1 引言
近年來, 由于在飲用水、污水處理廠以及地表水和地下水中被頻繁檢出, 藥物和個人護理用品(PPCPs)作為一類新興環境污染物日益受到人們的關注.該類物質難以生物降解, 在污水處理廠中不能被完全去除, 使得它們在自然水體中的含量不斷累積.吉非羅齊(Gemfibrozil, GEM)是一種臨床常用的貝特類降血脂藥物, 理化參數見表 1.其主要用來降低人體內甘油三酯和總膽固醇的水平, 減少冠心病的發病率.據報道, GEM在傳統的污水處理工藝中的去除率較低, 大約集中在16%~46%之間.由于污水處理廠的不完全降解, GEM在各類水體中被頻繁檢測出來, 其中污水處理廠出水中檢測濃度達到19.4 μg·L-1, 在地表水中的濃度為0.75~1.5 μg·L-1, 在地下水中的濃度為0.751 μg·L-1, 在飲用水中的濃度也達到0.07 μg·L-1.盡管沒有研究表明GEM會對人體有直接毒性, 但多項研究表明其具有生態毒性, 會對大型溞和魚類的生殖和生理產生不利影響.如何有效修復GEM帶來的水體環境污染, 減弱其生態毒理效應, 成為眾多學者關注的重點.
表 1 GEM的理化參數

