1 引言
污水中氮的去除主要通過硝化反硝化過程.其中,硝化主要是氨氧化菌(AOB)硝化氨氮(NH4+-N)為亞硝酸鹽氮(NO2--N),進而由亞硝酸氧化菌(NOB)硝化NO2--N為硝酸鹽(NO3--N).反硝化過程則主要是把硝態氮依次還原為氮氣.目前,高氨氮廢水脫氮工藝主要包括短程硝化反硝化、厭氧氨氧化、完全自養硝化反硝化(CANON)和低溶解氧(DO)條件下自養硝化反硝化(OLAND)等.此類處理工藝的重點為控制硝化NH4+-N為NO2--N,而后以NO2--N為電子受體轉化為氮氣(N2).與傳統硝化反硝化工藝相比,此類短程硝化反硝化工藝的優點包括:好氧條件下節省曝氣量,缺氧條件下節省電子供體,以NO2--N為電子受體時反硝化速率比以NO3--N為電子受體高,可大大減少CO2釋放量及污泥產量等.
通過短程硝化實現NO2--N積累,關鍵是抑制NOB活性而維持AOB活性.影響NOB活性的因素包括DO、溫度、pH值、水力停留時間(HRT)、游離氨(FA)和游離亞硝酸(FNA)等(Wang et al., 2014).其中,DO經常作為控制亞硝化的關鍵參數.盡管短程硝化具有節省能耗和碳源等優勢,但短程硝化過程中NO2--N積累可能促進溫室氣體氧化亞氮(N2O)的釋放,導致二次污染(Kim et al., 2010).因此,研究短程硝化過程中N2O的釋放規律,對控制溫室氣體N2O的排放具有指導意義.
高氨氮廢水短程硝化過程中,N2O釋放主要通過硝化菌好氧反硝化(Kim et al., 2010)及羥胺化學和/或生物氧化作用(Poughon et al., 2001; Stüven et al., 1992).一般認為,短程硝化過程中N2O釋放量主要由高NO2--N濃度和低DO濃度導致.大多數研究認為高NO2--N濃度會促進N2O釋放(Kim et al., 2010);Pijuan等(2014)研究發現,當AOB經馴化適應高NO2--N濃度后,NO2--N濃度對硝化過程中N2O釋放影響較小.Tallec等(2006)的研究表明,當DO濃度小于2 mg · L-1時,N2O釋放隨DO濃度降低而升高,在1 mg · L-1時N2O釋放率最大.Quan等(2012)也發現在曝氣量為0.2、0.6和1.0 L · min-1條件下,N2O釋放量隨著曝氣量降低而升高. 因此,本試驗采用序批式反應器(SBR)處理高氨氮廢水,逐步提高廢水氨氮(NH4+-N)濃度到800 mg · L-1,通過控制曝氣量實現短程硝化,以進一步研究亞硝化過程中曝氣量和NO2--N濃度對硝化菌釋放N2O的影響.
2 材料與方法
試驗采用序批式反應器(SBR)處理高氨氮廢水,通過逐步提高進水氨氮濃度(也即進水氨氮負荷)的方法,馴化硝化菌群并實現亞硝化.當出水NH4+-N/NO2--N比值穩定在1.0左右后,采用SBR反應器中馴化的活性污泥,研究曝氣量和初始NO2--N濃度對活性污泥硝化過程中N2O釋放的影響.
2.1 SBR反應器
采用高為50 cm和直徑為15 cm的圓柱有機玻璃SBR反應器,有效容積為6 L.反應器溫度通過防爆電熱保溫加熱棒控制在30 ℃,采用微孔曝氣器曝氣和攪拌器攪拌.反應器運行周期為4 h,包括3 h曝氣(含有10 min進水)、45 min靜置和15 min出水.反應器進水和排水通過定時器控制蠕動泵,每周期進水3 L,排水3 L.水力停留時間為8 h.反應器接種污泥在馴化前,已采用進水NH4+-N濃度為200 mg · L-1的高氨氮廢水穩定運行了3個多月;硝化菌在運行初期采用污泥齡為10 d,運行3個污泥齡后不再排泥.為維持高濃度硝化菌,在本試驗運行過程中,沒有從反應器排泥.
2.2 試驗廢水
試驗采用模擬廢水,主要成分為NH4Cl、NaHCO3、Na2HPO4、CaCl2、MgSO4 · 7H2O、酵母浸膏和微量元素(Smolders et al., 1994)等.初始進水NH4+-N濃度約為400 mg · L-1,隨著反應器穩定運行,逐步提高進水NH4+-N濃度至約800 mg · L-1.
