稻秸稈生物炭載體中微生物活性最高, 500 ℃的水稻秸稈生物炭載體次之, 300 ℃的水稻秸稈生物炭載體中微生物活性最差.對不同溫度條件下所制備的生物炭固定化的微生物脫氫酶活性與炭化溫度之間進行t檢驗得:t=11.373, t>t0.005(t0.005=4.604), p=0.000, 通過Kolmogorov-Smirnov數據正態分布性檢驗, 漸近顯著性(雙側)為0.150, 數據符合正態分布.由此可知, 不同溫度條件下所制備的生物炭固定化的微生物脫氫酶活性隨炭化溫度的升高而增大.隨著炭化溫度的升高, 生物炭載體對Pseudomonas flava WD-3的固定數量隨之增加, 從而三苯基甲胺的生成量也增加, 即脫氫酶的活性提高.分析其原因可能是由于水稻秸稈熱解溫度的升高, 使生物炭載體表面粗糙度和孔隙率增加, 比表面積、孔容積也隨著增加, 更有利于吸附固定微生物.這與杜勇(2012)的研究結果一致.因此, 本試驗選取700 ℃下制備的生物炭為最佳固定化微生物載體.
3.3 生物炭固定化Pseudomonas flava WD-3對人工濕地污水的處理效果
在水力停留時間5 d內, 水溫為6~8 ℃時, 不同接種量對垂直流濕地中污水的COD、NH4+-N、TN、TP去除效果如圖 3所示.其中, A為未投加生物炭和生物炭固定化Pseudomonas flava WD-3的空白, B為投加未吸附固定Pseudomonas flava WD-3的生物炭空白.

圖 3濕地系統中COD(a)、NH4+-N(b)、TN(c)、TP(d)濃度隨時間的變化
從圖 3可以看出, 生物炭本身對污水中各種污染物有一定的吸附去除效果, 但效率不是很高, 在第5 d時, 投加了空白生物炭(B)的人工濕地出水中COD、NH4+-N、TN、TP的去除率分別為55.83%、65.20%、64.36%、57.06%, 分別為A處理的1.20、1.12、1.10、1.30倍.
但當投加了生物炭固定化Pseudomonas flava WD-3后, 人工濕地污水的去除效果大幅度提高.在0.012~0.060 g·L-1的接種量情況下, 隨著生物炭固定化Pseudomonas flava WD-3投加量的增加, 濕地系統污水中COD、NH4+-N、TN、TP的去除率也隨之增大.當投加量由0.012 g·L-1增至0.060 g·L-1時, 濕地系統各項污水指標去除效果的增幅明顯, 但投加量從0.042 g·L-1增至0.060 g·L-1時, 各項污水指標的處理效果增幅并不明顯.當投加量為0.060 g·L-1時, 雖然各項污水指標去除效果最好, 但投入過大, 從運行成本方面考慮宜選用0.042 g·L-1為最佳固定化菌投加量.
從圖 4可以看出, 在生物炭固定化Pseudomonas flava WD-3投加量為0.042 g·L-1, 水力停留時間5 d內, 水溫為6~8 ℃的條件下, 隨著時間的延長, 固定化Pseudomonas flava WD-3對水質各項指標的去除率逐漸增加, 最終對COD的去除率可達88.71%, 對NH4+-N的去除率可達96.39%, 對TN的去除率可達99.23%, 對TP的去除率可達96.43%, 且各指標去除率分別為A處理的1.90、1.65、1.70、2.20倍, 分別為B處理的1.59、1.48、1.54、1.69倍.同時, 該試驗結果表明, 在人工濕地系統中, 相比游離Pseudomonas flava WD-3, 生物炭固定化Pseudomonas flava WD-3不僅可以大大縮短人工濕地污水處理的水力停留時間, 而且對污水中COD、NH4+-N、TP的去除效果有明顯的提高, 分別為游離菌處理效果的1.03、1.15、1.14倍(唐美珍等, 2014), 且去除性能穩定.其原因可能是:① 生物炭本身能吸附去除污水中一部分污染物;② 生物炭作為低溫微生物固定化的載體, 將Pseudomonas flava WD-3固定后, 有效屏蔽了土著菌的競爭及外界不利因素對Pseudomonas flava WD-3菌體的侵害, 提高了細胞生物的穩定性, 進而提高了污水的處理效果;③ Pseudomonas flava WD-3被生物炭固定化后, Pseudomonas flava WD-3隨著出流水的流失大大減少, 從而提高了污水的凈化效果.

