印染行業產生的廢水中含有大量有機染料和重金屬等有毒有害物質,對人類的生存環境構成了極大的威脅,因此有效分離印染廢水中有害物質具有很重要的研究價值。目前,已有的印染廢水處理工藝中,膜分離法因為能耗低、操作簡便以及處理效率高等優勢,具備很大的開發應用潛力。超濾技術是膜分離法中廣泛使用的一種過濾手段,以多孔性超濾膜為介質,利用壓差有效截留廢水中的納米固體顆粒,起到凈化水質的作用。超濾膜材料作為超濾技術的核心部件已經成為工業界和學術界關注的焦點,經歷了從最早開發的纖維素膜到多種新型的陶瓷、金屬氧化物、復合材料膜以及高分子聚合物膜的發展歷程。近年來,對外界刺激有響應性的智能膜的開發成為一大研究熱點。智能膜的孔徑、孔隙率、表面性質以及膜通量會隨著環境刺激如溫度、離子強度、pH等因素而發生改變,拓寬了超濾膜技術在處理廢水方面的應用。
溫度響應性膜的性能會在最低共溶溫度(LCST)或者最高共溶溫度(UCST)發生變化。聚(N-異丙基丙烯酰胺)(PNIPAM)是目前最具代表性的溫敏性高分子材料之一,其LCST為32℃。當溫度高于LCST時,聚合物鏈收縮,聚合物的形態、顏色、溶解度和黏度等發生變化。而當環境溫度低于LCST時,分子鏈伸展,體積發生膨脹。
目前,文獻中還未曾報道過以球形聚合物刷制備PNIPAM型溫敏超濾膜的研究。本實驗以聚(N異丙基丙烯酰胺)@聚苯乙烯(PNIPAM@PS)球形聚合物刷為主體,Cd(OH)2納米線作為犧牲層,聚碳酸酯(PC)膜作為支撐層,過濾制備得到具有溫度響應性的PNIPAM@PS超濾膜。本文用含有甲基藍(MB)染料、羅丹明B(RhB)染料及CdSe重金屬顆粒的廢水作為研究對象,系統考察了PNIPAM@PS超濾膜在不同溫度、PNIPAM鏈長、PS核粒徑、操作壓力下的過濾效果。PNIPAM@PS超濾膜的孔徑可調節性使其可以用來精確分離廢水中的納米顆粒。
1、實驗材料和方法
1.1 材料
N-異丙基丙烯酰胺(NIPAM)、氯化鎘(CdCl2)、羅丹明B(RhB)及甲基藍(MB)均購買于Aladdin公司;苯乙烯(St)及乙醇胺(NH2CH2CH2OH)購買于國藥集團化學試劑有限公司;CdSe重金屬顆粒購買于Nanogen公司;十二烷基苯磺酸鈉(SDS)購買于TCI公司;過硫酸鉀(KPS)購買于Adamas公司;聚碳酸酯(PC)膜購買于Millipore公司。其中苯乙烯通過減壓蒸餾提純后置于4℃冰箱中保存待用,其他試劑購買后直接使用。
1.2 實驗設備與分析儀器
本實驗采用動態光散射儀(DLS,NICOMPTM380ZLS型)測量PS核及PNIPAM@PS球形聚合物刷的粒徑;掃描電子顯微鏡(SEM,S-8010型)觀察Cd(OH)2納米線及PAA@PS超濾膜的表面形貌;紫外分光光度計(UV-Vis,UV-2550型)測量甲基藍及羅丹明B染料濾液的濃度;原子熒光光譜儀(PL,F-7000型)測量CdSe重金屬顆粒溶液的濃度;傅里葉變換紅外光譜儀(FT-IR,Ceary630型號)分析超濾膜表面聚合物的分子結構。
1.3 實驗方法
1.3.1 PNIPAM@PS球形聚合物刷的合成
PNIPAM@PS球形聚合物刷的制備過程如圖1所示。本實驗利用Schotten-Baumann反應合成光引發劑2--乙二醇-甲基丙烯酸酯(HMEM),隨后,采用如下方法合成PNIPAM@PS球形聚合物刷:(1)乳液聚合法合成PS核。準確稱取6.0g苯乙烯(st)單體,0.12g十二烷基磺酸鈉(SDS),0.36g過硫酸鉀(KPS),150ml去離子水于250ml三口燒瓶中,調節攪拌速率至300r/min,將5.4g光引發劑HMEM的丙酮溶液(光引發劑與丙酮質量比為1:8)加入恒壓滴液漏斗中以0.50ml/min的速率緩慢滴加到反應體系中。滴加完畢后,保持反應溫度80℃,氮氣保護,避光反應2h。反應結束后,將所得產物通過去離子水透析,直至去離子水的電導率恒定。透析結束,得到PS核乳液。(2)在上述PS核表面均勻接枝PNIPAM鏈。稱取10gPS核乳液,將其稀釋至1.0%(質量分數),再加入0.3%(質量分數)的NIPAM單體,氮氣保護,避光反應2h。反應結束后將所得產物置于去離子水中透析,透析結束,得到粒徑均一的PNIPAM@PS球形聚合物刷。

