鐵炭微電解具有操作簡單、條件溫和的特點而被廣泛用于廢水凈化領域。王宇峰等等利用鐵碳微電解預處理高鹽廢水,其COD去除率約為61.2%。SUN等和賴波等分別利用鐵碳微電解凈化工業廢水,廢水TOC的去除率分別約為55.3%和52.6%。由于鐵、炭材料處于混合狀態,曝氣條件下鐵材料容易發生鈍化、板結,而且氫氧化物會包覆在活性炭的表面,影響活性炭的導電性能,并降低活性炭比表面積,最終致使傳統鐵炭微電解的污水凈化能力下降,同時電偶腐蝕生成的Fe2+容易被氧化為Fe3+,而Fe3+則會進一步消化Fe0,導致廢水處理的鐵泥量大和成本增加等問題。
利用鐵、炭之間的電勢差,通過形成化學原電池來實現廢水污染物的凈化與資源回收的研究目前較為稀少。YING等在2個極室內分別放置鐵電極和炭電極,以Na2SO4為電解質,采用鹽橋方式形成化學原電池,考察了鐵電極和炭電極在去除2,4-二氯苯酚的作用機制,但該研究的出發點仍在于探究傳統鐵炭微電解中的鐵電極和炭電極在污染物凈化中的作用。LAI等以高純度鐵板作為陽極,炭材料作為陰極,并通過質子膜將兩室隔開,獲得了98%的廢水磷回收率。針對模擬煙氣的同步脫硫、脫硝、脫碳,本課題組前期采用鐵炭雙池原電池反應器進行了實驗研究,結果表明,鐵炭原電池反應器的脫硫、脫硝、脫碳率分別高達99%、85%和約50%。
相對于傳統的鐵碳微電解,鐵炭原電池反應器的鐵、炭相對獨立地在各自的反應極室中,鐵室中不曝氣,而碳室曝氣。這樣不僅可以避免傳統鐵碳微電解的鐵材料消耗量大、鐵泥多的問題,同時避免了鐵材料的鈍化、板結以及凈化效率較低等問題,而且鐵室和炭室各自相對獨立地凈化污染物,該原電池反應器具有更多的污染物凈化工藝路線選擇。為此,本研究考察了鐵炭原電池反應器在高鹽廢水有機物的凈化效果,并進一步探究了操作模式(間隙、半連續和連續)以及影響因素對高鹽廢水有機物去除的影響規律。
1、材料與方法
1.1 實驗原料
本研究中所用廢水為國內某煤化工生產企業的反滲透濃縮后的高鹽廢水。高鹽廢水的pH為1.70,硫酸根離子的質量濃度為13100mg·L−1,氯離子的質量濃度為79500mg·L−1,總溶解性固體(TDS)含量為168000mg·L−1,總有機碳(TOC)含量為990mg·L−1,耗氧有機污染物的濃度(以COD計)為5500mg·L−1。實驗中所使用的鐵粉、活性炭粉末和鹽酸均為分析純。該高鹽廢水中的主要無機鹽分別為NaCl和Na2SO4。
1.2 實驗裝置
圖1為鐵炭原電池反應器示意圖。鐵室與炭室通過陰離子膜(FAA-3-20,Fumasep)分隔。鐵室內放置有鐵粉和鐵電極(φ=4mm×13mm)。鐵室外側從上至下設有循環進水口、循環出水口、廢水進水口和廢水出水口。循環泵型號為HD-602。鐵室頂部密封。炭室內放置有活性炭粉末和石墨電極(φ=6mm×6mm),外側從上至下設有廢水進水口和廢水出水口。炭室曝氣,曝氣泵為DP-160S。鐵電極和石墨電極均先各自采用導線連接后,再通過一根導線把鐵電極和石墨電極進行連接。

