1 引言
隨著城市規模的擴大和污水處理廠處理效率的提高,剩余污泥產量逐年增加.據統計,我國城市污泥年產量已達3000萬噸(以80%含水率計),其中80%未得到妥善處理.在眾多的污泥處理方法中,厭氧消化技術能夠同時實現污泥減量和回收能源,在國內外得到了廣泛應用.然而,目前污泥厭氧消化的效率不高,尤其是我國污水處理廠厭氧消化池的運行效果不夠理想,設計和運行缺乏理論指導.對于一個厭氧消化系統,物料的流變特性是工藝設計和運行中的重要參數,對傳質、傳熱、攪拌和物料輸送等厭氧消化單元有重要意義.在厭氧消化過程單元設計中,必須清楚原料的流體類型,計算出原料的流變參數,才能對厭氧消化、特別是高濃度物料厭氧消化進行合理的工藝設計以及設備選用與開發.此外,原料的流變特性也是厭氧消化工藝控制的重要依據.
由于流變特性在厭氧消化工藝設計和運行中的重要作用,一些學者對污泥的流變特性做了初步研究.Pollice和Laera研究了在不同水力停留時間下污泥以黏度表征的流變特性.Chen和Hashimoto對新鮮污泥的流變特性進行了研究,試驗的濃度變化范圍是2.71%~6.53%,溫度變化范圍為 9.5~26 ℃,這個較低的濃度和溫度變化范圍不能適應如今廣泛使用的中高溫(>35 ℃)、高濃度(>8%)厭氧消化.Sozanski 等用旋轉流變儀對污泥進行流變試驗研究,對流變曲線進行分析,設計了流變模型,并針對模型給出了經驗公式和一些預測參數值來探討污泥在不同濃度和溫度下的流變特性.Bos使用毛細管流變儀和旋轉流變儀對污泥流變特性進行試驗研究,建立了溫度和含水率對污泥流變特性影響的流變方程.
目前,關于污泥厭氧消化原料流變特性的研究主要集中在污泥本身,而對于餐廚垃圾與污泥混合物料的流變特性研究,國內外卻鮮有報道.近年來,國內外采用餐廚垃圾與污泥聯合厭氧發酵的研究及沼氣工程日益增多,大部分研究都集中在餐廚垃圾對泥質的改善方面,而對于添加餐廚垃圾對污泥流變特性的影響研究卻很少,導致混合發酵原料流變特性參數仍然缺乏,制約了厭氧消化單元過程的優化設計.
本文對4種主要的厭氧消化原料——脫水污泥、脫水污泥與餐廚垃圾混合物、剩余污泥以及剩余污泥與餐廚垃圾混合物的流變特性進行了研究,考察了物料濃度和溫度對流變特性參數的影響,并擬合了相應模型,以期為厭氧消化設備選用及工藝設計提供基礎參數.
2 材料和方法
2.1 試驗材料
脫水污泥(dewatered sludge,以下簡稱DS)和剩余污泥(waste activated sludge,以下簡稱WAS)取自天津市張貴莊污水處理廠,餐廚垃圾取自天津大學學生食堂,原料取回后保存于4 ℃冰箱冷藏待用,餐廚垃圾首先經人工分選出其中的雜物,包括塑料、紙類及骨頭等,然后用破碎機破碎后攪勻冷藏.DS的總固體濃度(TS)和揮發性固體濃度(VS)分別為16.4%和9.4%,WAS的TS和VS濃度分別為2.6%和1.4%,破碎后餐廚垃圾的TS和VS濃度分別為19.3%和18.9%.