1.3.2 PNIPAM@PS超濾膜的制備方法
PNIPAM@PS超濾膜的制備過程如圖2所示。配制4.0mmol/L氯化鎘(CdCl2)水溶液和0.80mmol/L乙醇胺(NH2CH2CH2OH)水溶液,將上述兩種溶液等體積混合后置于磁力攪拌器上劇烈攪拌10min,靜置30min,得到Cd(OH)2水溶液。將PC膜作為支撐膜覆蓋在漏斗上,準確量取10mlCd(OH)2水溶液在0.080MPa下抽濾,得到Cd(OH)2納米線薄層。

在上述Cd(OH)2納米線薄層上抽濾10mlPNIPAM@PS球形聚合物刷水溶液(50μg/ml),隨后抽濾10ml稀鹽酸(10mmol/L)溶解Cd(OH)2納米線,得到PNIPAM@PS超濾膜。
1.3.3 測量膜通量實驗
膜通量與截留率為表征膜分離性能的兩個主要參數。量取10ml純水加入過濾裝置中,測量PNIPAM@PS超濾膜的膜通量。通過紅外燈加熱調節超濾膜的溫度,測量不同溫度下的膜通量。每個樣品測量三次,取平均值作為所測膜的膜通量。測量廢水的膜通量實驗方法同上。膜通量由式(1)計算得到

式中,J是膜通量,L/(m2•h);V是過濾純水體積,L;S是有效過濾面積,m2;t是過濾時間,h。本實驗使用的PC膜的孔徑為100nm,直徑3.9cm,孔隙率為5%,S=0.598cm2。
PNIPAM@PS超濾膜對廢水中染料及重金屬顆粒的過濾性能可通過截留率進行表征。使用紫外分光光度計測量濾液中染料濃度,原子熒光光譜儀測量CdSe重金屬顆粒的濃度。截留率計算公式為

式中,Cf是原溶液中有效組分的濃度,mg/L;Cp是濾液中有效組分的濃度,mg/L。
2、結果與討論
2.1 PNIPAM@PS超濾膜的表征
利用SEM和FT-IR對PNIPAM@PS超濾膜的表面形貌和表面官能團進行表征。Cd(OH)2納米線薄層的SEM圖如圖3(a)所示,圖3(b)、(c)分別為PNIPAM@PS超濾膜的紅外光譜圖和SEM圖。從圖3(a)可以看出,致密的Cd(OH)2納米線薄層較好地覆蓋在100nm孔徑的PC膜表面,使PNIPAM@PS球形聚合物刷能平鋪在Cd(OH)2納米線薄層上層成膜。圖3(b)的紅外光譜顯示,1650cm−1處的吸收峰歸屬為N-異丙基丙烯酰胺中CO的伸縮振動峰(酰胺Ⅰ帶),1543cm−1處的吸收峰歸屬為N—H的彎曲振動峰(酰胺Ⅱ帶),表明PNIPAM@PS球形聚合物刷是超濾膜的主體結構。圖3(c)是PNIPAM@PS球形聚合物刷成膜后的表觀形貌圖,從圖中可以看出,PNIPAM@PS球形聚合物刷緊密貼合在基板PC膜表面,制備得到的超濾膜表面平整而規則。

