1 引言
污水污泥中含有大量的有機質,很多學者都認為將其作為原料制備多孔污泥碳(SC)是一種合理的污泥資源化方法.Velghe等發現污泥中的無機成分主要以氧化物或鹽的形式存在,在碳化過程中小部分無機成分熱分解或揮發,在SC骨架的表面形成多孔結構,大部分的無機成分仍然留在SC中.很多研究者認為,無機成分的洗脫(酸洗)對提高SC的比表面積、孔容積具有重要作用.但是,所有的研究中都把酸洗液直接排掉或經過中和之后排放.酸洗液中含有大量有用的金屬離子,如Al3+、Fe3+、Ca2+和Mg2+等,如果能加以回收利用,是提高污泥價值、避免二次污染的科學選擇.因此,在前期的工作中,本研究小組以污泥為原料制備了SC,利用鹽酸對可溶性無機成分進行了充分洗脫;對收集的酸洗液進行分步除雜后,可以利用提純的鋁酸鈉溶液制備出納米Al(OH)3材料,并考察了沉淀反應終點pH值對Al(OH)3材料性質的影響;此研究實現了污泥中Al3+的回收,為剩余污泥的處置與處理找到一條化害為利、變廢為寶的合理出路.
在前期的研究中發現,以污泥-鋁酸鈉溶液為鋁源制備的Al(OH)3膠粒的尺寸、結構不易控制,且由于顆粒間靜電引力、顆粒表面羥基易與自由水分子形成氫鍵等原因,易發生顆粒的團聚現象.為了解決這些問題,本文在制備Al(OH)3的過程中加入表面活性劑聚乙二醇-1000(PEG-1000),并對實驗條件進行優化,探討表面活性劑的限制效應、滲透壓效應和空間位阻作用對膠粒的表面性質、形貌與結構的影響機制,闡明使用表面活性劑對以污泥為鋁源制備高質量的Al(OH)3的必要性.
2 材料與方法
2.1 主要材料
氫氧化鈉(NaOH)、鹽酸(HCl)、氯化鋇(BaCl2)、碳酸鈉(Na2CO3)、PEG-1000均為分析純,由天津市科密歐化學試劑有限公司生產;污水污泥取自哈爾濱文昌污水處理廠污泥脫水間.
2.2 材料的制備方法
鋁酸鈉溶液的制備方法:稱取一定質量的干燥污泥,在氮氣氣氛、氣體流量為100 mL · min-1的條件下,對污泥進行碳化熱處理,碳化溫度為800 ℃,升溫速率為5 ℃ · min-1,碳化時間為1 h;將得到的SC材料在溫度為80 ℃的HCl溶液(2 mol · L-1)中處理2 h,SC與酸浸萚戀鬧柿勘任? ∶ 20;將所得溶液的pH調為5~7,加BaCl2溶液(1 mol · L-1)反應5~10 min,接著加Na2CO3溶液(1 mol · L-1)攪拌反應5~10 min,將所得沉淀物過濾、保存留作它用;向濾液中滴加2 mol · L-1的NaOH溶液,通過控制pH值到5~7之間得到沉淀;然后,將沉淀物用過量NaOH溶液滴定到pH值為13,過濾除去未溶的沉淀(干燥后保存)得到相對純凈的鋁酸鈉溶液.
納米Al(OH)3的制備方法:量取6份100 mL相同濃度的鋁酸鈉溶液,按體積比0.01%、0.05%、0.1%、0.2%、0.4%和0.6%分別加入濃度為10%的聚乙二醇-1000(PEG-1000),在室溫下充分攪拌后,將一定量的濃度為2 mol · L-1的HCl溶液緩慢加入反應體系中(終點pH前,應將HCl溶液適當稀釋后滴加).當體系達到預定的pH=6后,繼續攪拌反應20 min,將所得Al(OH)3溶膠用去離子水反復洗滌3次,再用適量無水乙醇洗滌3次,以去除濾餅中大部分的水分,減少干燥過程中造成的硬團聚;最后,將濾餅在50 ℃下鼓風烘干12 h左右,得到納米Al(OH)3材料.
2.3 材料表征
溶液中的離子濃度使用Optima 5300DV電感耦合等離子體發射光譜儀(ICP-AES)進行測試.Al(OH)3樣品的表面官能團使用傅里葉紅外光譜(FT-IR)進行表征,測試儀器的型號為Nicolet IS10,采用KBr壓片法.掃描電鏡(SEM)測試的儀器型號為Hitachi S4800型,加速電壓為5 kV,樣品表面進行噴金處理.N2吸附-脫附等溫線的測定(BET)使用儀器的型號為TriStar Ⅱ全自動分析儀,可以測定樣品的比表面積和孔徑分布.材料的晶型測試使用由日本理學公司生產的RigakuD/maxIIIB型X-射線衍射儀(XRD),測試條件為:CuKα(λ=1.5406),管電壓40 kV,管電流20 mA,掃描速度8° · min-1.通過透射電鏡(TEM)觀察樣品形貌,儀器型號為FeiTecnia G2-STWIN,加速電壓為200 kV.
3 結果與討論
3.1 PEG-1000加入量對Al(OH)3沉淀效率的影響
圖 1中結果顯示,隨著PEG-1000加入比例的升高,溶液中殘余的Al3+濃度呈現先降低后升高的趨勢.這是由于PEG-1000的加入不僅影響了Al(OH)3沉淀的效率,而且對己形成的粒子的生長速度也有一定的影響.從圖 1中的原液(PL)沉淀后剩余離子濃度的柱狀圖中可以看出,鋁酸鈉溶液中含有少量的Si(含Si物質在各步除雜反應過程中基本不發生反應)、Fe、Ca和Mg雜質,其中Fe、Ca和Mg在沉淀反應前后的濃度基本沒有變化,這與其初始濃度比較低有關.在反應過程中,PEG-1000很容易吸附在快速生成的Al(OH)3的表面,PEG-1000上的羥基可以與顆粒的表面羥基發生作用:


