在污泥處理中,將污泥焚燒時所產生的熱量用于污泥干化,能夠大幅節約能源的消耗,提高能源利用效率。在進行污泥干化時,污泥中的初始含水率以及干化后的目標含水率是決定能源消耗大小的關鍵所在。污泥干化焚燒系統作為污泥干化和焚燒的重要設備,其在運行過程中會受到諸多因素的影響,這些因素在波動過程中也會影響其運行模式,進而影響系統對能耗的節約效果。因此,有必要對污泥干化焚燒系統的相關運行模式進行深入的研究,以此探尋最佳的污泥干化焚燒運行模式,最大限度的發揮節能降耗優勢。
1、污泥干化焚燒系統介紹
在污泥干化焚燒系統中,主要分成污泥干化單元和熱能利用單元兩個部分組成,該系統在進行污泥干化時,為防止污泥黏滯在輸送管道的內表面,需要先將絕大部分的濕污泥利用污泥干化機進行干化,待濕污泥干化至指定的含水率時,再將其與剩余部分的濕污泥進行混合,然后共同送入到焚燒爐中進行燃燒。此時,熱能利用單元便會將焚燒爐燃燒時所產生的熱量輸送到污泥干化單元來進行利用。
2、污泥干化焚燒系統的平衡模型構建
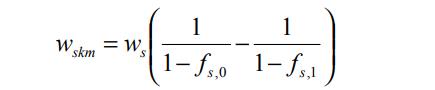
為了分析污泥干化焚燒系統的運行工況,本文構建了該系統的能量及物料平衡模型,將進量一定條件下,對污泥進行干化時所需蒸發的水分流量利用公式表示為:

在該公式中,蒸發水分的流量由wskm表示,污泥經干化后所具有的含水率則由fs•1表示。對這些水分進行蒸發所需的能量可由公式表示為:

在該公式中,干化機出口位置的污泥溫度由ts,1表示。污泥在干化時,其載氣用量是由排氣溫濕度所決定的,應確保排氣中的濕空氣不會在管道結露,干燥時消耗的載氣量可由以下公式表示,即:

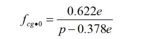
在該公式中,干化機的入口和出口位置的載氣量所含有的濕度分別由fcg•0與fcg•1表示,載氣含濕量可通過以下公式表示,即:

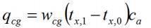
在該式中,大氣壓和蒸汽壓分別由p與e進行表示。干化機出口的載氣量所帶走的熱量可由以下公式表示,即
,其中,干化機入口位置和出口位置的載氣溫度分別由tx,0與tx,1表示。污泥在干化到指定的含水率時,其所消耗的熱量由以下公式表示,即
,該公式中待干化污染的流量由ws•2表示,干化機所需消耗的能量則由以下公式表示,即:
,由以上公式可得出污泥在干化焚燒時的能量平衡模型,即
,在該公式中,污泥在進入焚燒爐時的物理顯熱由qts表示,一次與二次風的顯熱由qx表示,焚燒爐中的蒸氣能由qst表示,煙氣中含有的能量由qh表示,可燃氣未完全燃燒時所具有的能量由qth表示,排灰渣顯熱及可燃因體未完全燃燒時所具有的能量分別由qash與qasht表示,焚燒爐的熱能損失量由qg表示。
3、污泥干化焚燒系統的運行策略
(1)污泥含水率的控制。從污泥干化焚燒的能量平衡模型可以了解到,污泥含水率超過60%時,如果不在爐內投入輔助燃料,爐內溫度是無法達到850℃以上的,這也造成余熱鍋爐難以產生足夠壓強的高溫煙氣與足夠溫度的飽和蒸汽。根據焚燒爐的能量平衡關系,可以推斷出在不使用任何輔助燃料時,污泥在入爐前所具有的不同含水率,與之對應的理論床溫,并可找出爐溫在達到850℃以上時的污泥含水率。
(2)運行負荷的控制。據實踐表明,如果入爐污泥的含水率控制在60%左右時,則其干化后的含水率可達到40%,其運行負荷會呈現出70%至120%的波動幅度,當增加污泥處理量時,則所消耗的能量及焚燒時的能量會進行線性增加,不過其干化時的能耗要更大。如果系統以低于預期負荷的方式進行設計,需少量補充能量至干化系統中,如果系統以高于預期負荷的方式進行設計,則需相應增加干化系統中的能量補充。在分析過程中,需把波動負荷在干化與焚燒兩個單元上進行分攤,在確保入爐污泥的含水率控制在60%的前提下,根據運行負荷與設計值的實際對比情況來調節干化系統中的能量補充,這樣便可最大限度的減少干化系統對能量的需求量。
(3)污泥熱值的控制。在污泥干化焚燒系統運行過程中,污泥在進廠時其泥質會因各種因素而發生變化,這種變化體現在污泥熱值給系統運行效率所造成的影響。依據上文中的能量平衡模型可知,如果系統按照設計中的規定進行污泥處理時,則污泥熱值的波動范圍在20%以內,當增加污泥熱值時,則其焚燒過程中產生的熱能會進行線性增加,考慮到污泥熱值不會對干化過程的能量損耗有較為明顯的影響,因此對干化系統的能量補充也會隨之降低,如果污泥在進廠時其熱值比設計值要低,則當污泥在入爐時的含水率是60%時,應在爐內添加輔助燃料。
4、結語
總而言之,本文通過對污泥干化焚燒系統進行了介紹,并分析了其能量平衡模型,進而明確了影響污泥干化焚燒系統的相關因素,針對這些影響因素提出了對應的運行策略,從而確定了污泥干化焚燒系統的最佳運行條件應是入爐污泥的含水率應控制在60%以內,并且爐內溫度應達到850℃時,方可起到最好的節能降耗效果。(來源:浙江物華天寶能源環保有限公司)