傳統的高級氧化工藝, 如UV/TiO2、UV/H2O2、UV/O3和Fenton法等均以產生強氧化性的羥基自由基(HO·)來氧化降解有機污染物.近年來, 基于過硫酸鹽活化的新型高級氧化工藝, 由于其自身的一些優勢已經廣泛應用于受污染土壤和地下水的原位化學氧化修復以及難降解有機廢水的處理.和HO·相比, 其所產生的硫酸根自由基(SO4·-)不僅在不同pH條件下都具有較高的氧化還原電位(E0=2.5~3.1 V), 而且主要通過電子轉移途徑來氧化降解有機物, 氧化反應更具有選擇性.此外, SO4·-具有更長的半衰期, 可以增大與目標污染物的接觸機會, 從而更高程度的礦化水體中的有機污染物.目前, 活化過硫酸鹽的方法主要有熱活化、UV活化和過渡金屬離子活化等.在各種活化方式中, 熱活化過硫酸鹽技術雖然在設備和操作上花費較高, 但由于其具有氧化能力強、反應條件溫和、受pH影響小等優點, 已經廣泛地應用于地下水以及工業廢水中有機污染物的去除.此外, 由于系統操作簡單, 該技術也應用于污染物降解機制的研究.
天然有機質(NOM)和碳酸氫鹽(HCO3-)在自然水體中廣泛存在, 并且已經被證實對基于SO4·-的高級氧化過程有顯著影響.因此, 本研究以吉非羅齊為目標污染物, 研究其在熱活化過硫酸鹽體系中的降解機制.考察過硫酸鹽初始濃度、溫度、pH以及腐殖酸(HA)和HCO3-對GEM降解的影響, 并利用自由基清除實驗鑒定活化體系中起主要作用的自由基, 探討了不同pH條件下GEM的降解機制.最后利用HPLC-MS/MS技術鑒定活化體系中GEM主要的降解產物, 并推測其可能的降解路徑.以期為熱活化過硫酸鹽技術在工程實際中的應用提供理論依據和技術支持.
2 材料與方法
2.1 試劑
吉非羅齊(純度>98%), TIC試劑公司;過硫酸鈉、硫代硫酸鈉、碳酸氫鈉、硫酸和氫氧化鈉均為分析純, 國藥集團化學試劑有限公司;腐植酸, 阿拉丁公司;乙腈、乙醇和叔丁醇均為色譜純, 美國ACS恩科化學公司;實驗過程用水均為超純水.
2.2 實驗方法
用乙腈配置濃度為10 mmol·L-1的GEM儲備液于棕色容量瓶中, 并放于4 ℃冰箱保存.每次實驗準確移取1.0 mL GEM儲備液于250 mL容量瓶中, 用高純氮氣吹干乙腈后用超純水定溶(Smart2 Pure超純水/純水一體化系統, 德國TKA), 得到濃度為40 μmol·L-1的GEM反應液.取100 mL GEM反應液加入到250 mL錐形瓶中, 用1% NaOH和H2SO4調節溶液pH后置于恒溫水浴裝置, 待預熱到指定溫度, 加入Na2S2O8開始反應.每隔10 min, 取出1.0 mL樣品并立即用1.0 mL的100 mmol·L-1Na2S2O3猝滅以終止反應, 然后用HPLC測定GEM的剩余濃度.每個時間點的樣品至少設3個重復, 結果取平均值.
在該體系中分別考察不同過硫酸鹽初始濃度、溫度、pH、HA濃度和NaHCO3濃度條件下GEM的降解情況.自由基清除試驗中, 用乙醇或叔丁醇作自由基清除劑, 在同樣條件下考察GEM的降解情況.
2.3 分析測定方法
GEM采用高效液相色譜儀(LC-20AT, SHIMADZU)進行測定, 色譜條件:色譜柱為C18色譜柱(Zorbax Eclipse XDB-C18, 2.1 mm×150 mm, 3.5 μm);流動相是甲醇-0.5%冰醋酸水溶液(75:25, V/V);檢測器為光電二極管陣列檢測器(SPD-M20A), 檢測波長為276 nm, 流速為0.2 mL·.min-1, 進樣量4 μL, 柱溫為40 ℃.TOC采用TOC-VCPH(Shimadzu, 日本)進行測定.
GEM的降解產物由HPLC-MS/MS鑒定分析.40 μmol·L-1的GEM在溫度為60 ℃、pH值為7.0、Na2S2O8濃度為1.5 mmol·L-1的溶液中反應90 min, 于旋轉蒸發儀濃縮至1.5 mL, 轉移至送檢樣品瓶中進行HPLC-MS/MS測定.測定儀器:高效液相色譜-離子肼質譜儀(Agilent 1100LC-MSD-Trap-XCT);色譜柱:Hypersil ODS色譜柱(250 mm×4.6 mm, 5 μm);進樣量:10 μL;流動相組成:A水(0.2%冰醋酸), B甲醇.采用梯度洗脫:10%的B在15 min內上升到90%, 90%的B維持5 min;洗脫液流速:1.0 mL·min-1.MS部分采用電噴霧電離源(ESI), 檢測模式為負離子檢測;干燥氣(N2)流速:10.0 L·min-1, 溫度:350 ℃;碰撞氣為氬氣;離子源噴射電壓:3500 V;霧化氣(N2)壓強為:40 psi;掃描范圍:50~500 m·z-1.
3 結果
3.1 過硫酸鹽初始濃度對GEM降解的影響
由于過硫酸鹽初始濃度能夠直接影響SO4·-的平衡濃度, 所以在熱活化體系中起著至關重要的作用.如圖 1a所示, 過硫酸鹽初始濃度顯著影響GEM的降解.在沒有加入過硫酸鹽時, GEM很穩定, 幾乎沒有發生降解;隨著過硫酸鹽初始濃度的增加, GEM的降解速率顯著加快.當過硫酸鹽初始濃度為0.5 mmol·L-1時, 在60 min內GEM只有41.6%被去除;而當過硫酸鹽初始濃度增加到3.0 mmol·L-1時, 同樣的反應時間內GEM的去除率超過98%.在熱活化過程當中, 過硫酸鹽初始濃度越高, 反應體系中活化形成的氧化物種越多, 從而加速GEM的降解.

