據統計,全世界每年約有28萬t紡織染料排入水體.我國紡織印染業發達,生產規模居世界首位,產生的大量印染廢水不僅嚴重污染水環境,而且進入水體的染料及其中間代謝產物具有致癌、致突變等潛在危害;同時,水體的色度也降低了透光度,會導致水生生態系統的破壞.針對印染廢水的處理,物化工藝和生化工藝的合理結合,是目前印染廢水處理的最普遍方式.物化法有磁分離法、膜分離法、混凝法、吸附法、高級氧化法、光催化法等,物化法可以高效率處理印染廢水,但物化法處理成本相對較高而且容易引起二次污染,比較而言生化法處理成本相對較低,而且污染物通過生物好氧代謝可以得到徹底降解.
分散染料作為聚酯纖維的主要使用染料,廣泛應用于紡織印染工業.在分散染料中含偶氮結構的染料占比最大,偶氮類分散染料具有合成簡單、耐日照強度高、色牢度高等特點.采用厭氧、好氧結合的生物工藝降解偶氮染料時,在厭氧條件下,偶氮染料中的偶氮鍵在偶氮還原酶作用下斷裂導致染料脫色,而后續的好氧條件下某些非特異性酶可以將厭氧條件下產生的芳香胺進一步降解.本文即是針對一種偶氮結構的分散染料 (neocron black, NB),分別研究其在好氧、厭氧、厭氧/好氧交替條件下的生物降解特性,并通過紫外-可見分光光度計和氣相色譜-質譜聯用,初步推測該染料生物降解過程的中間代謝產物和生物降解途徑,研究結果有助于加深對印染廢水生物處理過程的認識,以期為印染廢水生物處理工程設計的工藝優化提供理論依據.
1 材料與方法1.1 實驗裝置
實驗所用的3個序批式反應器 (R1、R2、R3) 由有機玻璃制成,其尺寸為20 cm×20 cm×35 cm,總容積14 L,反應容積10 L.其中好氧反應器R1設置攪拌裝置、曝氣裝置和定時器;厭氧反應器R2設置攪拌裝置和定時器;厭氧/好氧交替反應器R3設置攪拌裝置、曝氣裝置和定時器,反應器厭氧8 h后曝氣4 h.實驗期間反應器內溫度為 (28±3)℃,實驗裝置示意圖見圖 1.

圖 1 實驗裝置示意
1.2 實驗材料與進水組分
實驗接種污泥取自上海市松江污水處理廠二沉池的活性污泥,實驗前對活性污泥進行馴化.馴化和實驗用模擬廢水包含營養組分和不同濃度染料,營養組分如表 1;污泥開始馴化時染料濃度為20 mg ·L-1,馴化期間進水染料量以每天10 mg遞增.實驗期間,各反應器中污泥濃度為 (3 600±200) mg ·L-1,污泥SVI (污泥容積指數) 值為 (50±7) mL ·g-1.
表 1 實驗用廢水營養成分組成
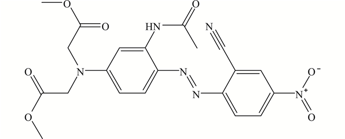
實驗中所用的分散染料NB由J & J染料有限公司 (中國臺灣) 提供,該染料屬偶氮類分散染料,分子式為C21H20N6O7,相對分子質量為468.42,其結構式如圖 2;NB染料水樣全波段掃描最大吸收波長為600 nm.