2.3 靜態試驗
靜態試驗反應器為密閉良好的絲口玻璃瓶(容積為500 mL,試驗時定容到400 mL,見裝置圖 1),用橡膠塞塞住.在橡膠塞上開孔接入3根密封性良好的硅膠管,便于取水樣、取氣樣(同時測定氣體流量)和曝氣.試驗過程中,將絲口玻璃瓶置于水浴中,保證靜態反應器與SBR反應器溫度相同.使用磁力攪拌器維持瓶內混合液處于完全混合狀態.
圖1 靜態試驗反應器裝置示意圖
曝氣量對硝化過程中N2O釋放的影響:首先,在反應器曝氣階段結束前取出活性污泥160 mL,離心后棄去上清液,用初始NH4+-N濃度為100 mg · L-1的原水重新懸浮到400 mL絲口瓶中;接著用預先調好的曝氣器(曝氣量分別為0.22、0.44、0.66和0.88 L · min-1)曝氣,反應時間為1 h,每隔10 min取水樣與氣樣同時測定DO及pH值,最后監測水樣和氣樣.
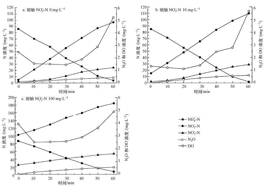
初始NO2--N濃度對硝化過程中N2O釋放的影響:試驗方法與不同曝氣量對N2O釋放影響試驗相同,初始NO2--N濃度分別采用0、10和100 mg · L-1,曝氣量為0.66 L · min-1.
2.4 分析方法
水樣經離心后取上清液測定NH4+-N、NO2--N和NO3--N.NH4+-N采用納氏試劑分光光度法測定,NO2--N采用N-(1-萘基)-乙二胺光度法測定,NO3--N采用紫外分光光度法測定,其他參數如污泥濃度(MLSS)等均參照水和廢水監測分析方法測定(國家環境保護總局,2002).DO和pH值采用便攜式溶解氧儀(oxi 315i,WTW,德國)和pH計(pH3110,WTW,德國)測定.
N2O采用安捷倫6820型氣相色譜分析儀(Agilent Technologies,USA)進行分析.氣相色譜配有ECD檢測器和HP-PLOT/Q毛細管柱(J&W GC Columns,Agilent Technologies,USA).氣相色譜檢測條件為:進樣口溫度為50 ℃,柱溫為50 ℃,ECD檢測器溫度為300 ℃;載氣為高純氮氣,流速為15 mL · min-1.采用外標法定量N2O濃度,N2O標準氣體純度為99.99%.
硝化動力學主要通過對測得試驗數據進行直線擬合,利用直線斜率和測定的MLSS作比,求得反應速率.具體動力學參數如下:rNH4+-N為NH4+-N氧化速率(mg · g-1 · h-1),用以表征AOB活性;rNO2--N為NO2--N生成速率(mg · g-1 · h-1);rNO3--N為NO3--N生成速率(mg · g-1 · h-1),用以表征NOB活性;rN2O-N為N2O-N生成速率(mg · g-1 · h-1);rNH4+-N/rNO3--N為NH4+-N氧化速率與NO3--N生成速率之比;rN2O-N/rNH4+-N為N2O釋放因子.
3 結果與討論
3.1 反應器馴化及其周期試驗
反應器長期馴化過程中出水氮濃度的變化如圖 2所示.馴化開始時進水NH4+-N濃度為400 mg · L-1,反應器曝氣量為1.9 L · min-1.初始15 d內出水基本檢測不到NH4+-N,NO2--N逐漸積累,而NO3--N濃度逐漸降低.在第15 d時,由于試驗運行不當,導致隨后11 d內出水NH4+-N不能完全硝化完,但NOB一直處于抑制狀態.在第27 d時,更換了新的微孔曝氣頭,同時曝氣量提高到4 L · min-1,出水NH4+-N可以完全硝化.在第31 d,進一步提高進水NH4+-N濃度到800 mg · L-1,反應器出水氨氮濃度也達到較高濃度,硝態氮主要以NO2--N為主,工藝具有很好的亞硝化特征.
圖2 SBR反應器長期馴化過程中出水氮濃度變化
周期試驗結果如圖 3所示.周期變化過程中,NH4+-N主要轉化為NO2--N和少量的NO3--N;而且N2O釋放量一直在增加,周期末達到了16 mg · L-1.通過計算得到周期內N2O釋放因子為9.8%.周期內DO小于0.5 mg · L-1,處于較低濃度.因此,分析N2O釋放較高的原因如下:首先,在較低DO濃度條件下,AOB競爭DO能力高于NOB,從而抑制NOB活性,導致NO2--N積累(Bernet et al., 2001),進而導致N2O釋放增加;其次,本試驗pH值處于8~9之間,計算得到FA濃度在157.3~202.1 mg · L-1之間,FNA濃度在0.00276~0.00360 mg · L-1之間,高pH值條件下FA濃度較高,抑制NOB活性進而導致NO2--N積累和促進N2O釋放;最后,Fukumoto等(2006)研究得到NO2--N積累導致N2O釋放增加,周期過程中NO2--N濃度一直較高(在195~330 mg · L-1之間),可能促使AOB發生好氧反硝化釋放N2O(Wrage et al., 2001).因此,周期中N2O釋放較高主要由低DO、高FA和高NO2--N濃度導致.
