1、工程背景概述
煙氣洗滌是危險廢物焚燒系統煙氣凈化的重要工藝環節,亦是確保煙氣達標排放的必備環節,由于危險廢物的種類繁多、成分復雜,煙氣洗滌產生的高鹽廢水具有雜鹽含量較高的特點,且含有較高的有機污染物,pH偏堿性。該高鹽廢水不適合采用物化或生物處理技術,反滲透技術雖可以解決高鹽廢水的減量,但反滲透產生的高含鹽濃縮液的出路更為棘手。
近年來,隨著環評對污染物排放總量控制日益嚴格,絕大多數危險廢物綜合處理廠執行廢水處理達標后“零”排放,為此,實現高鹽廢水的高效減量與達標處理迫在眉睫。本研究結合某危廢處理廠的高鹽廢水處理工程,探索多效蒸發工藝在高鹽廢水處理工藝設計中相關重要工藝流程的選取與關鍵參數的取值,以期為類似工程提供參考與借鑒。
多效蒸發是一個多級串聯濃縮過程,其中各效操作參數與單效蒸發相同,但各效過程參數相互制約。一般而言,增加效數可以提高蒸發處理的經濟性,但由于存在溫度差損失,效數不可能無限制地增加。針對無機鹽溶液的蒸發,目前一般選擇二~四效蒸發。
根據多效蒸發中物料與二次蒸汽的流向不同,多效蒸發細分為平流、順流和逆流等多種蒸發工藝。
危廢焚燒系統產生的高鹽廢水總溶解固體(Total Dissolved Solids,TDS)含量較高,且含有一定的雜質、懸浮物(Suspended Solids,SS)和CODCr,黏度較大,適合選用逆流式三效蒸發工藝。
2、工藝流程與設計參數
多效蒸發工藝計算遵循物料衡算、熱量衡算及傳熱速率方程。計算內容包括加熱蒸汽(生蒸汽)的消耗量、各效蒸發量以及各效傳熱面積。多效蒸發的計算一般采用試算法。
2.1 模型假設
1)各效換熱面積相等。
2)各效蒸發水量的初始值相等。
3)各效溫差是均等的,用以計算各效的初始蒸發溫度。
2.2 主要計算公式
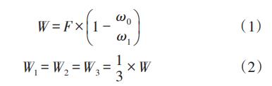
1)估算各效初始蒸發量。由總蒸發量計算出各效蒸發量初始值,其公式如下:

式中:F為總處理量,kg/h;W1為一效蒸發量,kg/h;W2為二效蒸發量,kg/h;W3為三效蒸發量,kg/h;ω0為初始進料濃度,%;ω1為第一效的濃度,%。
2)計算各效濃度。
根據各效的蒸發量進行物料衡算,由式(3)計算各效的濃度。

式中:ωj為j效的濃度,%;Wj為j效的蒸發量,kg/h。
3)計算有效總溫度差。多效蒸發中的有效傳熱總溫度差可用下式計算:

式中:∑Δt為有效總溫度差,為各效有效溫度差之和,℃;T1為第一效加熱蒸汽的溫度,℃;T/K為冷凝器操作壓強下二次蒸汽的飽和溫度,℃;∑Δ為總溫度差損失,為各效溫度差損失之和,包括各效的沸點升高之和、靜壓頭差之和及管道阻力引起的溫度損失,℃。
4)估算各效溫度。
估計各效的溫度,這部分是試差計算,首先計算該系統的總溫差。
根據傳熱方程:

結合各效傳熱面積相等的假設,相鄰兩效的溫差比可寫為:

式中:Δti為各效傳熱溫差,℃;ki為各效傳熱系數,W/(m2•K);Qi為各效換熱量,W;Ai為各效換熱面積,m2。
首先假定各效溫差是均等的,求出各效蒸發溫度,然后根據各效的溫度和黏度計算出各效總傳熱系數,再根據式(6)按比例調整每效的平均溫差,反復計算直至式(6)的值不變。
5)計算各效壓力。
根據上面得到的各效溫度求出該物料的飽和蒸汽壓。
2.3 高鹽廢水設計水量與進水水質
某危廢處置中心高鹽廢水處理系統設計處理量為100t/d,折合4.2t/h,整個工藝過程中預計可產雜鹽(干基)約210kg/h,該高鹽廢水設計進水水質見表1。