圖 2 Neocron black染料結構式
1.3 分析項目與方法
染料濃度的測定采用分光光度法;COD、MLSS和SVI的測定均采用標準方法;染料降解產物的測定采用氣相色譜-質譜 (安捷倫GC7890B/MS5977A) 聯用法.
水樣經離心 (6 000 r ·min-1,10 min) 后測定COD和吸光度值.進GC-MS的樣品制備方法如下:水樣先經離心 (6 000 r ·min-1,10 min),離心后的水樣600 mL再經CH2Cl2萃取得萃取液200 mL;萃取采用美國國家環保局方法:EPA3510C分液漏斗液-液萃取,萃取過后的樣品通過旋轉蒸發儀蒸發至5 mL后用氮氣吹脫至2 mL,濃縮后的樣品進GC-MS測定降解產物. GC-MS分析條件:有機物分析采用氣相色譜-質譜聯機測定,檢測依據為JY/T021-1996分析型氣相色譜方法通則和GB/T 6041-2002質譜分析方法通則 (GC-MS),所用儀器為安捷倫GC7890B/MS5977A;色譜柱:安捷倫HP-5MSUI 30 m×0.25 mm×0.25 μm;進樣量:1.0 μL;進樣口溫度:280℃;傳輸線溫度:280℃;離子源溫度:230℃;四極桿溫度:230℃;柱溫:40℃(4 min) 8℃ ·min-1 300℃(25 min);掃描方式:Scan (全掃描);掃描范圍:30~1 000 u;EM電壓1 079 V;MS電離方式:EI;燈絲能量:70 eV;載氣種類:氦氣;載氣流速:1.0 mL ·min-1;定性方法:NIST2014譜庫為主,部分化合物用標準化物的保留時間輔助定性.
1.4 關于生物吸附量的測定與討論
染料在生物反應器中的去除包括生物吸附和生物降解兩方面作用.分別取R1、R2、R3中的污泥混合液各500 mL置于3個800 mL燒杯中,高壓蒸汽滅菌 (121℃,0.103 MPa、20 min) 后冷卻至常溫;3個燒杯均加入實驗用染料,使燒杯中染料濃度為400 mg ·L-1. 3個燒杯中混合液分別在好氧、厭氧、厭氧/好氧條件下對染料吸附24 h后,取混合液離心后測其上清液吸光度,公式如 (1) 所示:

式中,η:吸收率;A:吸附后吸光度;A0:起始吸光度.
計算3種條件下污泥對染料的吸附率分別為4.28%、3.97%和4.05%;但是這并不能真實反映3個反應器中的污泥對實驗染料生物吸附情況.后續實驗過程中,在染料和污泥混合后的短時間內,染料即可獲得良好去除效果,污泥生物吸附作用明顯;究其原因,經過高壓蒸汽處理后的污泥表面胞外聚合物 (EPS) 受到了破壞,其吸附性能與新鮮污泥存在顯著差異.考慮到活性污泥對染料吸附作用主要發生在兩者混合后的短時間內,因此本實驗選擇污泥和染料混合一段時間后 (1.5 h或2 h) 的污染物濃度數據進行分析,從而減少活性污泥生物吸附作用對染料去除的影響,認為反應器中染料的去除是通過微生物新陳代謝作用實現的.
2 結果與分析2.1 反應器對廢水COD和染料的去除
以特定的染料濃度 (染料濃度分別為100、200、300和400 mg ·L-1) 和表 1中的營養組分配制不同COD濃度進水,4種不同染料濃度廢水的COD濃度分別為1 338、1 529、1 659和1 771 mg ·L-1,在好氧、厭氧、厭氧/好氧交替這3種實驗條件下,經過12 h微生物作用后,各不同染料濃度進水在各個反應器中剩余COD濃度和染料濃度情況如圖 3和圖 4所示.