圖 1過硫酸鹽初始濃度對熱活化過硫酸鹽降解GEM的影響(T=60 ℃, pH=7.0, [GEM]0=40 μmol·L-1)
GEM的降解過程可以用準一級反應動力學方程進行擬合:
(1)

(2)
式中, kobs為表觀一級反應速率常數(min-1), [GEM]為GEM在某一時刻的濃度(μmol·L-1), k′為GEM與各種氧化物種的二級反應速率常數(L·mol-1·min-1).在熱活化過硫酸鹽體系中, SO4·-通常被認為是主要的氧化物種, 然而其他的氧化物種, 比如HO·等也可能在GEM的降解過程中發揮作用.圖 1b為kobs隨溶液中過硫酸鹽初始濃度的變化情況, 從圖中可知, 隨著過硫酸鹽初始濃度的增加, kobs隨之加快, 并且呈現良好的線性關系.這說明GEM的降解速率和溶液中氧化劑的含量關系密切, 并且呈顯著正相關.
3.2 溫度對GEM降解的影響
溫度在熱活化過硫酸鹽體系降解污染物的過程當中也起著至關重要的作用.本研究考察40~70 ℃之間GEM的降解情況, 結果如圖 2a所示.GEM的降解速率常數kobs隨溫度的升高而顯著增加.40 ℃時, GEM的kobs為0.00156 min-1, 而當溫度升高到70 ℃時, kobs增加到0.1356 min-1, 幾乎增長了87倍.Ji等在用熱活化過硫酸鹽技術降解Atrazine時, 也發現溫度從30 ℃升高到60 ℃時, kobs增長了114倍.隨著反應溶液溫度的升高, 過硫酸鹽的分解速度加快, 反應液中自由基濃度增加, 從而使GEM的降解速率增加.此外, 根據熱力學原理, 隨著反應溫度的升高, kobs也會隨之升高.反應溫度T和kobs兩者之間的關系遵循阿侖尼烏斯方程:
(3)

圖 2溫度對熱活化過硫酸鹽降解GEM的影響(pH=7.0, [GEM]0=40 μmol·L-1, [persulfate]0=1.5 mmol·L-1)
式中, Ea為反應的表觀活化能(J·mol-1), R為氣體常數(8.314 J·mol-1·K-1), A為指前因子(min-1), T為絕對溫度(K-1).由圖 2b可知, lnkobs隨1/T的增加而線性減小, 兩者之間的關系符合阿侖尼烏斯方程.由式(3)可以計算出反應的表觀活化能為133.14 kJ·mol-1.
3.3 pH對GEM降解的影響
溶液pH對熱活化過硫酸鹽降解GEM的影響如圖 3所示.從圖中可知, 在pH從5.0增加到10.0的過程當中, GEM的降解速率在逐漸降低.當pH從5.0增加到9.0時, 降解速率雖然在降低, 但GEM在60 min內仍然可以達到85%以上的去除率;而當pH從9.0升高到10.0時, GEM的去除率降到了69.0%.顯然, 相對于堿性條件, 酸性和中性條件更有利于GEM的降解.

圖 3 pH對熱活化過硫酸鹽降解GEM的影響(T=60 ℃, [GEM]0=40 μmol·L-1, [persulfate]0=1.5 mmol·L-1)
溶液pH在熱活化體系當中起著復雜的作用.在酸性條件下, 過硫酸鹽除了熱活化產生SO4·-外(式(4)), 還會經歷酸催化反應生成更多的SO4·-, 但高濃度的SO4·-會發生相互猝滅或者與過硫酸鹽反應生成氧化能力更弱的自由基(式(5)~(7));在堿性條件下, SO4·-可以和H2O或者OH-反應生成HO·(式(8)~(9)).此外, SO4·-與HO·和有機物的反應機制也不盡相同, 其中SO4·-主要通過電子轉移的途徑轉化有機物;而HO·則優先加成到CC雙鍵, 或者從C—H、N—H或O—H鍵上提取H, 可見SO4·-比HO·更具有選擇性.因此, pH可以通過改變活化體系生成的自由基類型來影響污染物的降解.
(4)
(5)
(6)
(7)