2.2 PNIPAM@PS超濾膜對溫度的響應性
通過動態光散射實驗(DLS)考察PNIPAM@PS球形聚合物刷的溫度響應性,其結果如圖4(a)所示。

PS核粒徑為43nm,其大小不隨溫度的變化而改變。當溫度分別為30℃和35℃時,PNIPAM@PS球形聚合物刷的粒徑分別為93和55nm,取決于PNIPAM鏈的分子間氫鍵作用與疏水作用相對強弱。當溫度低于PNIPAM鏈的LCST(32℃)時,高分子鏈與水分子間形成氫鍵,分子鏈伸展,聚合物刷的粒徑較大;當溫度高于PNIPAM鏈的LCST時,分子鏈的疏水收縮作用使得聚合物刷粒徑減小。同時,粒徑變化也證明PNIPAM鏈成功接枝于PS核上。
PNIPAM@PS超濾膜的溫度響應性還表現在親疏水性上。圖4(b)、(c)是不同溫度下超濾膜的水接觸角實驗結果。當溫度低于32℃時,PNIPAM鏈上的酰胺基團之間通過氫鍵作用使分子鏈呈現溶脹伸展狀態,從而使得PNIPAM@PS超濾膜表現出親水性,水接觸角為66o;當溫度達到35℃后,PNIPAM鏈呈現收縮狀態,水接觸角變為96o,說明超濾膜表面是疏水狀態。上述實驗結果證明PNIPAM@PS超濾膜具有溫度響應性,同時膜的親疏水性可以通過溫度進行調節。
PNIPAM@PS超濾膜的溫度響應性也可以通過純水通量實驗加以驗證。圖5為超濾膜在不同溫度下對純水的膜通量曲線,純水通量由式(1)計算得到。PNIPAM鏈在35℃收縮,PNIPAM@PS超濾膜的孔徑變大,水分子通過膜的阻礙作用減小,膜通量增大,平均膜通量達到685L/(m2•h)。當溫度降到30℃時,PNIPAM鏈溶脹伸展,PNIPAM@PS超濾膜的孔徑變小,平均膜通量也相應減小為489L/(m2•h)。反復調節溫度,PNIPAM@PS超濾膜的膜通量可以進行可逆調控。與文獻中報道的超濾膜的膜通量相比較,PNIPAM@PS超濾膜具有明顯的優勢。

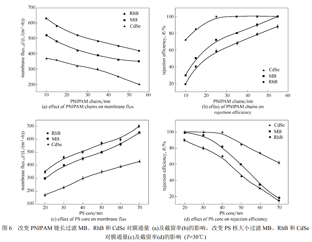
2.3 不同PNIPAM鏈長及PS核粒徑的過濾性能
為了考察PNIPAM@PS球形聚合物刷的尺寸對過濾效果的影響,本實驗制備了具有不同粒徑的PS核以及不同PNIPAM鏈長度的PNIPAM@PS球形聚合物刷。如圖6(a)所示,固定PS核粒徑為43nm,當PNIPAM鏈長從10nm變化到55nm時,膜通量由523L/(m2•h)減小到354L/(m2•h)。從圖6(b)可以看出,PNIPAM@PS超濾膜對廢水中MB染料的截留率從31%增加到100%,這是由于PNIPAM鏈長度增加,高分子鏈之間的纏繞程度增強,使得形成網絡的孔徑減小,膜通量減小,截留率增加。固定PNIPAM鏈長為25nm,當PS核粒徑從20nm增加到70nm時,膜通量由302L/(m2•h)上升至658L/(m2•h),超濾膜對廢水中MB染料的截留率從100%減小為19%。核間空隙與PS半徑呈正比,導致超濾膜的孔徑隨PS粒徑尺寸增大而增大。

除染料MB之外,本實驗還考察了RhB染料和CdSe重金屬顆粒的過濾效果。從圖6可以看出,改變PNIPAM鏈長及PS核大小,PNIPAM@PS超濾膜對于廢水中1.70~1.33nmRhB染料以及直徑為5nmCdSe重金屬量子點均表現出與2.43~1.10nmMB類似的過濾效果。當PNIPAM鏈長從10nm變化到55nm時,PNIPAM@PS超濾膜對RhB染料的截留率從19%增加到88%,同時膜通量由628L/(m2•h)減小為423L/(m2•h)。而當PNIPAM鏈長由10nm增加到55nm時,PNIPAM@PS超濾膜對CdSe重金屬顆粒的截留率從72%增加到100%。以上實驗結果表明,PNIPAM@PS超濾膜具有良好的尺寸可調節性能,且對廢水中不同粒徑的顆粒均有較好的過濾效果。
2.4 操作壓力對過濾效果的影響
在超濾膜過濾廢水實驗中,操作壓力會影響膜通量,根據Hagen-Poiseuille方程,理論膜通量與膜兩側壓差ΔP呈正比。實驗時,操作壓力控制在0.01~0.1MPa之間。用含有MB染料的廢水作為研究對象,實驗結果如圖7(a)所示。操作壓力為0.01MPa時,膜通量為89L/(m2•h);隨著操作壓力上升,膜通量顯著增大,最大為518L/(m2•h)。在0.01~0.08MPa之間,操作壓力和膜通量有明顯的線性關系,這與Hagen-Poiseuille方程一致。在0.09和0.1MPa下,實際膜通量出現輕微偏離現象,這是由于,在較大的壓差下,超濾膜會出現一定程度的變形,增加了水分子透過的難度。考察膜的過濾性能時采用的最優壓力條件是0.08MPa。從圖7(b)可以看出,隨著壓力的增大,截留率逐漸增大。其原因可用溶解擴散理論解釋:和無壓差的擴散傳質相比,操作壓力增加導致對流傳質的作用越來越明顯,截留率更高。

