近年來,世界范圍內的地下水污染日趨嚴重,其中硝酸鹽氮的污染不斷加劇。因硝酸鹽氮在水和土壤中的高溶解性和遷移性以及生活污水和工業廢水的直接排放、含氮化肥的大量使用、污水灌溉以及畜禽糞便和其他含氮固廢的淋濾下滲,使得地下水中硝酸鹽氮濃度不斷增加,2006—2012年,河北省地下水中硝酸鹽氮平均含量增加了46.42%。硝酸鹽氮可在人體中轉化,直接、間接地危害人體健康,因此研究地下水中硝酸鹽氮的脫除具有重要意義。目前所采用的離子交換、電滲析、反滲透等處理技術,因運行費用高、操作復雜、需后處理,而受到限制;單質鐵化學還原法脫氮技術,因需調節水質pH反應條件難以控制,且伴有副產物氨氮生成,而無法推廣應用;生物反硝化脫氮因地下水中缺乏碳源,而無法滿足脫氮要求;利用投加液態碳源進行反硝化脫氮,因投加量難控會導致出水有機物風險;利用人工合成聚合物固態碳源進行反硝化脫氮,因成本高、對溫度和pH要求高、需額外投加微量元素克服其化學成分單一性而難以實施;利用天然生物質進行反硝化脫氮,會出現生物可利用性低、反硝化效率低、亞硝酸鹽氮積累等問題;利用Fe0與棉花組合,雖可有效降低水中硝酸鹽氮濃度,但無法克服Fe0的鈍化影響。目前,水體脫氮研究多集中在為生物反硝化提供更佳的碳源或將生物與化學多種方法組合等。
本研究利用自制微電解化學催化顆粒與天然生物質制成耦合生物載體,將化學還原與生物反硝化相結合高效脫氮,通過研究耦合生物載體脫氮的可行性和穩定性,以及反應器中微生物群落結構,探究其脫氮機制,為地下水硝態氮脫除提供理論依據和技術指導。
1 實驗材料和方法
1.1 實驗材料
自制微電解化學催化固體顆粒以鐵、碳、多元催化劑為主要原料燒制而成[8,16],如圖1(a)所示,其直徑10~20 mm,比重1 200 kg·m−3,比表面積32.017 m2·g−1,孔隙率46%,物理強度≥600 kg·cm−2。粗糙多孔,利于傳質及微生物附著,并且可發生原電池反應還原硝酸鹽氮。天然生物質絲瓜絡含有79.5%左右的纖維素、13.6%左右的木質素,在水中可分解產生多糖或單糖等小分子糖類,為微生物提供一定的營養。將絲瓜絡經水洗風干后切割成50~100 mm,并于40 ℃烘干,與微電解化學催化固體顆粒組合制成如圖1(b)所示的耦合生物載體。
圖1 自制微電解化學催化固體顆粒與天然生物質耦合生物載體
1.2 實驗裝置
實驗裝置見圖2。反應器采用有機玻璃材料制成,高度為2 000 mm,好氧反應器直徑100 mm,底部安裝有曝氣頭;厭氧反應器直徑110 mm;耦合生物載體填充深度(1 630±10) mm;反應器每隔400 mm設1個取樣口,共設8個。反應器均采用逆流下進上出的進水方式連續運行,通過進水計量泵來控制流速。
圖2 反應裝置
1.3 實驗用水
實驗水質參照華北地區中度污染的地下水水質,使用KNO3、NH4Cl和NaNO2進行配制,如表1所示。本研究所用化學藥品均為分析純。
表1 實驗用水水質指標(均值±標準差)
1.4 水質指標分析及方法
各水質指標分析方法均參考《水和廢水監測分析方法》中的方法。硝酸鹽氮、亞硝酸鹽氮、氨氮分別采用紫外分光光度法、N-(1-萘基)乙二胺分光光度法和納氏試劑分光光度法,紫外-可見分光光度計為UV 2102C(UNICO company; USA);pH采用梅特勒-托利多實驗室pH計進行測定;DO采用YSI便攜式溶解氧儀進行測定。微生物群落分析,采用文獻中的方法進行。
2 結果與討論
2.1 反應器的啟動