(8)

(9)
堿性條件下GEM的降解效率低于酸性和中性條件, 正是由于不同pH條件下反應體系自由基的種類和活性不同造成的.在酸性和中性條件下, 體系主要的自由基是SO4·-, 在堿性條件下, 更多的SO4·-轉化成了HO·.HO·雖然也具有較強的氧化能力, 但其氧化反應的無選擇性減弱了與目標物種GEM的接觸反應幾率, 并最終降低GEM的降解效率.此外, GEM是離子型化合物, pKa為4.7, 在酸性條件下主要以分子形式存在, 在堿性條件下則更容易發生解離.隨著溶液pH的升高, GEM的分子型比例下降, 離子型比例升高, GEM更多以離子形態存在, 更容易溶解于水中, 穩定性也增強, 不易被HO·等氧化物種降解, 從而使GEM在堿性條件下的去除效率降低.值得指出的是, 雖然酸性條件下會有更多SO4·-生成, 但pH=5.0時GEM的降解速率只是稍稍高于中性和弱堿性.這是因為體系中高濃度的SO4·-發生了相互猝滅或者轉化成氧化能力較弱的自由基, 從而使GEM在酸性條件下并沒有呈現較高的降解速率.
3.4 自然水體成分對GEM降解的影響
本研究著重考察了HA和HCO3-對GEM降解的影響.HA由于分子結構中的富電子基團容易被SO4·-和HO·等親電自由基攻擊, 從而扮演者自由基清除劑的角色, 其對GEM降解的影響如圖 4a所示.從圖中可知, HA的加入明顯抑制了GEM的降解, 而且抑制程度隨HA濃度的增加而增強.未添加HA時, 60 min內GEM可以達到86%的去除率, 而當加入的HA增大到20 mg·L-1HA時, GEM的去除率降到了20%.這正是因為HA分子中的羥基、氨基等富電子活性基團和GEM競爭溶液中的SO4·-和HO·等氧化物種, 并最終抑制了GEM的降解.

圖 4 HA(a)和HCO3-(b)對熱活化過硫酸鹽降解GEM的影響(T=60 ℃, pH=7.0, [GEM]0=40 μmol·L-1, [persulfate]0=1.5 mmol·L-1)
HCO3-和CO32-是自然水體中常見的無機陰離子, 會對水體的堿度產生影響, 其中HCO3-的存在最為廣泛.不同濃度HCO3-對GEM降解的影響如圖 4b所示, 從圖中可知, HCO3-對GEM的降解有強烈的抑制作用, 并且抑制程度隨HCO3-濃度的增加而增強.當加入100 mmol·L-1HCO3-時, 60 min內GEM的去除率只有53.4%, 遠遠低于未加HCO3-時的86%.這一方面是因為HCO3-的加入, 增加了溶液的初始pH, 由上文可知, 堿性條件下GEM的降解效率要低于酸性和中性條件, 所以從改變溶液初始pH的角度, HCO3-的加入會抑制GEM的降解;另一方面是因為溶液一旦加入HCO3-, 系統便會產生HCO3-/CO32-(式10), 而HCO3-/CO32-作為SO4·-和HO·的猝滅劑, 可以轉化生成HCO3·和CO3·-(式(11)~(15)).HCO3·/CO3·-和苯酚、苯胺等富電子化合物有著較高的反應速率常數, 但它們和其他有機物的反應速率常數通常要比SO4·-和HO·低2~3個數量級.可見正是HCO3·和CO3·-對GEM較弱的氧化能力降低了GEM的降解速率.
(10)
(11)
(12)
(13)
(14)
(15)
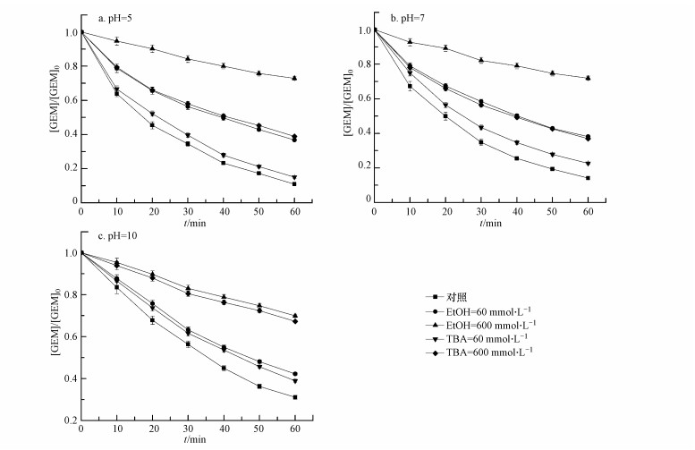
3.5 不同pH條件下主要自由基的鑒定
為了探討熱活化過硫酸鹽體系中GEM的降解機制, 反應體系在不同pH條件下的主要自由基被鑒定.本研究以乙醇(EtOH)和叔丁醇(TBA)作為自由基清除劑來鑒別不同pH條件下起主要作用的自由基.由式(16)~(19)可知, EtOH與SO4·-和HO·都具有較高的反應速率, 可以同時清除體系中的SO4·-和HO·;而TBA與SO4·-的反應速率要遠遠低于與HO·的反應速率, 故可以選擇性清除HO·.利用兩種自由基清除劑與SO4·-和HO·反應的不同活性, 可以區分反應液中的主要自由基類型(Ji et al., 2014; Zhou et al., 2013).