1.3 實驗方法
反應器凈化性能評價設計了4組實驗。實驗A斷開導線,實驗B和實驗C均連接導線。實驗D為傳統鐵炭微電解。實驗A、B、C和D的鐵粉均為新鮮鐵粉,實驗A、B、D的活性炭為新鮮原料,實驗C的活性炭為實驗B用過的活性炭。4組實驗中的鐵粉、活性炭質量比均為1:1,鐵粉和活性炭質量均為54g。實驗A、B、C、D均為半連續操作模式。實驗A、B、C的鐵室和碳室各自的進料流量均為1.0mL·min−1,實驗D的進水流量2.0mL·min−1。實驗A、B、C的鐵室和炭室的初始廢水體積均為300mL,而實驗D的初始廢水體積為600mL。4組實驗處理的總廢水體積和凈化時間均相同。
操作模式的影響實驗。間歇模式,鐵室和炭室內分別加入600mL廢水,關閉所有進水口和出水口。半連續模式,前0.5h內分別向鐵室和炭室加入300mL廢水,隨后以1.0mL·min−1的速度向鐵室和炭室內各自加入廢水。間隙以及半連續模式下,鐵室和碳室被離子隔膜完全隔離。連續模式,鐵室和炭室的初始廢水體積分別為600mL和300mL,調節陰離子膜的安裝高度以實現鐵室廢水自動流入炭室。連續操作模式下,廢水由鐵室進水口進入,隨后越過離子膜頂部流入炭室,隨后從碳室下部的出水口流出。鐵室進水流量與碳室出水流量均為1.0mL·min−1。本研究中的鐵粉和活性炭用量均按照初始廢水質量的15%投加。
操作因素的影響實驗。在半連續操作模式下分別考察固液比(鐵粉或活性炭粉末與初始廢水的質量百分比)、廢水pH以及廢水流量對有機物凈化的影響。固液比影響實驗:在初始pH為1.70、進水流量為1.0mL·min−1的條件下,設置固液比分別為5%、10%和15%。廢水pH的影響實驗:在固液比為15%、進水流量為1.0mL·min−1的條件下,pH分別設為1.00、1.30和1.70。進水流量的影響:在固液比為15%、pH為1.70的條件下,設置流量分別為0.3、0.6和1.0mL·min−1。以上實驗中鐵粉與活性碳質量比均為1:1。本研究中實驗時間均為5h,鐵室的循環泵和炭室的曝氣泵均常開,曝氣流量和廢水循環流量固定為3.0L·min−1。
1.4 分析方法
實驗過程中每15min記錄1次鐵室和炭室的氧化還原電位(oxidation-reductionpotential,ORP)、pH和電流(I)。每1h取水樣進行有機物含量分析。ORP(ORP分析儀,型號SX630,Labsen)和pH(pH計,Phb4,雷磁)均測定溶液中部位置。水樣從溶液中部位置采取。萬用表(DEM11,DELIXIELECTRIC)測定電流。
廢水有機物含量用TOC表示。TOC采用總有機碳分析儀(TOC-VCPH,島津,日本)測定。TOC去除率根據式(1)進行計算。

式中:η為TOC去除率,%;Ct和C0分別為TOC采樣質量濃度和初始質量濃度,mg·L−1。
2、結果與討論
2.1 反應器凈化性能及原理分析
1)反應器凈化性能分析。
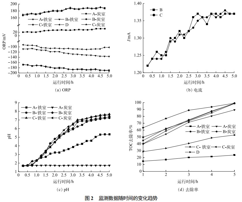
由圖2(a)可見,在5h內,實驗A的炭室ORP由20.3mV逐步升至30.2mV,鐵室ORP則由−108.2mV下降至−136.6mV;實驗B的炭室ORP則由167.2mV上升至188.9mV,鐵室ORP由−167.3mV降至−188.9mV;實驗C的鐵室ORP和炭室ORP與實驗B的結果基本一致;實驗D的ORP則基本在−100mV附近。ORP檢測結果表明,單純鐵粉環境下的ORP要比微電解下的ORP更負,而原電池反應器的鐵室ORP則明顯更負,說明原電池鐵室的還原性比單純的鐵粉以及微電解的還原性更強;導線斷開時的炭室ORP比原電池的炭室的ORP小,說明原電池的炭室的氧化性更強。由ORP可見,原電池的鐵室具有更為顯著的還原性,而炭室具有明顯的氧化性。顯然,該現象有利用鐵炭原電池反應器對高鹽廢水中有機物的凈化。圖2(b)為電流變化情況。可見,實驗A和D無電流,實驗B和C有電流。實驗B和實驗C的電流數值及其變化趨勢相似,初期電流約為1.26mA,5h后升至1.37mA,電流在前3h上升較為明顯,隨后電流趨于穩定。