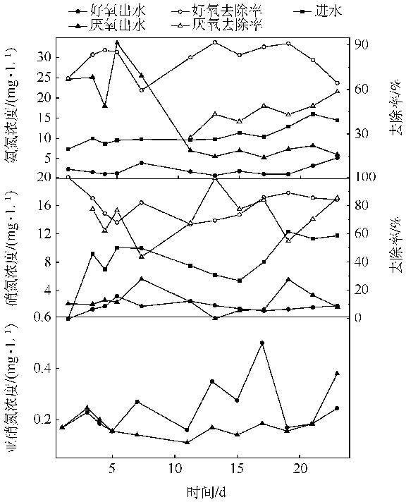
實驗初期采用接種污泥的方式對反應器進行微生物掛膜培養,控制進水NO3−-N濃度(8.53±2.39) mg·L−1,NH4+-N濃度(10.35±1.96) mg·L−1,pH=6.89±0.80;水力停留時間(HRT)為20 h;好氧反應器溶解氧(DO)濃度為3.0 mg·L−1,厭氧反應器DO<0.1 mg·L−1。連續運行出水水質指標變化如圖3所示。
反應器運行初期,厭氧反應器出水氨氮濃度高于進水且有60%左右的硝酸鹽氮得到去除,表明初期硝酸鹽氮的還原主要是化學催化固體原電池反應的結果,并伴有氨氮的生成。隨掛膜培養時間的延長,硝酸鹽氮的去除率有所增加,且未出現亞硝酸鹽氮的積累,出水氨氮的濃度也明顯降低,由25.32 mg·L−1降到7.00 mg·L−1以下,說明厭氧反應器內硝酸鹽氮的還原由化學作用逐漸轉為以微生物反硝化作用為主。天然生物質分解的小分子物質為微生物掛膜生長、生物反硝化提供了有效碳源,縮短了反應器的啟動時間。好氧、厭氧反應器整體啟動較為迅速,在15 d左右硝酸鹽氮去除率分別達到87.5%和77.4%,表明掛膜成功,并在20 d逐步提升進水硝酸鹽氮濃度以適應模擬地下水的水質。
圖3 反應器啟動期氮素的濃度變化
2.2 反應器的穩定運行
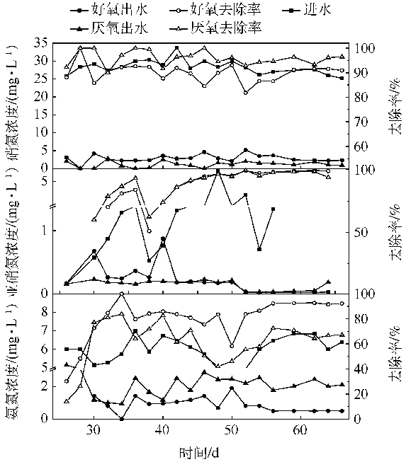
反應器掛膜培養成熟后穩定運行25~66 d,處理水質NO3−-N濃度為(29.54±1.97) mg·L−1,NH4+-N濃度(5.79±1.50) mg·L−1,pH=7.71±0.34,HRT=20 h,好氧反應器DO=3.0 mg·L−1,厭氧反應器DO<0.1 mg·L−1,水質變化見圖4。由圖4可知,好氧反應器的硝酸鹽氮平均去除率為91.24%,平均出水濃度為2.539 mg·L−1;厭氧反應器的硝酸鹽氮平均去除率為96.32%,平均出水濃度為1.036 mg·L−1。2個反應器都表現出較高的硝酸鹽氮去除效率。分析原因主要是自制微電解化學催化固體顆粒與天然生物質耦合生物載體,將化學催化還原與生物自養、異養反硝化進行耦合的結果,充分利用自制微電解化學催化固體顆粒的原電池反應還原硝酸鹽氮,同時為生物體系中自養反硝化菌提供所需的電子;利用天然生物質絲瓜絡為異養反硝化菌提供必要的生長繁殖所需的有限有機物,實現聯合高效脫氮。在整個反應體系中,細菌可以利用氫化酶加速催化固體顆粒的鐵腐蝕,同時鐵元素為微生物生長繁殖及酶輔基提供必要的微量元素,原電池反應過程中所產生的鐵離子可提高生物脫氫酶等酶系的活性]。原電池反應、自養脫氮、異養脫氮三者協同作用的脫氮效果明顯優于單一過程。此外厭氧反應器的pH(7.55~8.18)與好氧反應器的pH(8.25~8.57)都有利于硝酸鹽氮的還原,為反硝化細菌提供更多的電子供給。CHENG等研究發現增加緩釋碳源可以促進脫氮效率尤其是反硝化脫氮。
圖4 反應器處理模擬地下水中氮素的濃度變化
主要反應原理見式(1)、(2):
NO3−+5H(電子供體)→1/2N2+2H2O+OH−(1)
6NO3−+C(有機磷)→3N2+6CO2+2H2O+6OH−(2)