圖 3 反應器對廢水COD的去除

圖 4 反應器對廢水中染料的去除
圖 3和圖 4中,經過12h微生物作用后,4種不同COD濃度廢水COD去除率在好氧條件下分別為96.7%、95.8%、92.6%、89.6%,厭氧/好氧交替條件下分別為94.5%、93.1%、89.3%、84.4%,厭氧條件下分別為79.8%、83.1%、74.3%、74.5%;染料去除率在好氧條件下分別為99.2%、98.5%、97.9%、96.4%,厭氧/好氧交替條件下分別為98.1%、97.3%、93.3%、88.9%,厭氧條件下分別為95.4%、96.1%、90.0%、79.3%.由此可見,不同NB染料配比濃度廢水的COD和染料均是在好氧條件下降解效率最高,厭氧/好氧交替條件次之,厭氧條件下染料降解效率最低;而在同一反應器中,隨著染料濃度的增加,微生物對廢水COD和染料的降解效率逐漸下降.
對于印染廢水,一般來說,厭氧/好氧交替更應該有利于微生物對廢水色度 (染料) 的去除,厭氧環境有利于某些還原類酶的生成和作用,而好氧曝氣可以提供充足的電子受體和受氫體,有利于將有機物徹底礦化分解.本實驗在好氧條件下反應器對NB染料的降解效率最高,可能的原因有二,其一是該分散染料的相對分子量較小,容易進入細胞膜,同時也沒有增加生物降解難度的基團 (如磺酸基、羧基等),本身較易生物降解,其二是在曝氣池中存在大量厭氧微環境,菌膠團內部處于厭氧狀態,微生物可以產生大量還原類酶. NB染料結構上以苯環為主要架構,含有偶氮雙鍵和其它含氮基團,代謝時會產生大量苯胺類物質,這類物質對微生物具有強烈抑制作用,并在反應器中累積,而且隨著染料濃度的增加,包括染料本身和其某些中間代謝產物在廢水中累積也就越多,從而抑制了微生物活性,并最終表現為反應器對COD和染料去除效率的下降;Hakimelahi等利用微生物降解偶氮染料也獲得類似實驗結果.
2.2 不同曝氣條件對NB染料降解的影響
圖 5為NB染料濃度為400 mg ·L-1、COD濃度為1 771 mg ·L-1廢水在好氧、厭氧、厭氧/好氧這3種實驗條件下24 h生物降解過程中NB染料的濃度變化情況.為便于分析,結合厭氧/好氧反應器的厭氧和好氧交替周期,把整個實驗過程分為4個階段,具體見圖 5.

圖 5 染料在好氧、厭氧、厭氧/好氧交替條件下的濃度變化對比
由圖 5可見,在染料和污泥混合后的一段時間內,污泥的生物吸附作用依然明顯,在生物吸附和生物降解共同作用下,在前1.5 h內 (即第一階段的前1.5 h) NB染料由實驗開始時候的400 mg ·L-1迅速降低,在該時間段好氧條件下NB染料去除率最低,厭氧/好氧條件次之 (實際處于厭氧狀態),厭氧條件下最高;在1.5~8 h之間 (依然屬于第一階段;可以認為從該階段開始,染料濃度的降低是通過生物降解作用實現的),NB染料在好氧條件下降解速率最高 (好氧條件下反應器對染料降解符合一級反應動力學,速率常數K1R1=0.369 h-1,R2=0.968),厭氧/好氧交替次之[厭氧/好氧交替反應器在該時段實際處于厭氧狀態,微生物對染料降解符合零級反應動力學,速率常數K1R2=8.18 mg ·(L ·h)-1,R2=0.989],厭氧反應器最低[厭氧反應器對染料降解符合零級反應動力學,速率常數K1R3=6.06 mg ·(L ·h)-1,R2=0.990].在8~12 h之間 (即第二階段),厭氧/好氧交替反應器開始曝氣,該反應器中NB染料降解率最高,厭氧反應器次之,好氧反應器最低[在此階段,3種反應器對染料降解均符合零級反應動力學,速率常數分別為K2R3=15.02 mg ·(L ·h)-1,R2=0.969;K2R2=3.62 mg ·(L ·h)-1,R2=0.993;K2R1=1.15 mg ·(L ·h)-1,R2=0.979].在12~20 h階段 (即第三階段),厭氧和好氧條件下NB染料降解速率變化不大,而厭氧/好氧交替反應器重新進入到厭氧狀態,染料降解速率下降明顯.在20~24 h階段 (即第四階段),3種反應器中染料的降解速率均較前一階段降低,染料的生物降解作用基本停滯.
在染料降解的前1.5 h時段,反應器在厭氧條件下 (厭氧/好氧交替反應器也是處于厭氧狀態) 對染料的去除效果優于好氧條件,厭氧條件產生的還原類酶在染料前期降解過程中起到關鍵作用.在前8 h時段中,厭氧/好氧交替條件實際處于厭氧狀態,之所以出現該條件下對染料去除效率高于厭氧條件時的現象.可能的原因有二:其一是厭氧/好氧交替系統始于前一組實驗的好氧處理,雖然本組實驗開始前3組反應器污泥均經過清水洗滌和一天的靜置,但是總體上經過好氧曝氣后的污泥中殘留剩余染料要少于厭氧系統,因此厭氧/好氧交替系統在厭氧階段的染料濃度比厭氧反應器中更低;其二是經過厭氧/好氧交替作用的微生物處于更低濃度的基質中,對新加入代謝基質也表現出更強代謝能力.進入第三階段以后,隨著系統內易生物降解物質的逐漸消耗和難生物降解物質的大量累積,微生物代謝速度隨之降低,在第四階段甚至出現停滯.總體上講,厭氧生物處理對于NB染料的降解至關重要,而好氧條件也加速了后續生物降解速度.有研究發現,某些微生物在好氧條件下能使偶氮鍵斷裂,同時染料偶氮鍵斷裂生成的芳香胺在好氧條件下更易降解,這些因素均會對NB染料的生物降解過程具有促進作用.
2.3 外加碳源對NB染料降解速率的影響
圖 6為染料濃度為200 mg ·L-1廢水,在R1、R2、R3反應器中,分別在有外加碳源 (按照表 1中的營養配比,廢水COD為1 529 mg ·L-1) 和無外加碳源條件下 (僅有NB染料作為碳源)12h生物降解過程中染料濃度變化情況對比,其中R1好氧12h、R2厭氧12h、R3厭氧8 h+好氧4 h.