圖2(c)為pH的變化趨勢。可見,在5h內,實驗A的鐵室廢水pH由1.70升至5.33,炭室廢水pH基本穩定在1.70附近;實驗B中鐵室和炭室的pH由初期的1.70分別升高至結束時的7.23和7.74;實驗C鐵室和炭室的pH由初始的1.70分別升高至結束時的7.68和7.56;實驗D的pH由初期的1.70升高至4.70,且其pH在前135min變化較為明顯,隨后pH變化緩慢。廢水凈化過程中pH變化幅度從大到小的順序為原電池反應器的鐵室和炭室>單純鐵粉處理>鐵炭微電解以及活性炭吸附過程。廢水中pH的變化表明這4組實驗在有機物凈化之間的差異性。鐵炭微電解過程中廢水pH在前135min升高明顯,但隨后變化緩慢,其原因可能與鐵粉的表面鈍化有關。單純鐵粉處理過程中的鐵粉僅發生酸腐蝕作用,但由于沒有曝氣,因此,鐵粉表面的鈍化現象比鐵炭微電解的要弱,因此,pH呈現不斷上升的趨勢。鐵炭原電池反應器不僅避免了鐵粉的鈍化現象,同時也保留了酸腐蝕與間接電偶腐蝕,因此,其廢水的pH最高,其最終的pH環境也有利于避免傳統鐵炭微電解的返色現象。
圖2(d)為廢水TOC去除率的5h變化趨勢。鐵室和炭室中廢水TOC去除率均隨時間而增加。實驗A的鐵室的凈化效果較差,最終的TOC去除率僅為23.8%;而炭室對TOC的去除效果相對較好,TOC去除率可達89.4%。實驗B中的鐵室對TOC去除率約為98.8%,而炭室TOC去除率約為99.2%。實驗C中的鐵室廢水TOC去除率約為98.7%,而炭室廢水TOC去除率約為99.1%。實驗D中TOC去除率約為52.80%。比較4組實驗中的TOC去除率可知,鐵炭原電池反應器對高鹽廢水中有機物凈化效果較好,遠遠優于單純的鐵粉處理效果,也明顯優于傳統鐵炭微電解(實驗D)效果,也比單純活性炭的吸附效果要好。由此可見,鐵炭原電池反應器對高鹽廢水有機物凈化具有顯著優勢。比較實驗B和C的炭室凈化效果發現,活性炭是否更換對TOC的凈化效率影響較小。該現象表明活性炭在該原電池反應器中無需更換,可以重復使用。
2)反應器凈化原理分析。依據鐵水體系的pH-電位相圖以及本課題組測定的鐵電極電勢,本研究中鐵室不會出現Fe3+,只有Fe2+。本研究在實驗結束后對鐵室粉末固體進行分離、干燥、煅燒與稱重。同時對煅燒粉末進行了X射線衍射(XRD)分析,發現粉末中只有鐵粉和氧化鐵(圖3)。依據質量衡算,鐵室對單位體積高鹽廢水5h處理所消耗的鐵粉質量為6.4~6.9kg·m−3。依據廢水pH以及氫氧化亞鐵溶度積,理論分析鐵室應該會生成氫氧化亞鐵。根據文獻,炭室電極電勢可達0.80V以上,而氧氣與氫離子生成雙氧水的標準電極電勢約為0.68V,顯然,炭室會產生雙氧水。