2.2 試驗方法
2.2.1 固體濃度對原料流變特性影響
根據原料的起始 TS濃度,用蒸餾水分別將DS、DS與餐廚垃圾按TS 4 ∶ 1混合的混合物(the mixture of dewatered sludge and food waste,以下簡稱MDF)配制成TS濃度分別為1%、3%、5%、8%和10%的混合液裝于500 mL 燒杯中;用恒溫水浴鍋控制混合液溫度為35 ℃,樣品經過攪拌之后,用旋轉黏度計(NDJ5-S,中國上海)測量 4 個攪拌轉速(6、12、30、60 r · min-1)下的黏度,待讀數基本穩定時,每10 s 讀數1次,共讀取7個黏度值,取算術平均值.
由于WAS的流體稠度系數(K)較高,在濃度大于5%時,物料的黏度急劇增大,不利于污泥厭氧消化的進行,并且污水廠WAS濃縮后濃度一般在3%~5%,所以對于WAS流變特性的研究只在較低濃度下進行.根據原料的起始TS,用蒸餾水或離心機分別將WAS、WAS與餐廚垃圾按TS 4 ∶ 1混合的混合物(the mixture of waste activated sludge and food waste,以下簡稱MWF)配制成TS濃度分別為1%、3%和5%的混合液裝于500 mL燒杯中,黏度測量方法同上.
2.2.2 溫度對原料流變特性影響
將上述4種原料配制成TS為5%的混合液并裝于 500 mL 燒杯中,用恒溫水浴鍋將混合液溫度分別控制在 15、25、35、45 ℃和55 ℃條件下,用旋轉黏度計測量黏度.
黏度隨溫度變化趨勢采用線性模型描述,如式(1)所示.
式中,μ為表觀黏度(mPa · s);t為溫度(℃).
3 結果與討論
3.1 4種發酵原料的流變特性
黏度是反映原料流變特性的重要指標.根據流體黏度的變化規律,可將流體分為兩大類:在一定溫度下,流體的黏度值不隨剪切速率變化而變化,為一常數,這類流體稱為牛頓流體;在一定溫度下,其黏度值隨剪切速率的變化而變化,這類流體稱為非牛頓流體.
非牛頓流體極為普遍,廣泛存在于化工、食品及建筑材料、生物醫學等領域.由于與牛頓流體相比,非牛頓流體的流變特性極為復雜,在研究過程中經常會遇到各種困難.因此,到目前為止,對于非牛頓流體的研究還很少,而針對污泥以及餐廚垃圾與污泥混合物的研究則更少.由于非牛頓流體的普遍性及其流變特性的復雜性,在研究過程中,逐漸形成了一些描述非牛頓流體剪切應力和剪切速率之間關系的非牛頓流體流變模型,常用的非牛頓流體流變模型主要有冪律方程(Power-law model)、賓漢方程(Bingham model)、Herschel-Bulkley方程、Cassion方程、Sisko方程等(李學哲等,2009).張新瑜等(2008)通過實驗驗證了活性污泥的流變特性符合 Ostwald de Vaele 模型.Hasar(2004)研究了MBR反應器中活性污泥的流變特性,結果表明,低剪切速率范圍內活性污泥最適合的流動模型是Ostwald de Vaele 模型.Ostwald de Vaele 模型又稱沒有屈服應力的冪律模型,是最常用的模型之一,而本次試驗所選取的剪切速率(6~60 r · min-1)屬于低剪切速率范圍,因此可以使用冪律方程(如式2)來描述其流變特性.
式中:μ為表觀黏度(mPa · s); N 為轉速(r · s-1); K為流體稠度系數(Pa · sn); n為流體流變指數(無因次).