2.4 設計工藝流程
高鹽廢水經預熱、三效蒸發濃縮、二效蒸發濃縮、一效蒸發濃縮后,進入離心機出鹽,總體工藝流程見圖1。一效加熱器為強制循環式,二效、三效加熱器均為降膜循環式。蒸發得到的冷凝液經后續生化系統處理后回用。

2.5 設計參數取值
根據進水水質,本項目三效蒸發工藝設計參數見表2。

本項目3個加熱器均為管殼式換熱器,其結構示意如圖2所示。

2.6 設計冷凝水排放指標
三效蒸發冷凝液進后續污水處理站,采用生化處理+膜深度處理的工藝技術路線進行深度處理。經污水處理站處理后的廢水達到GB/T18920—2002城市污水再生利用城市雜用水水質標準中規定的標準。系統調試期間,冷凝水指標均達標。
3、測試指標與分析方法
3.1 原料組分指標
經取樣分析,高鹽廢水原料實際組分較設計值差異較大,主要體現在原料TDS、CODCr和氯離子含量均遠高于設計值,具體見表3。一方面由于前端焚燒來料種類繁雜,組分差別較大;另一方面為減少高鹽廢水的產生,實際增大了焚燒系統洗滌循環水的循環次數,各組分逐漸累積至較高值。

由表3可知,焚燒系統洗滌高鹽廢水實際水質中TDS和CODCr都超過設計進水指標,特別是CODCr分別超過設計值15.5倍和11.6倍,因此需要對高鹽廢水進行調質,調質后的進水水質見表4。

調質后的高鹽廢水作為三效蒸發裝置的進料。
3.2 其他指標
本項目調試期間其他測試指標還包括:①進料流量;②生蒸汽冷凝水、二次蒸汽冷凝水、機封水、真空系統循環水中TDS指標;③二次蒸汽冷凝水溫度。
3.3 分析方法
1)CODCr分析測定方法:HJ828—2017水質化學需氧量的測定重鉻酸鹽法。
2)TDS分析測定方法:高精度筆型鹽度測定儀AZ8373(自動溫度補償)。
3)電導率分析測定方法:電導儀法(GB/T6908—2008鍋爐用水和冷卻水分析方法電導率的測定)。
4)鹽含量分析測定方法:蒸發干燥稱量法。
5)二次蒸汽冷凝水溫度:溫度計。
4、運行效果分析
4.1 二效物料循環及轉料
二效循環泵兼具物料循環和轉料的功能,出口壓力控制在0.15~0.18MPa,可以穩定實現向一效分離器轉料。
但二效循環泵出口壓力低于0.15MPa或高于0.18MPa時,一效進料量均會有不同程度地下降,一效分離器液位會逐步降低,直至低液位報警,需要人工干預調節。這主要是因為在二效循環泵出口壓力太低時,二效無法正常向一效迅速補料;出口壓力太高時,二效加熱器循環量變小,一效進料量也相應減小。
因此,調節并控制二效循環泵出口壓力在0.15~0.18MPa,既能穩定向一效分離器轉料,又不影響二效物料的循環。
4.2 三效分離器壓力
二次蒸汽冷凝水溫度一般不超過40℃,其隨時間變化趨勢見圖3。

由圖3可知,在實際調試過程中,二次蒸汽冷凝水溫度集中在31~39℃,此時三效分離器壓力為12.3kPa(絕對壓力)。
4.3 分離器操作液位
調試過程中,分離器液位隨時間變化趨勢見圖4~圖6。由于3個分離器液位量程有差異,因此均以實際液位所占分離器液位計總高度的比例來表示實際操作液位。



