生物膜強化多級AO是一種將多級AO與泥膜混合工藝相結合的新型工藝,從前向后分為第一級缺氧池、第一級好氧池、第二級缺氧池、第二級好氧池……其中缺氧池、好氧池均可投加填料,原水分級進入各缺氧池,回流污泥回流到系統的首端。該工藝不僅具備了多級AO分級進水帶來的優勢,例如活性污泥量大、容積負荷高、無需設置內回流即能實現較高的TN去除率等;同時兼具泥膜混合工藝耦合新型脫氮路徑的優勢,例如同步硝化反硝化、短程硝化、短程反硝化、厭氧氨氧化等,可以實現高效節能的深度脫氮除磷。
多級AO工藝已在多個工程中得到了應用和驗證,體現出更好的脫氮效果、更短的停留時間、更低的運行電耗等優勢。關于用生物膜提高多級AO工藝性能的思路在小試研究中也有報道,例如趙憲章等針對低溫下處理效果差的難題,通過在好氧池投加生物填料實現了一個小試規模(240L/d)兩級AO的脫氮性能提升,并且實現了懸浮污泥和附著污泥低溫下硝化性能的同步提高,驗證了填料對多級AO工藝具有顯著的優化效果。但是,生物膜對于多級AO強化不僅體現在保證低溫下的硝化性能,生物膜可以附著更長污泥齡的菌種,這為系統的功能菌群提供了更多維的可能:生物膜投加到好氧池可以實現同步硝化反硝化、短程硝化耦合厭氧氨氧化;生物膜投加到缺氧池,短程反硝化耦合厭氧氨氧化的脫氮路徑已在萬噸級的污水處理工程實現。也就是說,理想的生物膜強化多級AO工藝,在缺氧池可以實現全程反硝化與短程反硝化耦合厭氧氨氧化兩種脫氮路徑,在好氧池實現全程硝化、同步硝化反硝化、短程硝化耦合厭氧氨氧化三種脫氮路徑。綜合來看,多種脫氮路徑將在無需投加外碳源的條件下促進總氮去除,并且為生物除磷提供更有利的條件。同時,由于工藝具備了多個進水點位和多個回流點位,因此工藝調整的豐富性極高,在不同進水條件和外部環境下可以智能切換,是一種節能降耗的新型工藝。
然而,生物膜強化多級AO工藝目前還沒有典型工程案例報道,其設計、運行、優化也缺少相關研究。以海南某下沉式再生水廠生化單元為研究對象,從生物膜強化多級AO工藝設計、運行兩方面入手,分析工藝優勢和實際運行數據,以期為分級進水和生物膜強化的耦合工藝提供參考。
1、工程概況
該再生水廠總處理規模3×104m3/d,設計進、出水水質見表1。其中,生化單元分為3個系列,每個系列設計規模1×104m3/d,近期按照2個系列運行。該廠服務范圍內有多個海鮮市場,水質波動較大,因此需要選擇一種耐沖擊、效率高的處理工藝。經過綜合方案比選,最終決定選用生物膜強化三級AO工藝,促進總氮、總磷的同步高效去除,并實現節能降耗。

在設計時,為了實現更高效的總氮去除和更加靈活的調整優化,并適度超前考慮AOA工藝的轉換,總體設計思路考慮智能可切換模式。生物膜強化多級AO工藝在選擇級數時需要綜合考慮進水水質和現場條件,以生物膜強化三級AO工藝為例進行介紹,其他級數的設計可以參考。
2、工藝設計計算和優化
2.1 工藝優勢
2.1.1 三級AO硝化優勢
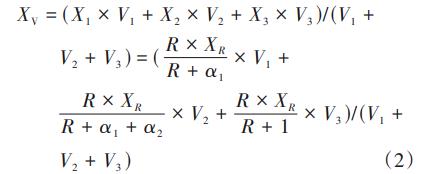
三級AO每一級的活性污泥濃度為:

式中:Xi為第i級的污泥濃度,i=1、2、3,g/L;XR為二沉池回流污泥的污泥濃度,g/L;αi為第i級進水比例,0<αi≤1且α1+α2+α3=1;R為污泥回流比。
因此,反應器平均污泥濃度為:

式中:XV為平均污泥濃度,g/L;Vi為第i級池容,i=1、2、3,每一級池容是該級缺氧和好氧池容之和,L。
當控制進入二沉池的污泥濃度相同時,三級AO工藝平均污泥濃度永遠大于AAO工藝,同樣的池容可以提供更多的活性污泥,從而提高整體容積負荷。提高的倍數與進水分配比和池容比有關,以我國北部某下沉廠三級AO的設計為例,其在池容比為1∶1.3∶1.6、進水分配比為1∶1∶1的情況下,相較于AAO,總污泥量可提升1.3倍。
2.1.2 三級AO的反硝化優勢
三級AO無需內回流也可以達到較好的總氮去除效果,其理論最大脫氮率為:

式中:ηmax為理論最大脫氮率;r3為第3級內回流比,r3≥0。
式(3)是理論最大值,需要滿足相應條件,例如每一級硝化完全、原水碳源滿足反硝化完全的需求等。三級AO并不設置從O3向A1的內回流,原因在于會破壞三級之間的污泥梯度,導致每一級污泥負荷失衡。第一級內回流(O1→A1)、第二級內回流(O2→A2)并不會提高理論最大脫氮率,理論最大脫氮率與污泥回流、第三級內回流、流量分配比相關。AAO工藝的理論最大脫氮率=1-1(/1+R'+r'),式中R'、r'分別為AAO工藝的外回流比、內回流比,與式(3)相比可以得到:三級AO的理論最大脫氮率大于AAO,但需滿足一個條件:α3<(1+R+r3)(/1+R'+r')。這個條件實際上是容易達到的,例如常規的AAO污泥回流比≥1、內回流比≥1.5,三級AO外回流選值0.75、不設置內回流,α3只需要小于0.5即可。這說明,當需要同樣的最大理論脫氮率時,三級AO工藝的回流比小于AAO工藝,節省能耗。
王舜和等的研究顯示,同一座污水處理廠內多級AO與多模式AAO工藝相比,內回流泵功率可節省30kW,單位規模節省的功率為1W/(m3·d-1)。
2.1.3 生物除磷與脫氮的協同優勢
按照傳統的生物除磷理論,聚磷菌(PAOs)在厭氧和好氧的條件下分別進行釋磷和過量吸磷,最后通過排泥完成磷的去除。在這個過程中,厭氧池(或缺氧池)硝酸鹽的濃度是重要影響因素,過高的硝酸鹽濃度會造成反硝化與釋磷的碳源競爭,導致釋磷作用不充分,從而削弱除磷效果。
實際上,關于優化多級AO工藝的生物除磷性能已有較多研究,通過多級AO與UCT、改良AAO等的結合,在工藝最前端設置厭氧池、預缺氧池等實現脫氮-除磷的協同,從而提高系統除磷性能。
多級AO工藝體現出較好的氨氮、硝氮處理能力,而生物膜強化后耦合的新型脫氮路徑,也更有利于多級AO工藝脫氮-除磷的協同,這對于第一級缺氧池非常有利:①出水總氮低,通過污泥回流到第一級缺氧池的硝態氮濃度就低,反硝化對碳源的消耗變少,進水中的碳源可以更多地用于聚磷菌的釋磷過程;②第一級污泥濃度高,已有的工程已驗證較高的污泥濃度可以促進內碳源的利用,為第一級的反硝化、釋磷提供額外的電子供體。
2.2 設計級數確定
由式(3)可知,級數并不影響理論最大脫氮率。但是由式(1)、(2)可知,反應器的級數會影響總污泥濃度,進而影響容積負荷。祝貴兵論述了增加級數以獲得最高處理速率的推導過程,認為在相同處理效率的前提下,隨著級數的增加,所需的總容積隨之減少;但是當n>4時,總容積的減少已不明顯。根據這一分析,3級或4級是多級AO最佳選擇。考慮到系統的簡潔性和便于維護性,多會選擇三級AO。經綜合考慮,該工程選擇級數n=3。
2.3 設計污泥回流比的確定
該工程設計進、出水總氮分別為40、15mg/L,TN去除率為62.5%。進水C/N比值取值為BCOD/TKN,該工程按照進水BOD5和進水TN取值,即BOD5/TN=140/40=3.5。
污泥回流比、總氮去除率的計算見下式:

式中:δ為多級AO分配系數;σ為實際進水C/N比值,取3.5;τ為對于某特定的污水,單位NO3--N全部轉化為氮氣所需的BCOD,取4.5;Rt為此種進水條件下最大脫氮效率時的污泥回流值,Rt=(σ/τ)3/【1-(σ/τ)3】。
依據式(5)可繪出不同取值時的η-R關系,如圖1所示。