根據式(2),測定不同轉速條件下的原料黏度,由冪律方程擬合得到4種發酵原料的流變特性參數,如表 1所示.流變指數n是衡量實際流體與牛頓流體相似程度的指標.當n為1時,此時流體為牛頓流體;n小于1時,流體為假塑性或者剪切變稀流體;n大于1時,流體為膨脹塑性或者剪切增稠流體.從表 1中可以看出,4種原料的流變指數n都小于1,在 TS 為 5%、溫度為35 ℃條件下都為假塑性流體(陳志平等,2004).造成這4種原料呈現明顯的假塑性流體性質的原因可能是污泥主要由微生物聚集體(即活性污泥菌膠團)、廢水帶入的無機性沉渣、少量未降的有機物等大分子物質和大量的水分組成,污泥混合液中大分子物質的存在會使原料在受到剪切后發生分子的重排,分子趨向與流動方向一致,流動阻力下降,從而使表觀黏度在剪切速率增大時減小(劉刈等,2009).4種原料中WAS的流變指數最小,剩餐的最大,這說明在 TS 為 5%、溫度為35 ℃條件下4種原料中MWF的流變性質最接近牛頓流體,而WAS偏離牛頓流體的程度最大.此外,4種原料中MDF的黏度最小,WAS的黏度最大,而流體稠度系數作為黏度的量度,使得通過擬合的得到的4種原料的流體稠度系數中MDF最小,WAS最大.
表1 4種發酵原料在 TS=5%、35 ℃條件下的流變指數(n)、流體稠度系數(K)和黏度(μ)
3.2 TS對4種原料流變特性的影響
3.2.1 TS對黏度的影響
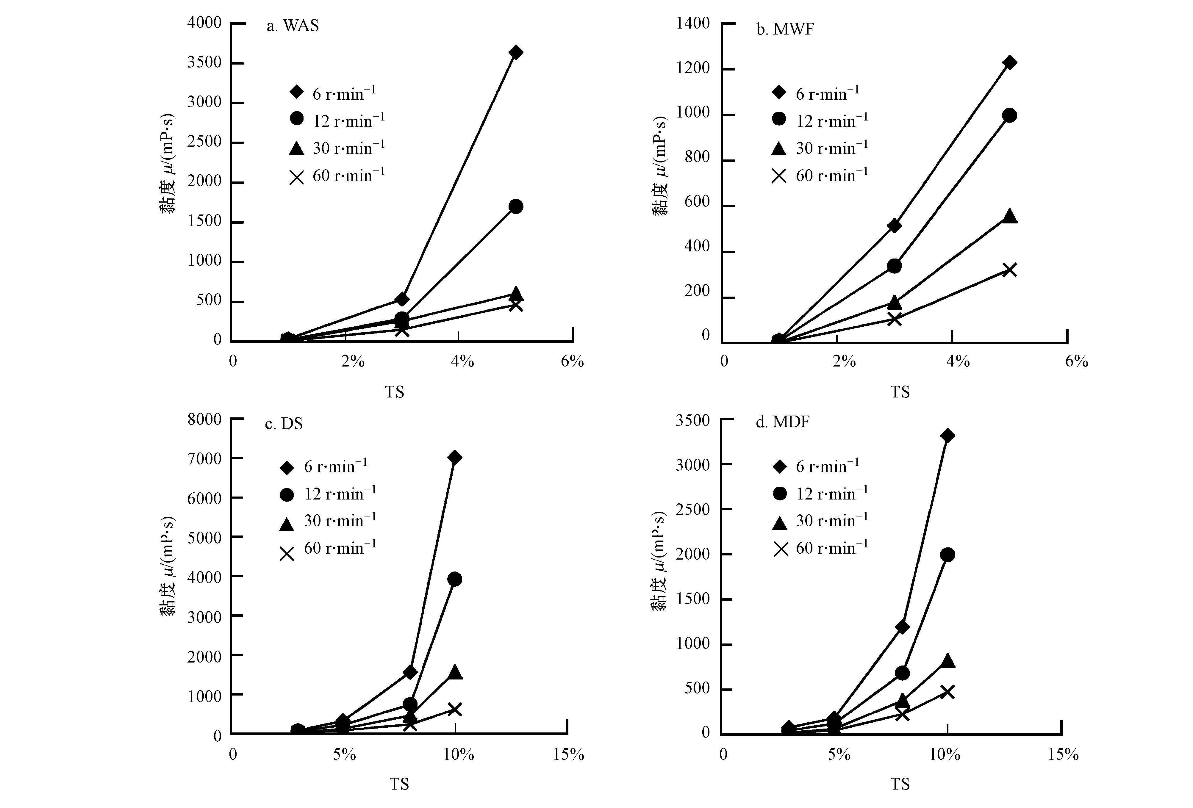
4種發酵原料在不同剪切速率條件下的黏度隨TS濃度的變化如圖 1所示.其中,DS與MDF在TS為1%時,黏度很小,已經超出了旋轉黏度計的測量范圍,故未在圖 1中表示.由圖 1可以看出,隨著TS濃度的升高,4種發酵原料的黏度隨之增大,并呈現出對數增長的趨勢.這說明,TS濃度越高,污泥中的絮體結構相互連接形成的網絡結構越緊密,從而使得表觀黏度越大(Monteiro,1997).此外,由圖 1還可以得出,隨著剪切速率的增大、原料濃度的減小,原料黏度降低的幅度就越大,呈現出剪切變稀的現象;而相關研究表明,污泥的表觀黏度隨剪切速率的增加而降低(李學哲等,2009;Yang et al., 2009;張新瑜等,2008;董玉婧等,2012;Klinksieg et al., 2007; Aranowski et al., 2010),這是假塑性流體的性質之一,可見這4種原料屬于假塑性流體.