2.5 溫度對過濾效果的影響
本實驗還考察了溫度對PNIPAM@PS超濾膜的過濾性能的影響,結果如圖8所示。溫度對于膜通量的影響如圖8(a)所示,當溫度從20℃變化到45℃,超濾膜過濾RhB染料廢水的膜通量由543L/(m2•h)增加到664L/(m2•h),這是因為該超濾膜具有溫度響應性,PNIPAM鏈隨溫度升高收縮,導致膜的孔徑隨著溫度的升高而變大,對顆粒的攔截能力相對減弱。對比超濾膜過濾RhB、MB和CdSe重金屬顆粒廢水的膜通量可以發現,PNIPAM@PS超濾膜過濾含RhB染料廢水的膜通量最大,過濾含CdSe重金屬顆粒廢水的膜通量最小,這是因為CdSe重金屬顆粒粒徑較大,過濾過程中會堵塞部分孔徑,造成孔徑和孔隙率下降,同時膜通量減小。
PNIPAM鏈臨界溫度32℃附近,PNIPAM@PS超濾膜孔徑對溫度靈敏性更高。如圖8(b)所示,膜通量和截留率都發生突變,而在低于30℃以及高于35℃的條件下,截留率的變化值較小。由于MB染料與RhB染料的粒徑相差較小,兩者截留率曲線接近,且在整個實驗溫度范圍內,截留率均沒有達到100%,說明該超濾膜的孔徑大于2nm。對于粒徑較大的CdSe重金屬顆粒(5nm),溫度低于30℃時,PNIPAM@PS超濾膜對廢水中的CdSe重金屬顆粒截留率均能夠達到100%。因此溫度低于30℃時,該超濾膜的孔徑介于2~5nm之間;溫度高于35℃時,超濾膜依然能夠較好地截留CdSe重金屬顆粒,但是對于粒徑較小的MB與RhB幾乎沒有截留作用,因此該超濾膜可以作為粒徑分級濾膜處理印染廢水。
綜上所述,膜通量較高的PNIPAM@PS超濾膜的孔徑可隨著溫度的變化實時調節。高溫下,溫敏性PNIPAM鏈收縮,超濾膜孔徑較大,對于粒徑較小的MB及RhB染料過濾效果較差。低溫下,PNIPAM鏈伸展,超濾膜孔徑變小,對染料及重金屬顆粒均有很好的過濾效果。因此該方法將以其簡單快捷,反應靈敏在超濾膜處理印染廢水領域有著潛在和廣泛的應用前景。
3、結論
本實驗制備了新型溫敏性PNIPAM@PS超濾膜,并對其過濾過程進行研究,重點考察該超濾膜對含有MB和RhB染料及CdSe重金屬顆粒廢水的過濾效果,并研究了PNIPAM鏈長度、PS核粒徑、操作壓力以及溫度對過濾效果的影響,得出如下結論。
(1)經SEM表征發現,PNIPAM@PS球形聚合物刷通過過濾即可覆蓋在PC膜表面,制備得到PNIPAM@PS超濾膜。
(2)PNIPAM鏈長度增加,分子鏈之間的纏繞加劇,超濾膜膜孔徑減小;PS核粒徑增大,超濾膜孔徑也增大,膜通量增加。
(3)隨著操作壓力的上升,膜通量顯著增大,0.1MPa時可達到518L/(m2•h),其過濾行為與Hagen-Poiseuille方程一致。
(4)PNIPAM@PS超濾膜對溫度具有很好的響應性:當溫度低于PNIPAM鏈的LCST時,PNIPAM鏈呈伸展狀態,超濾膜孔徑較小;而當溫度高于PNIPAM的LCST時,PNIPAM分子鏈收縮,超濾膜孔徑增大。因此可以利用該膜孔徑對溫度的響應性分級過濾含有染料及重金屬顆粒的印染廢水。(來源:化學工程聯合國家重點實驗室,華東理工大學)