圖 1 PEG-1000加入量對溶液中各殘余離子濃度的影響
當少量PEG-1000加入反應體系中,由于其空間位阻作用減弱了顆粒與顆粒之間的相互鍵合作用,使得Al(OH)3顆粒能夠快速的生成,使得沉淀較為完全,也能有效地阻止顆粒的團聚.隨著PEG-1000加入量的增加,被包進松散的Al(OH)3顆粒中的PEG-1000分子增多,使得PEG不能充分覆蓋顆粒的表面,從而限制了PEG的分散作用和PEG的再吸附,PEG覆蓋效果差,產生的空間位阻效應有限,不能很好地限制團聚.從而限制了反應物離子的擴散速率,降低了離子之間的碰撞幾率,使得Al3+的沉淀效率降低.
3.2 PEG-1000對納米Al(OH)3性質的影響
Al(OH)3的FTIR譜圖如圖 2a所示,在400~900 cm-1和3200~3700 cm-1范圍,出現兩個相對較寬的吸收帶;吸收帶的寬化歸因于超細顆粒或無定形結構中鍵長的連續分布,表明樣品具有尺寸較小或非晶態的特征.在570 cm-1出現了AlO4四面體中Al—O鍵的偽晶格伸縮振動峰;在3470 cm-1處出現了O—H鍵變形伸縮振動峰;這兩個特征峰的出現,進一步證實形成了較小粒子尺寸或無定形結構的Al(OH)3.在852 cm-1處出現了[AlO2]-離子的特征伸縮振動峰,這表明在弱酸性條件下制得的樣品上吸附有游離的[AlO2]-離子,也說明制備的Al(OH)3樣品具有較好的純度.位于1633 cm-1的振動峰是殘留于樣品內的層間水造成的.在2975 cm-1左右處出現了一個較明顯的吸收峰,這個峰是由PEG-1000中—CH2—振動引起的,隨著PEG-1000加入量增加后,這個振動峰有逐漸增強的趨勢;這說明在沉淀過程后,PEG-1000通過化學作用的方式連接在Al(OH)3的表面.從圖 2b中可以看出,當PEG-1000加入量不同時,制得的非晶態Al(OH)3樣品的表面形貌差別不明顯,都呈現比較松散的結構,樣品粒子堆集形成多孔結構,堆集孔的孔徑相對比較均一,孔徑集中在中孔-大孔(40~100 nm)的范圍內.