反應器運行的50~66 d,2個反應器出水亞硝酸鹽氮濃度均低于0.05 mg·L−1,達到了世界衛生組織對飲用水中0.91 mg·L−1的要求。此外,氨氮在好氧反應器中平均去除率為92.63%,平均出水濃度低于0.5 mg·L−1,達到了飲用水中氨氮0.5 mg·L−1的濃度要求,表明在好氧條件下硝化細菌活性高,能充分利用氨氮,并解決了化學原電池反應生成氨氮影響出水水質的問題,對模擬受污染地下水中低濃度氨氮有較好的去除效果;而在厭氧反應器中的平均去除率為68.32%,明顯低于好氧反應器,分析原因是厭氧反應器內缺乏硝化作用功能菌,僅靠微生物同化作用去除氨氮的效率相對較低,但有研究發現厭氧環境下部分微生物也具有氨氧化能力,也有報道稱發現異養硝化菌在完全厭氧條件下可發生硝化作用。具體聯系污水寶或參見http://www.xhxdt.com更多相關技術文檔。
2.3 反應器運行的影響因素
2.3.1 HRT的影響
HRT是影響固態碳源反硝化的一個重要因素,HRT越長越利于水解酶分解產生可利用碳源;但是HRT過長,能耗高、不經濟。因此,在2.2節中所述反應器穩定運行的條件下對HRT進行優化,好氧反應器選定9個水平HRT進行實驗,分別為6、8、9、10、11、12、13、20和26 h;厭氧反應器的HRT分別為9、10、11、12、13、14、14.5、15和16 h。結果見圖5和圖6。
圖5 不同HRT下好氧反應器中總氮的去除率
圖6 不同HRT下厭氧反應器中總氮的去除率
由圖5和圖6可知,反應器硝酸鹽氮的去除率隨HRT的延長而增大并逐漸趨于穩定。說明隨著HRT的延長,水中的氮素物質能夠與反應體系中的各種微生物間充分地傳質、接觸、反應,且有機質充分水解提供充足的電子供體,此時HRT不再是反硝化的限制因素,繼續延長HRT,對反硝化作用提高不明顯。為使出水硝酸鹽氮濃度達到《地下水質量標準》(GB/T 14848-2017)的Ⅱ類及以上,好氧反應器適宜的HRT為12 h;厭氧反應器為14 h。
2.3.2 DO對好氧反應器的影響
在2.2節中所述反應器穩定運行的條件下及2.3.1中最佳的HRT工況下,控制好氧反應器DO分別為(1.0±0.3)、(2.0±0.3)、(3.0±0.3)、(4.0±0.3)、(5.0±0.3)和(6.0±0.3) mg·L−1。結果見圖7。由圖7可知,DO<2 mg·L−1或DO>4 mg·L−1都會使好氧反應器的總氮去除率降低。DO濃度高時相應的曝氣強度大,會導致水中的剪切力增大,使生物膜的脫落速度大于生物膜的生長速度;過大的曝氣強度還會使水流的紊動加劇,紊動的水流會將載體上的生物膜沖刷下來,導致微生物的總量減少,還會影響出水水質。在氧氣存在的條件下,反硝化細菌優先選擇氧而不是硝酸鹽氮作為電子受體,只有分子氧被耗盡,脫氮微生物才能開始利用硝酸鹽氮;并且體系中有較強的還原能力的鐵極易被氧化而降低其還原活性。DO濃度偏低時,導致硝化細菌的呼吸作用受抑制,因而影響其對氨氮的去除效果,進而降低了總氮的去除效率。為保證整個工藝的高效脫氮,硝化作用、反硝化作用都能夠較好的發揮各自功能,DO應控制在2.0~3.0 mg·L−1。該濃度范圍適合于淺層含氧的地下水修復。
圖7 不同DO濃度下好氧反應器出水中各氮素變化及總氮去除率
2.4 厭氧反應器與好氧反應器串聯運行