可以看出,調試期間正常運行工況下,3個分離器液位均穩定在45%~55%(出鹽工況除外,此時一效分離器液位會明顯下降)。此時二次蒸汽冷凝水水質能穩定達標。
分離器液位達到65%~70%左右時,二次蒸汽冷凝水中TDS就可能會超標,主要是因為此時分離器液面上部氣相空間相對縮短,蒸發出的二次蒸汽在分離器內停留時間縮短,二次蒸汽與鹽分未能完全分離,導致從分離器頂部出去的氣相物料夾帶部分鹽分。
綜合考慮分離器與加熱器的豎向布置,3個分離器液位控制值為50%時系統可正常運行。
4.4 出鹽時間與出鹽量
系統設計出鹽量約為210kg/h,實際調試期間為間歇出鹽,即先根據一效分離器底部視鏡觀察分離器內物料濃度,如果視鏡中鹽分低于1/3視鏡位置,則說明暫時還未濃縮到出料濃度;若視鏡中鹽分達到1/3位置,則說明可能達到出料濃度,需要再進一步做實驗確定,具體實驗方法為:取1只500mL燒杯,至出料泵出口取樣管取樣,冷卻約10min后觀察鹽分含量,若鹽分含量超過40%,即具備出鹽條件。調試期間,每隔約4~6h出鹽1次,每次出鹽約1.0~1.2t。
5、討論
基于上述調試運行結果分析,考慮危廢焚燒系統洗滌高鹽廢水水質組分復雜且波動較大,此條件下針對三效蒸發系統的工藝設備選型、關鍵工藝設計要點提出優化意見。
5.1 選擇加熱器循環型式
本項目中二效和三效加熱器均選用了降膜式加熱器。當含鹽量高于8%時,三效加熱器和二效加熱器頂部的布液盤和換熱管極易堵塞,系統僅能連續穩定運行3~4d,這也就對高鹽廢水水質提出了更嚴格的要求。
降膜式加熱器:液體物料從加熱器頂部進入,經過液體分布器的分布,在換熱管內呈膜狀向下流動,管外加熱使其汽化,被汽化的氣體隨液體一起通過加熱管流出,將液體與氣體分離即得到濃縮液,這是降膜式蒸發器的工作原理。
強制循環式加熱器:物料通過大流量的循環泵被輸送至列管式加熱器內,經加熱后進入分離器蒸發分離,未蒸發的余料回流再次由循環泵輸送至加熱器加熱蒸發,這樣形成了一個反復循環蒸發的系統,強制循環式蒸發器適用于有結垢性、結晶性、熱敏性(低溫)、高濃度、高黏度并且含帶顆粒的不溶性固形物等物料的處理。通常在處理黏度大、易結垢或易結晶的溶液時,優先采用強制循環蒸發器。
危廢焚燒洗滌高鹽廢水雜質組分多,且含鹽量較高,屬易結垢、易結晶物料,因此建議優先選擇強制循環型加熱器。
5.2 優化循環和轉料
本項目未設置單獨的二效進料泵,而是由二效循環泵向一效進料。
為方便轉料流量和循環量均可精確控制與調節,二效循環泵不宜兼具物料循環和轉料的功能,建議單獨設置二效轉料泵與二效循環泵。
另外,進料高鹽廢水中CODCr含量較高,平均值為1505mg/L,因此母液不能再循環回一效分離器;否則,離心結晶就會受到影響,系統運行也會出現管路堵塞或蒸發量下降。此種情況下建議母液不宜回流至三效系統。
5.3 三效分離器壓力調節與控制設計
本項目分離器壓力是依靠手動操作系統抽真空管路上泄壓閥的開度來調節和控制的。
由于分離器壓力控制與調節與真空泵入口處泄壓閥的開度相關聯,為確保系統蒸發量以及三效系統的運行穩定性,建議增加1組壓力調節閥,設定一定值后,由調節閥實現對三效分離器壓力的精準調節與控制,進而保證系統壓力穩定。
6、結論
1)由于高鹽廢水成分復雜,且含鹽量可能會有較大波動,尤其是含鹽量高于8%時,二效加熱器即會有少量結晶鹽析出,降膜式加熱器由于循環量較小,存在結晶鹽堵塞的風險,因此針對危廢焚燒系統高鹽廢水處理三效蒸發系統,一效、二效和三效加熱器均選擇強制循環型。
2)本系統二效循環泵出口壓力需控制在0.15~0.18MPa;分別設置單獨的二效轉料泵與二效循環泵,確保進料量穩定,系統蒸發過程平穩。
3)為確保在進水CODCr較高(>1500mg/L)且水質波動較大的情況下,三效蒸發系統仍能穩定運行,母液不宜回流至三效系統。
4)為控制三效分離器壓力穩定在12.3kPa(絕對壓力),宜設置壓力調節閥,以保證系統壓力穩定。(來源:上海市政工程設計研究總院(集團)有限公司)