Guibaud等認為污泥混合液之所以具有假塑性流體等非牛頓流特性可能是由于轉子的剪切作用,使得原本不均勻的污泥顆粒產生定向流或者是使得污泥絮體解絮以致表觀黏度下降而造成的(Guibaud et al., 2004).
圖1 35 ℃條件下4種發酵原料黏度隨濃度的變化
3.2.2 TS對流變指數的影響
目前,大中型沼氣工程發酵原料濃度差別很大,不同的原料、水力停留時間都會造成厭氧消化罐內的濃度差別,濃度變化從低濃度物料的 2%到目前高濃度厭氧消化進料濃度 10%左右(鄧良偉等,2007),所以有必要考察固體濃度對發酵原料流變特性的影響.
由圖 2可以看出在60 r · min-1剪切速度下添加餐廚垃圾后的MWF和MDF的黏度較相應的純泥而言都有所降低,一方面可能是由于餐廚垃圾的含水率較原泥的含水率低,在配制混合液時會加入更多的水稀釋,從而導致黏度的降低;另一方面通過對TS為3%、5%、8%濃度的餐廚垃圾進行黏度的測量,發現黏度值均在50 mPa · s以下,因此推測將一種很低黏度的流體混入相對較高黏度流體后,可能會使得混合液黏度變小.在TS為5%時,DS和MDF的黏度明顯小于WAS和MWF.本課題組前期試驗結果顯示,在TS為5%濃度下分別對MWF和MDF進行聯合厭氧發酵實驗,MDF與MWF混合厭氧發酵平均日產氣量分別為411.5 mL · L-1 · d-1、256.2 mL · L-1 · d-1,MDF厭氧發酵日產氣量是MWF的1.6倍.MDF比MWF的產氣性能好,這可能跟MDF的黏度較低,便于物料與反應器中基質和微生物混合有關.由圖 2還可以看出,DS和MDF的黏度在TS=1%到TS=8%的濃度區間內變化較為緩慢,但當TS從8%增長到10%時,物料的黏度急劇增大,因此對于高濃度物料的消化系統而言,如果物料不進行預處理,TS=8%是一個較為利于厭氧消化的濃度條件.