綜上所述,本鐵炭原電池反應器對高鹽廢水有機物的去除途徑為:鐵室主要通過電化學氧化還原、鐵單質的化學氧化還原以及氫氧化亞鐵吸附;炭室主要通過電化學氧化還原、活性炭吸附以及雙氧水化學氧化還原。
2.2 反應器操作模式對TOC去除率的影響
圖4(a)和圖4(b)為不同操作模式下鐵室和炭室對廢水TOC的去除率變化趨勢。在3種模式下,鐵室和炭室中廢水TOC去除率均逐漸上升。總體上,無論是鐵室還是炭室,半連續操作模式下高鹽廢水TOC去除效率最高,間歇模式的凈化效果相對要差一些。間歇模式、連續模式以及半連續模式下,5h后鐵室廢水TOC去除率分別為92.6%、94.0%和98.8%,炭室廢水TOC去除率分別為93.5%、94.9%和99.2%。由此可見,鐵炭原電池反應器的半連續操作模式為最佳模式。因此,后續實驗中選擇半連續操作模式,在此基礎上考察固液比、廢水pH以及廢水流量對廢水有機物凈化的影響規律。

2.3 操作條件對TOC去除率的影響
1)固液比的影響。
圖5(a)和圖5(b)為不同固液比時鐵室和炭室對廢水TOC去除率的變化趨勢。可見,鐵室和炭室對廢水TOC的去除率均隨時間的增加而上升。鐵室以及炭室對高鹽廢水中有機物的去除效率隨固液比增加而升高。在固液比分別為5%、10%和15%時,5h后鐵室對廢水TOC去除率分別為93.2%、94.9%和98.8%,而炭室對廢水TOC去除率分別為96.1%、97.8%和99.2%。顯然,高固液比有利于鐵室和炭室對廢水中TOC的去除。其原因是固液比的增加使得相同體積的廢水中的單質鐵和活性炭濃度上升,與鐵電極和石墨電極的接觸和碰撞概率更高,電化學反應場所擴大,電子轉移數量增加,廢水有機物的去除速率增加。因此,增加鐵炭原電池反應器的固液比有利于提升對高鹽廢水中TOC的去除率。

2)初始pH的影響。
圖6(a)和圖6(b)分別為pH對鐵室和炭室廢水TOC的去除率的影響趨勢。3種不同pH情況下,鐵室和炭室中廢水TOC的去除率均隨時間延長而上升。總體上,前4h時pH較低時的去除率曲線位于最上面,而pH較高時TOC去除率曲線位于下面。但5h后,pH對廢水TOC的去除率影響不大。廢水pH為1.0、1.3和1.7時,5h后鐵室對廢水TOC去除率分別為98.7%、98.8%和98.8%,而炭室對廢水TOC的去除率分別為99.2%、99.0%和99.2%。廢水pH會影響鐵室和炭室的氧化還原性能和電極電位,最終影響廢水中有機物的去除。依據廢水TOC的去除效果,選擇原始廢水pH為佳。

3)進水流量的影響。
圖7(a)和圖7(b)為進水流量對廢水TOC的去除率的影響情況。總體上,處理的前4h無論是鐵室還是炭室,當廢水流量較低時,對應的TOC去除率要高一些。然而在5h后則是廢水流量較高時廢水TOC去除率要稍高一些,但差異性并不大。當流量為0.3、0.6和1.0mL·min−1時,5h后鐵室廢水TOC去除率分別為98.5%、98.6%和98.8%,炭室廢水TOC去除率分別為98.9%和99.1%和99.2%。TOC去除率隨流量變化的原因應該與物料流動狀態、有機物負荷以及氫離子含量有關。依據廢水有機物去除效率以及廢水處理體積,選擇1.0mL·min−1的為最佳流量。

3、結論
1)鐵炭原電池反應器對于高鹽廢水有機物具有顯著的凈化效果,其凈化效率遠高于單純的鐵粉處理,明顯優于傳統鐵炭微電解,也優于活性炭吸附方法。
2)鐵室和炭室主要通過電化學氧化還原、吸附與化學氧化還原作用對高鹽廢水有機物進行去除。該反應器主要消耗鐵粉,而活性炭可重復使用。
3)在固液比為15%、pH為1.7、流量1.0mL·mim−1的較佳操作條件下,鐵炭原電池反應器的鐵室和炭室的最佳操作方式為半連續模式。
4)在固液比為15%、pH為1.7、流量1.0mL·mim−1操作條件下,鐵炭原電池反應器的鐵室對高鹽廢水TOC的去除率可達98.7%以上,而炭室對高鹽廢水TOC的去除率可達99.1%以上。(來源:天津大學環境科學與工程學院)