圖 2 PEG-1000加入量對Al(OH)3表面官能團的影響(a)和Al(OH)3的SEM分析圖(b)
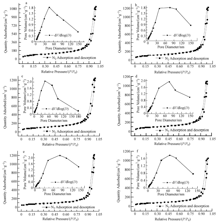
從圖 3的N2吸附-脫附等溫線可以看出,不同PEG加入量得到的Al(OH)3樣品的孔型曲線屬于IV型,具有介孔材料的特征,在脫附等溫線上出現的滯后環是由于發生在材料表面介孔里的毛細現象造成的.由孔徑分布曲線可以知道,Al(OH)3的孔徑分布在介孔-大孔的范圍內.從表 1中數據可以看出,隨著PEG加入量的增加,Al(OH)3的SBET和孔體積都是呈先增大后減小的趨勢.由此可見,通過控制表面活性劑的加入比例可以在一定程度上調節Al(OH)3的孔結構.PEG分子易與Al(OH)3表面建立較強的氫鍵而交聯在膠粒的表,納米顆粒之間存在著由于鏈的體積的影響而不能觸及的空隙,合適的PEG量,可以抑制一次顆粒形成二次顆粒的速度,也就是說,PEG分子的交聯和包覆對于生成小尺寸的Al(OH)3顆粒是有利的,也可以有效地限制團聚.隨著PEG加入量的增加,Al3+的沉淀效率降低,Al(OH)3粒子的生長速度降低,反而加快了一次顆粒疊加形成二次顆粒的速度,粒子尺寸變大,PEG分子對于大尺寸Al(OH)3顆粒的覆蓋作用變差,顆粒之間的碰撞也越頻繁,粒子之間的團聚作用也變得明顯;從而使得Al(OH)3的SBET和孔體積逐漸變小,平均孔徑變大.

圖 3 不同PEG-1000加入量得到的Al(OH)3樣品的N2吸附-脫附譜圖和孔徑分布對比(a. 0.01% PEG;b. 0.05% PEG;c. 0.1% PEG;d. 0.2% PEG;e. 0.4% PEG;f. 0.6% PEG)
由表 1的數據可知,PEG加入量為0.05%的Al(OH)3的SBET最大,加入量為0.6%的Al(OH)3的SBET最小,在以下的XRD和TEM分析中將詳細對比這兩個樣品的區別.
表 1 在不同PEG-1000加入量得到的Al(OH)3的SBET和孔結構

從圖 4a可以看出,在PEG-1000加入量為0.05%和0.6%時,Al(OH)3的XRD譜圖基本沒有變化,均顯示為彌散的非晶漫散射包,說明得到的Al(OH)3是無定形的;表明表面活性劑對溶膠-凝膠法得到的Al(OH)3的晶型沒有影響.在圖 4b中的Al(OH)3樣品顯現出良好的分散性,絮狀結構的粒子尺寸范圍大概為10~30 nm.從圖 4c中可以看出,在PEG-1000加入量為0.6%時,得到的Al(OH)3粒子尺寸相對較大,分散較好的20~40 nm的絮球可以在圖中清晰地觀察到.據文獻報道,Al(OH)3的等電位點大約在7.5~8.5的pH值范圍,當pH值(本實驗中pH=6.0)低于Al(OH)3的等電位點時,正電的Al(OH)3就會吸引帶負電的顆粒;PEG-1000分子中含有羥基,在水溶液中會電離出質子,促進其在Al(OH)3顆粒表面的交聯,阻止Al(OH)3顆粒的團聚;所以,當PEG-1000加入量增加12倍(0.05%至0.6%),都可以得到分散性較好的納米粒子;但是,Al3+的沉淀效率會降低,生成粒徑相對較大的粒子,降低樣品的SBET(表 1).當PEG-1000加入量為0.05%時,可以得到分散更好、粒徑更小的納米絮狀物.具體參見污水寶商城資料或http://www.xhxdt.com更多相關技術文檔。

圖 4 Al(OH)3樣品的XRD(a)和TEM分析圖(b. 0.05% PEG;c. 0.6% PEG) Fig.4 XRD(a) and TEM(b. 0.05% PEG; c. 0.6% PEG)analyses of the Al(OH)3 samples
4 結論
1)N2吸附-脫附曲線的數據說明,隨著PEG加入量的增加,Al(OH)3的SBET和孔體積都呈先增大后減小的趨勢;Al(OH)3的孔徑分布在介孔-大孔的范圍內;PEG加入量為0.05%的Al(OH)3的SBET最大,為359 m2 · g-1.
2)FTIR結果顯示,在2975 cm-1左右處出現了一個由PEG-1000中—CH2—振動引起的吸收峰,隨著PEG-1000加入量增加,這個振動峰有逐漸增強的趨勢;PEG-1000的加入對促進非晶態的納米Al(OH)3粒子的分散有很大作用,其加入量(v/v)不宜超過0.2%.以環境廢物(污泥)為原料、加入少量表面活性劑即可以得到分散較好的Al(OH)3,符合經濟、高效的原則,具有一定的發展前景.