圖2 不同TS濃度條件下4種原料黏度的比較以及變化(35 ℃、剪切速度60 r · min-1)
由圖 3可以看出,4種原料的流變指數均隨TS濃度升高而呈先升高后降低的趨勢,不同的是WAS和MWF是在TS=3%時流變指數最大,而DS和MDF是在TS=5%時流變指數最大.造成這種差異的原因可能是WAS和DS組成成分不同做造成的.WAS和MWF在TS=3%時更接近牛頓流體,說明在TS=3%時厭氧消化系統中傳質和傳熱效果較好,有利于厭氧消化過程的進行.而對于DS和MDF而言,TS=5%時流變指數最大,同樣在這個濃度下也有利于物料的混合,這也從另一方面解釋了前期發酵試驗中在TS為5%濃度下MDF比MWF的產氣性能好的原因.
圖3 不同 TS 濃度條件下4種原料的流變指數n的變化(35 ℃、剪切速度60 r · min-1)
3.3 溫度對流變特性的影響
3.3.1 溫度對黏度的影響
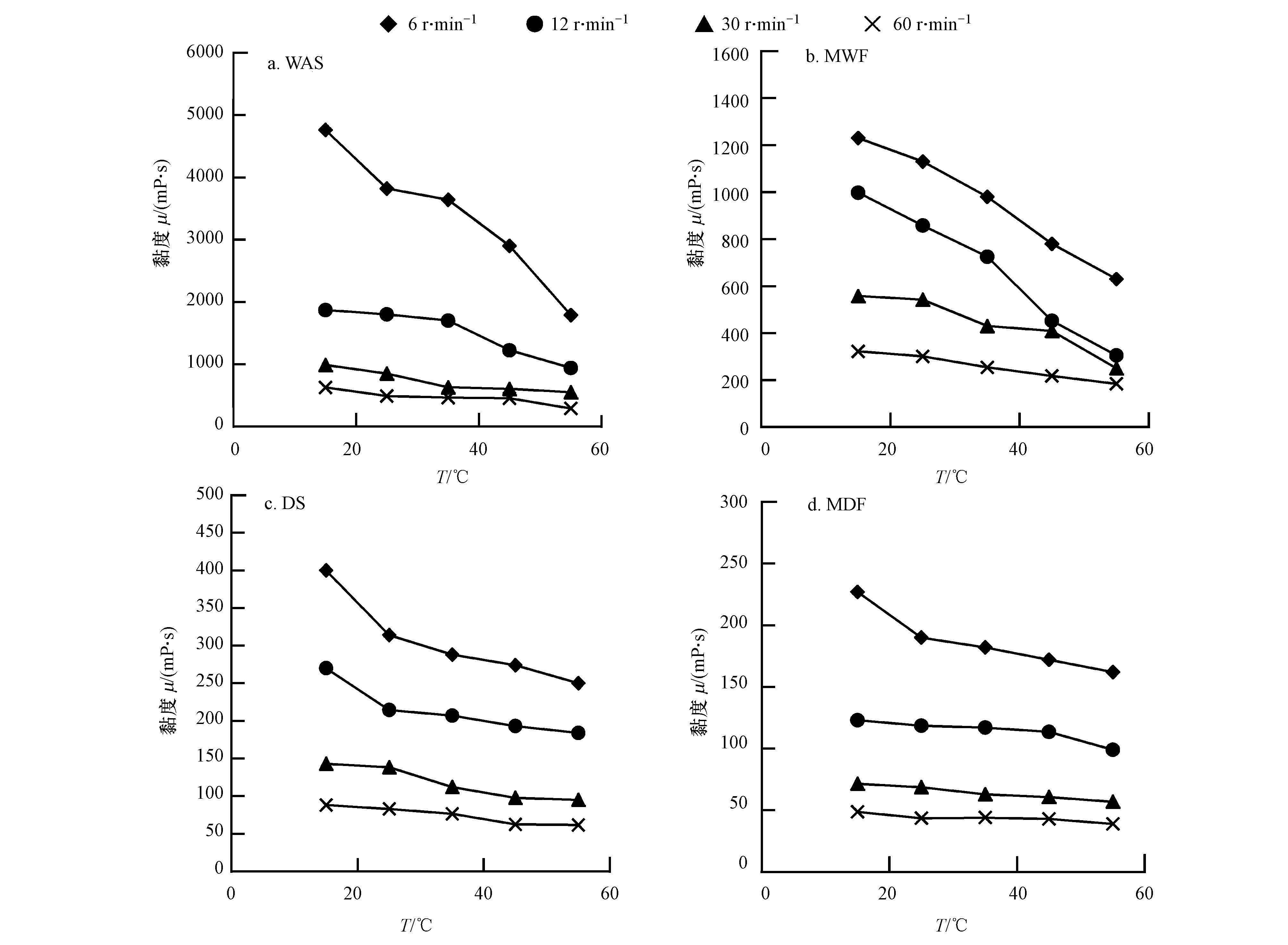
4種發酵原料在不同剪 切速率條件下的黏度隨溫度的變化如圖 4所示.由圖 4可以看出,這4種原料黏度隨溫度變化基本符合線性關系.4種原料的黏度隨著溫度的升高而下降;剪切速率越低黏度越大,且下降的幅度越大.出現這種現象的原因是隨著溫度的升高,污泥的活性成分被激活,會表現出剪切稀化現象,含水率越高,流變參數就越低(張曉斌,2014).而從現有的研究顯示,高溫發酵或對發酵原料進行高溫熱處理后再進行發酵的工藝,單位VS產氣量均高于中溫發酵;造成這種結果的原因除了在高溫條件下原料內大分子物質水解程度較高外,還可能是高溫條件下原料的黏度較低,使得混合更加充分,從而使得產氣效率較高.
圖4 4種原料黏度隨溫度的變化(TS=5%)
3.3.2 溫度對流變指數的影響