對照該項目,δ=3.5÷4.5=0.78,可知該條曲線在δ=0.75和δ=0.8之間,R值大約在R=1時再提高也對總氮去除率提升沒有作用。
因此,該項目選擇R=1,設備選型時選擇流量可達到R=2.0的泵型,確保工藝的可調性。
2.4 設計池體比例及進水分配比確定
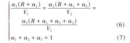
按照等污泥負荷原則設計,可以有如下方程組:

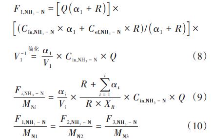
其中式(6)由以下3個方程聯立后推導。假設每一級的硝化均完全,即式(8)中二沉池出水氨氮的濃度Cef,NH3-N、式(9)中每一級出水氨氮濃度均可忽略:

式中:Fi,NH3-N為第i級的氨氮容積負荷,mg/(L·h);MNi為好氧段硝化菌濃度,對同一個反應器內的污泥絮體來說,硝化菌占總生物量的比例是確定的(定義為fN),則MNi=Xi×fN。
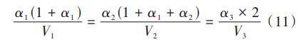
根據式(6)、(7)聯立方程組,并代入R=1的條件,計算可得:

式(11)反映了R=1時三級進水與三級好氧池容積之間的關系,可再依據工程特點選擇相等進水比例(α∶1α∶2α3=1∶1∶1)、相等池容比例(V∶1V∶2V3=1∶1∶1)或者都不相等來進行設計和運行。
依據該下沉廠的平面布局,三級之間池容比例設定為V1∶V2∶V3=1∶1.15∶1.35,根據式(11),方程沒有解析解,規劃求解可得特殊解:設計進水分配比為α1∶α2∶α3=0.36∶0.33∶0.31。
2.5 設計缺氧池比例
按照每一級缺/好氧池比例為0.34進行設計,則可知第一級缺氧池、第一級好氧池、第二級缺氧池、第二級好氧池、第三級缺氧池、第三級好氧池的容積比例:VA∶1VO∶1VA∶2VO∶2VA∶3VO3=0.34∶0.66∶0.39∶0.76∶0.46∶0.89。
2.6 兼性池及最后一級內回流設計
考慮到生化系統的平衡性和多樣性,將好氧池設計為可切換缺/好氧狀態的池體,裝載攪拌及曝氣盤。
一般而言,為使三級AO具備更高總氮去除率的可能性,可以設計最后一級內回流系統,即從第三級好氧池向第三級缺氧池的回流,必要時開啟,可通過向第三級缺氧池投加外碳源來提供額外的反硝化能力。綜合考慮工藝的多樣性,即工藝可以切換為AAO、AOA運行,設計一條內回流廊道可由第三級好氧池回流,并在第一級缺氧池、第二級缺氧池、第三級缺氧池開設閘門控制回流點位,最大回流比設計為1.5,常規時間無需開啟,設備選型時選擇可調流量型泵。
2.7 設計污泥濃度
三級AO的三級之間污泥濃度存在梯度,設計優化時計算池體內所有生物量要考慮2個方面:①控制O3池的污泥濃度,并以此反算所有池體的污泥濃度;②二沉池的固體負荷。這兩個方面存在一定的矛盾,當控制生化池末端的污泥濃度相同時,多級AO工藝需要二沉池污泥的濃縮性能比常規AAO高,以提高回流污泥濃度。一般工藝設計的二沉池固體負荷,參考第三版給水排水設計手冊中給出的值≤150kg/(m2·d),但對于多級AO應取更小的二沉池固體負荷值,否則無法提供足夠的回流污泥或造成二沉池泥位過高。
該工程設計控制O3池污泥濃度為3000mg/L,忽略污泥在生化系統的生長和衰減作用,計算得各級池體的污泥濃度如表2所示。

由表2可知,回流污泥濃度為7478mg/L,意味著如果二沉池回流污泥濃度無法達到此值,那么O3池污泥濃度將無法達到3000mg/L,可能會影響生化系統性能。因此二沉池的設計尤為重要,污泥濃縮的性能將直接影響多級AO的運行效率,需特別注意固體負荷和泥區的停留時間設計。實際運行時,如果選擇“不排泥”來提高回流污泥濃度,必然導致二沉池泥位較高,并不利于系統的穩定。
2.8 池體容積
按照下式計算好氧池容積:

式中:μN為最不利硝化菌比生長速率,d-1;TC為設計水溫,℃;C內控,NH3-N為內控的出水氨氮濃度,mg/L;θC,min為最不利污泥齡,d;θC為設計污泥齡,d;K為污泥齡安全系數,一般選擇3;VO為好氧池總容積,L;Y為污泥產率系數,一般取0.3~0.6kgVSS/kgBOD5;Cin,BOD5、Cef,BOD5分別為設計進水、設計出水BOD5濃度,mg/L;XMLVSS為反應器內平均VSS濃度,mg/L,該工程以XMLVSS∶XMLSS=0.6計算。
計算可得VO=3873m3,根據2.4節各級比例可求出每一級好氧池容積,再根據2.5節的方法,可設計出各級缺氧池的池容。計算完成后可知第一級缺氧池、第一級好氧池、第二級缺氧池、第二級好氧池、第三級缺氧池、第三級好氧池的水力停留時間(HRT)分別為1.3、2.5、1.6、3.2、1.8、3.6h。
依據HRT取值,再根據該再生水廠整體的平面布局、結構專業要求,按照最優原則再進行適當的微調,完成最終的池體池容設計。
2.9 填料投加比例
綜合考慮現場條件和進水條件,第一批按照5%投加生物膜填料,投加進入第一級好氧池、第二級好氧池,并設計篩網對填料進行攔截。
2.10 池型選擇
缺氧池和好氧池的池型選擇與設計見圖2。

為了實現填料流態的優化,特別是考慮后期AOA工藝的轉換,缺氧池設計為完全混合式,第一級好氧池、第二級好氧池、第三級好氧池均設計為環溝型。每一級好氧池均加裝推流器,不僅可以保證切換為缺氧池后的攪拌效果,同時推動第一級好氧池、第二級好氧池內填料的流化狀態。
2.11 各項設計參數的復核
在完成以上設計步驟后,對好氧池硝化負荷、總池容的TN去除負荷進行復核,與已有的工程數據進行比對,確認可行性。
①硝化負荷
設計硝化負荷計算見下式:

式中:LNH3-N為設計硝化負荷,mg/(L·h)。
經計算,LNH3-N=0.014kgNH3-N/(m3·d)。
②總氮去除負荷
設計總氮去除負荷計算見下式:

式中:LTN為設計總氮負荷,mg/(L·h);V總為總體積,L。
經計算,LTN=0.008kgTN/(m3·d)。
通過與已有工程參數的對比可知,硝化負荷和總氮去除負荷校核滿足要求。
2.12 總體工藝圖
生化段關鍵參數設計完成后,總體工藝如圖3所示。

3、智能設計
該下沉式再生水廠在總體設計和生化設計的參數選型等確定后,需進行空間和平面的優化布置,利用自主開發的智能設計系統,搭建模塊化的曝氣池、攪拌池、曝氣與攪拌切換池等模型,在取得工藝的計算結果后拼裝完成生物膜強化多級AO工藝的單體模型。當進行再生水廠的平面布局和空間布局時,將該部分模型與前處理、二沉池、深度處理等其他環節單元快速組合,不斷優化,形成最終方案。
智能設計系統能夠快速出圖,并且對于下沉式再生廠而言可將不同單元共壁布置,直觀展示地下構筑物的空間關系,規避傳統設計中管線交叉、空間利用率較低等問題,利用管線碰撞檢查,在矩形構筑物間隙設置管線、電纜等管廊,實現精細化設計,提高節地效果。
模塊化池體拼裝生物膜強化多級AO工藝及其平面布置見圖4。

4、技術經濟性分析
采用下沉廠形式,依照當地地勢而建,高效利用了土地資源,噸水占地僅0.38m2(/m3·d-1),總投資3.5億元。其中,采用生物膜強化多級AO工藝的生化池噸水占地僅為0.12m2(/m3·d-1),體現了工藝的優勢。
5、運行優化及效果
由于O1和O2池投加填料可穩定提高系統的處理負荷,在項目啟動、調試階段進行工藝優化,運行參數調整如下:
①進水分配比調整為α1∶α2∶α3=0.7∶0.2∶0.1;
②污泥回流比調整為1.3;
③曝氣策略調整為O1、O2較大曝氣量,O3較小曝氣量。
5.1 長期運行數據
2023年11月22日—2024年1月23日,連續監測生化池的進出水COD、氨氮、總氮、總磷,進水水質如表3所示,處理效果如圖5所示。