圖3 典型周期內各種N濃度和DO變化
3.2 不同曝氣量條件下N2O釋放特征
不同曝氣量條件下N2O釋放情況如圖 4所示.當曝氣量為0.22 L · min-1時,初始NH4+-N濃度為84.5 mg · L-1,在此低DO濃度下NH4+-N沒有硝化完畢,主要轉化為NO2--N,同時N2O釋放量較低.當曝氣量分別在0.66和0.88 L · min-1時,測得初始DO濃度在2 mg · L-1左右,隨后DO濃度開始上升.在高DO濃度條件下,NH4+-N硝化速率較快,在1 h內幾乎硝化完全,也主要轉化為NO2--N,同時N2O釋放量也較少.
圖4 馴化硝化菌在不同曝氣量條件下N2O釋放情況
表 1列出了不同曝氣量條件下硝化過程動力學參數.當曝氣量在0.22 L · min-1和0.44 L · min-1時,AOB和NOB活性沒有明顯變化,但當曝氣量增加到0.66 L · min-1和0.88 L · min-1后,二者活性比前兩個條件下提高了1倍;這可能是由于DO濃度增加導致AOB和NOB活性提高.在4種曝氣量條件下,由AOB與NOB活性比值發現,AOB活性是NOB活性的4~5倍,說明馴化的硝化菌群中AOB活性遠大于NOB.同時,4種條件下N2O釋放因子都較小,均低于1%,小于周期試驗相應數值.其原因可能是相對于周期試驗,DO(0.6 ~2 mg · L-1)和FA(2.18~34.59 mg · L-1)共同導致AOB活性相對較高,AOB活性保持在40.0 mg · g-1 · h-1左右(以NH4+-N計),比周期試驗中AOB活性12.5 mg · g-1 · h-1(以NH4+-N計)高很多.Wu等(2014)發現當AOB活性高于20.0 mg · g-1 · h-1時,N2O釋放因子相對較低,與本研究試驗結果相符.
表1 不同曝氣量條件下硝化動力學參數
3.3 不同初始NO2--N濃度條件下N2O釋放特征
圖 5是在初始NO2--N濃度為0、10和100 mg · L-1條件下N、DO及pH值的變化.DO濃度保持在2 mg · L-1左右,pH值在8~9范圍內.硝化過程中,NH4+-N主要轉化為NO2--N,僅有少量NO3--N生成和N2O釋放.即使當初始NO2--N濃度增加到100 mg · L-1,NH4+-N轉化和低NO2--N濃度條件下一樣,N2O釋放量仍比較低.
圖5 不同初始NO2--N濃度條件下N2O的釋放情況
表 2是不同初始NO2--N濃度條件下硝化動力學參數.初始NO2--N濃度增加對AOB與NOB活性影響較小.隨著初始NO2--N濃度增加,N2O釋放因子沒有明顯的變化,均在1%以下.在不同初始NO2-N濃度對N2O釋放影響試驗中,由于DO濃度大于2 mg · L-1,而且FA濃度在1.24~30.38 mg · L-1之間變化;相對于周期試驗,DO濃度較高而且FA濃度較低,二者均使得AOB活性較高,從而導致N2O釋放率較低.具體參見污水寶商城資料或http://www.xhxdt.com更多相關技術文檔。
表2 不同初始NO2--N濃度條件下硝化動力學參數
4 結論
1)高氨氮廢水短程硝化周期條件下,高濃度FA和低DO導致AOB活性較低,進而促進AOB以NO2--N作為電子受體進行好氧反硝化釋放N2O,其釋放因子為9.8%.
2)當曝氣量在0.22~0.88 L · min-1之間變化時,DO濃度增加促進AOB和NOB活性提高.而在曝氣量為0.66 L · min-1條件下,不同初始NO2--N濃度對AOB和NOB活性影響較小.
3)不同曝氣量(0.22~0.88 L · min-1)或不同初始NO2--N濃度(0~100 mg · L-1)條件下,N2O釋放率均低于1%,其釋放率分別為0.51%~0.85%和0.50%~0.71%.