圖 6 外加碳源對NB染料降解的影響
從圖 6可以看出,在好氧、厭氧、厭氧/好氧條件下,在12 h的染料降解過程中,有外加碳源時NB染料去除率均高于無加外加碳源時的去除率,有外加碳源時R1中12 h脫色率為98.5%,無外加碳源時92.3%;有外加碳源時R2中12 h脫色率為96.1%,無外加碳源時81.0%;有外加碳源時R3中12 h脫色率為97.3%,無外加碳源時88.5%.根據圖 6中不同時間點對應的染料濃度分析,有外加碳源條件下,在2 h以后微生物對染料降解符合零級反應動力學,R1、R2、R3反應器對NB染料降解動力學速率常數分別為0.458、0.820和0.784 mg ·(L ·h)-1(R2分別為0.971、0.954、0.948),在無外加碳源條件下,在2 h以后微生物對染料降解符合一級反應動力學,R1、R2、R3反應器的動力學速率常數分別為0.105、0.040和0.063 h-1(R2分別為0.967、0.900、0.966).外加葡萄糖對NB染料的生物降解具有促進作用,并改變了該染料生物降解的動力學特征,易生物降解物質在偶氮染料降解過程中為微生物代謝提供了優質的代謝基質,微生物處于良好能量狀態,通過共代謝作用加速了染料降解進程.
對比有外加葡萄糖條件下2 h后染料降解動力學參數,染料降解速率常數在好氧條件下最低,在厭氧條件下反而最高,這似乎與前面的實驗結果相矛盾;實際上,在有外加碳源條件下2 h時染料的大部分已經實現了初步生物降解,而且好氧條件下的降解效率最高,厭氧/好氧交替條件次之,厭氧條件下最低,2 h以后的生物降解過程更接近在反應器中有大量中間代謝產物積累、而外加碳源基本逐漸代謝完畢時的情況 (特別是好氧條件下).與圖 5中NB染料起始濃度為400 mg ·L-1條件下的降解動力學參數相比較 (有外加碳源),不同起始濃度染料的生物降解動力學特性和動力學參數也存在較大差別,染料生物降解過程是個復雜的系列反應,特別是隨著對微生物具有強烈抑制作用中間代謝產物的逐漸生成和積累,僅僅體現染料發色基團受到破壞的染料降解動力學特性受到諸如中間代謝產物濃度、剩余外加碳源等諸多因素影響.
總體上講,在實驗的12 h內,不同曝氣條下有外加碳源時NB染料降解情況和無外加碳源時類似,均是厭氧條件降解速率最小,厭氧/好氧條件次之,好氧條件最大.由此可見,外加碳源通過共代謝作用改善了NB染料的生物降解性能,但是如2.1節所論述的原因,相對分子質量較小的NB染料在外加碳源條件下,依然是在有氧條件下生物降解速率最大.
2.4 NB染料降解生物降解過程分析
NB染料濃度為400 mg ·L-1,在有外加碳源條件下,染料在R1、R2、R3反應器中24 h生物降解過程全波段紫外光譜如圖 7所示.