(16)

(17)
(18)

(19)
由圖 5可知, 在pH為5.0、7.0和10.0時, 加入60 mmol·L-1和600 mmol·L-1的EtOH均抑制了GEM的降解, 而且抑制作用隨EtOH濃度的增加而增強, 這說明不同pH條件下GEM的降解都是活性自由基在起作用.而加入選擇性清除HO·的TBA后, pH為5.0和7.0的條件下TBA對GEM降解的抑制作用都明顯弱于EtOH的抑制作用, 這說明在酸性和中性條件下, 溶液中存在濃度較高的是SO4·-而不是HO·, SO4·-對GEM的降解起主導作用.當pH為10.0時, TBA的加入都強烈抑制了GEM的降解, 而且抑制程度幾乎與加入EtOH時相當, 這說明在堿性條件下, HO·是體系主要的氧化物種, 其對GEM的降解起主導作用.

圖 5 EtOH和TBA作為自由基清除劑對熱活化過硫酸鹽降解GEM的影響(a) pH 5.0, (b) pH 7.0, (c) pH 10.0(T=60 ℃, [GEM]0=40 μmol·L-1, [persulfate]0=1.5 mmol·L-1)
3.6 降解產物和路徑
GEM在負離子檢測模式下降解產物的總離子流色譜圖(TIC)如圖 6所示.從圖中可知, 共檢測到11種中間產物, 它們分別用P1~P11表示.根據總離子流色譜圖和降解產物的二級質譜圖信息, 可以推測降解產物的主要結構.GEM降解產物的質譜碎片信息以及推測的可能結構列于表 2.從表中可知, P1和P9是GEM苯環羥基加成后的產物;P5是苯環甲基被氧化為醛基的產物;P2則是苯環的羥基化和醛基化的產物;P6和P8是羥基化和醛基化的GEM側鏈脫去羧基后的產物;P3則是苯環先經歷羥基化和醛基化反應, 通過環化作用脫去兩個氫后, 再脫去羧基后的產物;P4、P7、P10和P11都是苯環醚支鏈斷裂的產物.