好氧反應器反硝化速率略低,厭氧反應器去除氨氮有限,為克服好氧反應器和厭氧反應器單獨運行的不足,將厭氧反應器與好氧反應器串聯,進水水質見表1,HRT=12 h,好氧反應器DO=2.0 mg·L−1,厭氧反應器DO<0.1 mg·L−1,室溫22~25 ℃下穩定運行43 d。實驗結果見圖8。由圖8可知,最終出水硝酸鹽氮的平均濃度為1.231 mg·L−1,達到《地下水質量標準》(GB/T 14848-2017)的Ⅰ類標準要求,且沒有亞硝酸鹽氮和氨氮的積累。表明串聯運行方式能在更短的HRT及較少的曝氣量下實現更高的總氮去除率,出水總氮濃度(2.090 mg·L−1)低于單獨運行時的好氧反應器(總氮濃度3.063 mg·L−1)和厭氧反應器(總氮濃度3.348 mg·L−1)。因此,利用厭氧反應器中反硝化作用去除硝酸鹽氮,好氧反應器中的硝化作用去除氨氮,有利于反應器發揮各自優勢,實現更高效率的脫氮效果。
圖8 串聯運行氮素的濃度變化
2.5 反應器內耦合生物載體中微生物分布及耦合機理
為進一步驗證反應器中高效脫氮的耦合作用,從反應器中取出部分載體均分為A、B、C 3組,其中A組不做處理,為耦合生物載體;B組將微電解化學催化載體取出,為單獨的生物質及其內部微生物;C組相反,將生物質取出,為單獨的微電解化學催化載體及其內部微生物。將A、B、C 3組分別模擬好氧反應器和厭氧反應器的最佳運行條件及實驗水質條件(見表1),結果見表2。
表2 驗證耦合作用的燒杯實驗
由表2可知,分離后的B、C對硝酸鹽氮的去除率明顯低于耦合載體A,且有氨氮、亞硝酸鹽氮積累現象,表明在生物膜與化學載體耦合的作用下有良好的脫氮效果,原電池反應產生的微電場可以刺激增加微生物酶活性,同時微生物對化學催化載體有一定的表面更新作用,相互促進;B對硝酸鹽氮的去除效率約為C的2倍,表明耦合體系中異養反硝化作用占主導,約為反硝化作用的2/3,形成以異養反硝化為主、自養反硝化及化學反應為輔的脫氮體系。
如圖9所示,占優勢的菌如Sulfuritalea、Thiobacillus、Ferritrophicum、Denitratisoma等都具有反硝化功能,與報道相一致。WANG等的研究發現固態有機物與ZVI組合有協同作用,王蘇艷[33]也發現Fe2+和碳源有協同作用促進反硝化。此外鐵是生物氧化酶系統中細胞色素的重要部分,且Fe2+和Fe3+的氧化還原反應中電子傳遞可以促進生化反應速率。由于生物質分解、發酵產酸(HCO3−和CO2)可中和反硝化過程產生的堿度及微電解化學催化固體原電池反應產生的氫氧根,反應器出水pH在保持在7.5~8.6,適宜微生物生長繁殖,利于反硝化過程穩定順利進行,且自呈緩沖體系,無需外加緩沖劑。在2個反應器內實現化學與生物相耦合的反硝化過程,此外好氧反應器中還實現了同步硝化反硝化,對模擬受污染地下水的脫氮有突出效果。
圖9 反應器中8個樣品在屬水平的相對豐度
3 結論
1)自制微電解化學催化固體顆粒與天然生物質絲瓜絡制成耦合生物載體將化學反應與生物膜耦合,在實驗室反應器中實現了地下水模擬水質硝酸鹽氮的高效脫除,并使其達到了《地下水源質量標準》(GB/T 14848-2017)的Ⅰ類標準,且無亞硝酸鹽氮和氨氮積累。
2)好氧、厭氧反應器的最佳水力停留時間分別為12 h和14 h;溶解氧偏高、偏低都限制好氧反應器的脫氮效果,在2.0~3.0mg·L−1達到最佳;將厭氧反應器與好氧反應器串聯,出水總氮濃度最低為2.090 mg·L−1,效果最好。
3)硝酸鹽氮的脫除是自制微電解化學催化固體顆粒與天然生物質絲瓜絡的耦合作用結果,且系統具有pH緩沖作用,可使其處在有利于硝態氮脫除的狀態。因而此技術對脫除地下水中硝酸鹽氮是高效、可行的,為地下水深度脫氮提供了新工藝、新思路。(來源:環境工程學報 作者:李德生)