圖 7 染料降解過程全波段光譜圖
分散染料NB呈藍黑色,其最大吸收波長在600 nm左右.由圖 7可見,在染料色生物降解過程中,在200~350 nm區間,3個反應器的波譜形狀類似、波譜面積相近,苯環、不飽和烴和共軛烯烴在250 nm左右均存在較強特征峰,推測在244 nm左右處出現波峰的物質包含上述幾種物質,這類物質在實驗過程中波譜形狀和大小沒有較大變化,意味實驗條件下此類物質始終未得到充分降解;聯系反應器對廢水COD的降解效率,經過24 h的生物降解,廢水中的大部分污染物逐漸被去除,紫外光譜中體現出的此類污染物保持較穩定的濃度,可能是此類污染物在實驗條件下的平衡濃度.在可見光區域 (400~700 nm),3個反應器中波譜形狀相似,而且隨著生物降解時間的延長,染料最大吸收波長處的波峰均明顯降低,染料偶氮雙鍵發色基團得到了充分降解,NB染料獲得了較高的生物降解效率;比較而言,經過24 h生物降解,R1反應器中染料降解率最高,R2反應器次之,R3反應器最低.再比較3 h和6 h的波譜,好氧條件下偶氮雙鍵的降解效率最低,遠低于厭氧條件下的降解速度 (厭氧/好氧交替此時也是處于厭氧狀態),說明了厭氧環境對于偶氮染料生物降解的重要作用.
2.5 染料降解中間產物分析
對NB染料生物降解過程的產物進行GC-MS分析,根據GC-MS實驗結果和相關報道,推測NB染料可能的一種生物降解路徑.
圖 8顯示了NB分子一種可能的生物降解路徑.由于NB染料是一種結構簡單、單偶氮鍵的偶氮染料,其易被生物降解、且降解路徑相對較簡單.首先NB染料中偶氮鍵在偶氮還原酶的催化作用下斷裂生成 (S1) 2,4-二硝基苯胺和 (S6) 2-氰基-4-硝基苯胺兩種芳香胺化合物,根據GC-MS測得數據分析,這兩種苯胺類物質在微生物進一步的作用下繼續降解.在S1的降解路徑中,首先S1通過還原反應生成S2(4-甲氧基-2-硝基苯胺),然后S2通過脫氨基作用生成S3(3-硝基苯甲醚),而S3又通過水解和取代反應生成更加穩定的中間代謝產物S4(3-羥基苯甲酸),S4在微生物的作用下苯環解環生成不飽和脂肪酸S5(順-2-羥基-1, 4-丁烯二酸),最終S5被完全降解生成CO2和H2O,實現染料的完全降解;同樣地,S6也有類似的降解路徑. S6通過脫氰基反應生成S7(對硝基苯胺),后S7通過水解反應脫去氨基和硝基生成S8(4-甲基苯酚),而又根據文獻的研究結果,推測S8生成S9(對羥基苯酚),S9通過氧化反應生成S10(對羰基環己二烯),后S10通過苯環解環生成不飽和脂肪酸S11(1, 4-丁烯二酸),最終S11被完全降解生成CO2和H2O,同樣實現染料的完全降解.具體參見污水寶商城資料或http://www.xhxdt.com更多相關技術文檔。

圖 8 染料可能的生物降解路徑
3 結論
(1) NB染料的生物降解效率,好氧條件下最高,厭氧/好氧交替條件次之,厭氧條件下染料降解效率最低;在同一反應器中,隨著染料濃度的增加,微生物對NB染料的降解效率逐漸下降.厭氧條件對于NB染料的降解至關重要,而好氧條件加速了染料代謝產物的生物降解進程.
(2) 染料生物降解的動力學特性受到曝氣形式、染料濃度和外加碳源的影響,外加碳源對NB染料的生物降解具有促進作用.在染料濃度為200 mg ·L-1、有外加碳源條件下,2 h后微生物對染料降解為零級反應,在無外加碳源條件下,2 h后微生物對染料降解為一級反應.
(3) 不同實驗條件下,NB染料偶氮雙鍵發色基團均得到充分降解,但是在反應器中始終有苯環、不飽和烴和共軛烯烴等未得到充分降解. NB偶氮染料生物降解先從偶氮雙鍵斷裂,之后生成芳香胺,芳香胺再通過一系列生物降解作用,最終開環直至被完全生物降解.