圖 6 GEM降解產物的總離子流圖
表 2 GEM降解產物的質譜碎片信息和推測的結構

由此推測GEM在熱活化過硫酸鹽體系的降解路徑主要有5條, 如圖 7所示.路徑一為苯環的羥基化反應, GEM苯環的大π電子體系和醚支鏈的供電子效應, 使得苯環的羥基加成反應容易發生, 從而形成單羥基化的中間產物P9和多羥基化中間產物P1.路徑二是苯環甲基的醛基化反應, 苯環甲基上HO·的加成和H提取形成碳中心自由基, 隨后該自由基被O2氧化成甲醛, 最終形成醛基化的中間產物P5.此外, GEM苯環羥基化和醛基化反應也形成了中間產物P2.路徑三是GEM側鏈上的羧基在自由基進攻下的脫羧反應, 最終形成中間產物P3、P6和P8.路徑四為苯環側鏈的環化作用, 中間產物P2苯環支鏈經過環化作用, 脫去兩個H, 并最終經過脫羧反應形成中間產物P3.路徑五為ipso取代機制, HO·和SO4·-首先進攻和醚支鏈相連的芳香環碳原子(ipso位), 形成共振穩定的碳中心自由基, 該自由基進一步發生O-脫烷基反應, 使得醚氧和苯環之間鍵的斷裂, 形成中間產物P4、P7、P10和P11.從以上分析中可以發現, GEM降解轉化成中間產物后, 并沒有發生進一步的降解.TOC測定實驗也表明, GEM反應前后的礦化率只有16.5%, 這進一步證實大部分GEM都轉化為中間產物, 而沒有徹底礦化.

圖 7 GEM在熱活化過硫酸鹽體系中可能的降解路徑
由于我們研究的是中性條件下GEM在熱活化過硫酸鹽體系中的降解產物和可能的降解路徑, 而從自由基清除實驗可知, 中性條件下對降解起主導作用的是SO4·-, 所以以上降解產物應該主要是SO4·-參與降解的結果.HO·可以通過電子轉移、脫氫和加成反應來降解有機物, 而SO4·-更傾向于電子轉移的途徑來轉化降解有機物, 更具有選擇性.從降解路徑的分析中也可以發現, 苯環的羥基化可能是HO·參與降解的結果, 而以上5種降解路徑都涉及到電子轉移, 這進一步證實了中性條件下SO4·-降解的主導作用.此外, 五種降解路徑中, 無論是羥基化還是醛基化的中間產物, 最終要完全降解, 都要經歷醚支鏈的斷裂, 斷裂后的中間產物在自由基的作用下, 進一步發生降解, 才能最終礦化為CO2和H2O.所以醚支鏈的斷裂可能是GEM最主要的降解路徑.
Cermola等在研究模擬太陽光下GEM的光化學轉化時, 也發現了苯環甲基的醛基化反應, 并通過核磁共振證實苯環鄰位甲基更容易發生醛基化反應.Yurdakal等在研究GEM的TiO2光催化降解時發現醚支鏈的斷裂是GEM的主要降解路徑.Razavi等在研究自由基誘導下GEM的降解機制時, 發現了醚支鏈的斷裂、苯環的羥基化反應以及苯環側鏈的環化作用等降解路徑, 本研究結果與其結論相一致.具體參見污水寶商城資料或http://www.xhxdt.com更多相關技術文檔。
4 結論
1) 熱活化過硫酸鹽技術可以有效降解水中的GEM, 其降解過程符合準一級反應動力學規律.
2) 增加過硫酸鹽初始濃度和升高溫度都可以顯著提高GEM的降解速率常數.自然水體中的HA和HCO3-對GEM的降解有明顯的抑制作用.相對于堿性條件, 酸性和中性條件更有利于GEM的降解.
3) 自由基清除實驗表明, 在酸性和中性條件下, SO4·-對GEM的降解起主導作用, 而在堿性條件下, HO·成為體系主要的氧化物種.
4) HPLC-MS/MS分析結果表明, GEM主要的降解路徑涉及苯環的羥基化和醛基化反應、苯環側鏈的環化作用和脫羧反應以及醚支鏈的斷裂.