TS為5%時4種原料流變指數隨溫度的變化情況如圖 5所示.由圖 5可以看出4種原料的流變指數隨著溫度的升高而增大.這說明溫度越高,這4種原料的流變性質越接近牛頓流體.在這4種原料中,可以明顯的看出WAS的流變指數最小,偏離牛頓流體的程度最大;MWF的流變指數最大,最趨向于牛頓流體.通過對原始餐廚垃圾的流變特性分析,含水率為81.54%的未稀釋餐廚的黏度為1814 mPa · s,流變指數為0.6177,流變指數大于本文所研究的4種原料的任何1種;可能是餐廚垃圾較純污泥更趨向于牛頓流體,餐廚垃圾的加入導致污泥流變特性的改變,使得混合液較純泥更趨向于牛頓流體.DS的流變指數升高的幅度較大,其余3種原料升高的幅度較小.這說明相對于其他3種原料,DS的黏度對溫度變化更敏感.具體參見污水寶商城資料或http://www.xhxdt.com更多相關技術文檔。
圖5 4種原料流變指數n隨溫度的變化(TS=5%)
4 結論
1)隨著固體濃度由1%升高到10%,4種消化原料的黏度隨之增大,并呈現出對數增長的趨勢.此外,隨著剪切速率的增大,原料的濃度越小,黏度降低的幅度就越大,呈現出剪切變稀的現象.
2)隨著固體濃度由1%升高到10%,4種厭氧消化原料的流變指數呈先升高后降低的趨勢,WAS和MDF在TS=3%時流變指數最大,而DS和MDF在TS=5%時流變指數最大.
3)4種厭氧消化原料在總固體(TS)濃度為 5%、35 ℃條件下都為低黏度假塑性流體,MWF的流變特性最接近牛頓流體,而WAS偏離牛頓流體的程度最大;添加餐廚可以改變污泥的流變特性,使其黏度減小,流變指數增大.
4)當溫度由15 ℃升高到55 ℃時,4種原料的流變指數也隨之增大,這說明隨著溫度的升高,這4種原料的流變性質趨向于接近牛頓流體;DS的流變指數升高的幅度較大,其余3種原料升高的幅度較小,說明DS的黏度對溫度變化更敏感.