進水COD負荷均值為0.325kgCOD/(m3·d),進水氮負荷均值為0.049kgN/(m3·d),進水磷負荷均值為0.0077kgP/(m3·d)。在這種進水條件下,生化系統體現出良好的處理性能:出水氨氮均值為0.3mg/L,去除率均值為98.7%;出水總氮均值為4.7mg/L,去除率均值為84.5%;出水總磷均值為0.23mg/L,去除率為94.4%。
該工藝對COD、氨氮、總氮均體現出良好的處理性能,在不投加外碳源的情況下,出水總氮可以達到5mg/L以下。這不僅滿足了水質排放標準,為后續深度處理單元減負,也有利于最終受納水體的水質和水生態恢復。更重要的是,我國部分地區因環境容量小而提高了污水處理廠排放標準,例如昆明地標A級為出水總氮5.0mg/L,該工藝為這些需要極限脫氮的區域提供了可行的示范樣板。
另外,該工藝的總磷去除性能也很好。目前很多研究聚焦于在生化池末端投加化學藥劑強化除磷,該工藝具有較好的生物除磷性能,是一種更加低碳的處理方式。
5.2 脫氮除磷沿程數據分析
分別在生化池進水、A(1過濾后)、O(1過濾后)、A(2過濾后)、O(2過濾后)、A(3過濾后)、O(3過濾后)、二沉池外回流(過濾后)取樣,檢測COD、氨氮、總氮、總磷濃度,硝態氮濃度以總氮和氨氮差值計。生物膜強化多級AO的沿程數據如圖6所示。

假定以A1池進水COD與O1池出水COD的濃度之差作為A1和O1去除的BCOD值,則計算可知去除的BCOD為76.4-37.6=38.8mg/L。由圖6(a)可知,A1池末COD為38.9mg/L,而O1池末為37.6mg/L,二沉池污泥回流的COD為16.7mg/L,通過物料守恒可以計算A1池的進水COD為76.4mg/L。那么依據此數據,O1池曝氣去除的COD僅有1.3mg/L,占3.3%,A1和O1池體中COD用于反硝化和除磷的比例為96.7%。對于第二級、第三級,同樣如此。
系統的脫氮功能在好氧池也有體現,A2和O2池之間總氮下降了10.2-4.2=6.0mg/L,即在O2池發生了顯著的總氮去除。
圖6(b)展示了每一級COD、硝態氮、總磷的變化情況。可以看出,A1、A2、A3池較好的反硝化效果導致硝態氮濃度較低,這也為厭氧釋磷提供了較好的條件,在O1、O2、O3池也均可實現過量吸磷作用,O3池總磷僅0.14mg/L。
需要關注的是,二沉池總磷相對于O3池明顯提高,推測在二沉池內發生了一定的釋磷作用。在實際運行時,二沉池的運行需要特別注意泥位和翻泥現象,并實時調整。
6、結論
①生物膜強化多級AO工藝的硝化、反硝化、生物除磷協同優勢明顯,在1×104m3/d規模的實際工程應用效果顯示,生化段的出水總氮均值<5.0mg/L、總磷均值<0.30mg/L。
②智能可切換生物膜強化多級AO的設計步驟:先按照多級AO設計,主要包括級數、污泥回流比、好氧池池容比例、缺氧池池容比例、污泥濃度、池容等;然后按照填料強化計算投加比例;完成后需校核工藝的各類負荷;計算切換為AOA工藝的調整方式,在池體內設計曝氣和攪拌2套設備,并依據每個池體是否投加填料、是否具備切換條件等選擇合適的池型。
③沿程數據顯示,該工藝在缺氧池COD利用率高,硝態氮濃度低;同時投加生物膜填料的O2池表現出顯著的總氮去除能力;良好的總氮處理效果,尤其是良好的反硝化性能,為系統提高生物除磷性能提供了條件。
④不足與建議:該設計負荷選擇較為保守,實際上生物膜的強化可以極大提高工藝的整體負荷,具體到設計環節,在取得生物膜強化的相關工程經驗和數據后,應提前考慮到設計計算中。另外,對生物膜強化多級AO工藝的優勢分析和數據分析深度仍有不足,目前該工程體現出良好的脫氮除磷性能,亟待進行深入的脫氮機理、微生物菌群結構等研究。(來源:信開環境投資有限公司,中國社會科學院數量經濟與技術經濟研究所,海口龍華信開水務有限公司,北京工業大學城鎮污水處理與資源化利用技術國家工程實驗室,海南大學環境科學與工程學院)