圖 4濕地系統中COD、NH4+-N、TN、TP的去除效率隨時間的變化
3.4 污水處理一級動力學模型
動力學研究可以優化生化處理的工藝條件及調控方式, 并通過建立降解動力學模型, 模擬最適當的工藝流程和工藝參數, 預測微生物降解廢水的趨勢.濕地設計通常采用的是一級動力學模型, 其基本設計方程在澳大利亞、歐洲、美國被廣泛應用于濕地設計和對濕地污染物去除效果的預測.雖然有局限性, 但由于其參數的求解及計算過程都很簡單, 因此, 目前仍把它作為描述濕地中污染物去除過程的最合適的方程.
用于濕地的一級動力學方程, 主要考慮處理負荷與處理效率之間的關系, 模型的推導以基質的降解服從一級反應動力學為基礎.污染物在人工濕地中的降解去除一級動力學模式為(Kadlec, 2000; 王小曉等, 2013):
式中, kv為污染物體積去除速率常數(d-1);Ci為進水濃度(mg ·L-1);Co為出水濃度(mg ·L-1);t為水力停留時間(d).
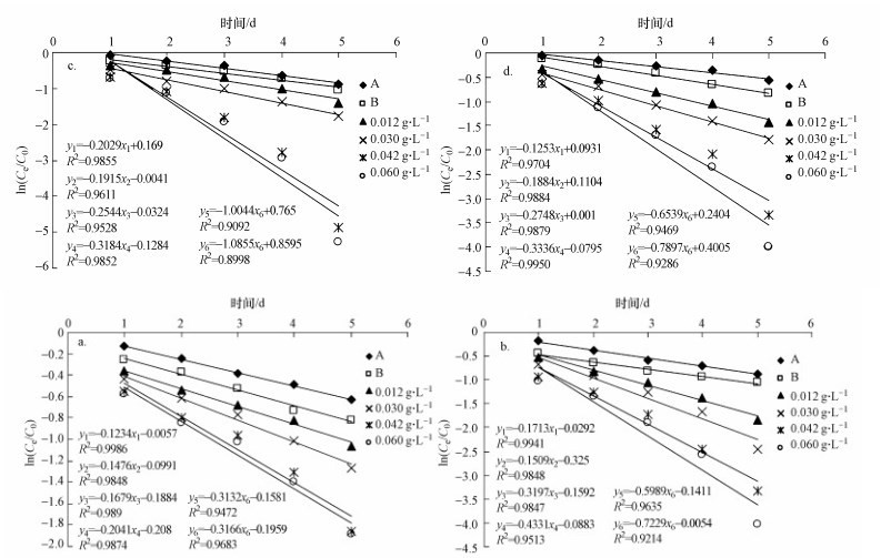
根據以上動力學模型, 將不同投菌量時污染物在濕地系統的出水濃度記作Ce(水力停留時間5 d內), 進水濃度記作C0, 以ln(Ce/C0)為縱坐標, 以時間t為橫坐標, 繪制CODCr、NH4+-N、TN和TP的時間變化曲線, 結果如圖 5所示(圖中x1~x6分別表示A、B、0.012、0.030、0.042、0.060 g·L-1投菌量下的時間).同時, 將各投菌量在水力停留時間第5 d時的COD、NH4+-N、TN和TP測定結果代入式(2), 計算出的kv如表 3所示.

圖 5不同投菌量時污染物濃度隨時間的變化特點(a.COD, b.NH4+-N, c.TN, d.TP)
表 3 人工濕地中污染物的去除一級動力學速率常數kv
通過對不同投菌量時人工濕地中各污染物的變化規律進行分析后可以看出, 投加了生物炭固定化Pseudomonas flava WD-3的人工濕地污水中, COD、NH4+-N、TN和TP的降解過程符合一級動力學模型.
體積去除速率常數kv的大小代表著污染物降解速率的大小, 在水力停留時間5 d內, 投加了生物炭固定化Pseudomonas flava WD-3的人工濕地中各污染物有著較大的降解速率, 且隨著生物炭菌劑投加量的增加, 人工濕地污水中COD、NH4+-N、TN和TP的降解速率也隨之增加, 各自kv的R2分別達0.91、0.97、0.99和0.98.具體參見污水寶商城資料或http://www.xhxdt.com更多相關技術文檔。
4 結論(Conclusions)
1) 水稻秸稈生物炭最佳熱解溫度為700 ℃, 對Pseudomonas flava WD-3的吸附固定化時間為24 h.
2) 生物炭固定化Pseudomonas flava WD-3對冬季人工濕地的污水具有良好的凈化效果, 綜合運行成本方面考慮宜選用0.042 g·L-1為最佳固定化菌的投加量.在最佳投加量(0.042 g·L-1)的情況下, 固定化Pseudomonas flava WD-3對污水中COD、NH4+-N和TP的去除效率有明顯提高, 分別為游離菌處理效果的1.03、1.15、1.14倍, 且去除性能穩定.
3) 投加了生物炭固定化Pseudomonas flava WD-3的人工濕地污水的COD、NH4+-N、TN和TP降解過程符合一級反應動力學模型.





