粉末活性炭(PAC)因具有高比表面積、穩定化學性質和優良的吸附性能而被廣泛用作吸附劑, 特別是應用于一些突發性污染事件的應急處理以及飲用水的除色、除嗅. PAC在水處理過程中一般為一次性使用, 由于接觸時間不足且不能回用, 無法保證其吸附能力的充分發揮.有研究發現, 隨著PAC粒徑的減小, 其吸附效率顯著增強, 然而PAC粒徑越小, 使用過程中引起的粉塵飛揚問題越嚴重.另外, 粒徑越小, 使用后的含水率高, 與污泥分離也越困難.因此, 探索高效經濟的利用PAC的新方式具有重要的意義.
水凝膠固定化技術在廢水處理有著廣泛的研究.水凝膠是由親水性的聚合物構成的三維網絡結構, 近年來被廣泛應用在工業和環境領域.有研究報道, 海藻酸鈉-聚乙烯醇水凝膠可以在水溶液中吸水膨脹, 親水性好, 生物相容性強, 因其具有豐富的羥基和羧基官能團, 是一種優良的吸附劑.海藻酸鈉-聚乙烯醇凝膠可通過海藻酸鈉與Ca2+交聯, 聚乙烯醇通過冷凍解凍循環形成互穿的三維雙網絡結構的水凝膠. Wang等發現海藻酸鈉-藻類復合水凝膠因具有對二價金屬離子親和力強的古洛糖醛酸和甘露糖醛酸結構單元而大大增加了對重金屬的吸附去除. Park等發現活性炭-藻酸鹽復合微球的吸附中活性炭對有機物的吸附性能好, 而藻酸鹽對重金屬的吸附貢獻大.
綜合活性炭-海藻酸鈉-聚乙烯醇的優缺點, 本文以合成對有機物和重金屬均有良好吸附性能的吸附材料為目標, 以亞甲基藍染料和銅離子為目標污染物, 采用海藻酸鈉-聚乙烯醇水凝膠與活性炭組合的復合水凝膠(CAP)作為吸附劑, 考察了固液比、pH、溫度、反應時間、MB和Cu2+的初始質量濃度等因素對吸附過程的影響以及CAP吸附過程的穩定性, 研究了CAP的吸附動力學和吸附等溫線特性; 通過FTIR表征吸附前后CAP的官能團變化, 深入探討了CAP對目標污染物的吸附特性, 以期為水凝膠固定粉末活性炭類新型高效吸附材料的開發提供理論依據.
1 材料與方法 1.1 主要材料
海藻酸鈉、聚乙烯醇、氯化鈣、硫酸銅、亞甲基藍、氫氧化鈉、氯化氫等藥劑均購自國藥集團化學試劑有限公司, 均為分析純.木質粉末活性炭購自河南某活性炭廠.實驗用水均為超純水.
1.2 材料合成方法
稱取2 g聚乙烯醇到100 mL的超純水中90℃水浴加熱直至溶解, 冷卻后加入2 g海藻酸鈉和0.2 g粉末活性炭, 機械攪拌一段時間后超聲脫氣泡, 使其成為均一溶液.滴入100 mL 10%的CaCl2溶液里, 形成大小均一的凝膠球, 浸泡24 h.置于-40℃冰箱下冷凍24 h, 再常溫下解凍4 h.冷凍解凍操作進行3個循環.所得凝膠球用超純水清洗3次即得到CAP.
1.3 材料表征
樣品的表面形貌利用日本日立公司的場發射掃描電子顯微鏡(SEM, H-7500)獲得; 樣品比表面積和孔結構利用美國麥克公司ASAP-2460全自動比表面積與孔隙度分析儀分析; 熱失重分析采用美國Du Pont公司的TGA2050型熱重分析儀測量, 溫度范圍23~800℃, 空氣氣氛, 升溫速率為10℃ ·min-1; 傅里葉變換紅外(FTIR)光譜由Vertex 70, Bruker紅外光譜儀獲得, 譜圖采集范圍為4 000~400 cm-1, 分辨率為4 cm-1.
1.4 吸附實驗
準確稱取0.02 g CAP加入到40 mL的樣品瓶中, 分別加入20 mL一定濃度的亞甲基藍溶液和硫酸銅溶液, 用0.01 mol ·L-1的HCl和NaOH調節pH.將樣品瓶置于恒溫振蕩箱內振蕩吸附一定時間(25℃, 150 r ·min-1).吸附平衡后, 先靠重力作用進行固液分離, 上清液再過0.45 μm濾膜, 用紫外分光光度計在650 nm波長下分析濾液中的亞甲基藍濃度, 用電感耦合等離子體發射光譜儀(ICP-OES, 島津9800)分析濾液中的Cu2+濃度.每組實驗設置3個平行和空白處理, 最后平衡濃度取平均值分析.并根據吸附實驗前后污染物的濃度的差值計算凝膠材料的吸附量.
式中, qe(mg ·g-1)為吸附平衡時的吸附量; c0、ce(mg ·L-1)分別為污染物初始濃度和平衡濃度; V(L)為溶液體積; m(g)為凝膠質量.
1.4.1 吸附動力學實驗
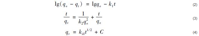
采用在25℃, 固液比為1 g ·L-1, MB和Cu2+初始濃度分別為500 mg ·L-1、200 mg ·L-1的條件下, 在不同時間取樣, 時間設置為0.5、1、2、3、5、7、9、12、20、24、36 h, 轉速為150 r ·min-1下振蕩反應24 h, 過膜后分析剩余濃度, 研究CAP的吸附動力學.為了分析CAP對MB和Cu2+的吸附動力學過程, 采用準一級動力學、準二級動力學和顆粒內擴散模型擬合[9], 表達式分別為:
式中, k1(min-1)、k2(min-1)和kid[mg ·(g ·h0.5)-1]分別是準一級動力學、準二級動力學和顆粒內擴散模型的吸附速率常數; qe(mg ·g-1)和qt(mg ·g-1)分別為平衡吸附容量和在t(h)時間的吸附量; C(mg ·g-1)為與吸附劑表面特性有關的常數.
1.4.2 吸附等溫線實驗
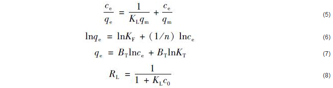
采用在25℃, 固液比為1 g ·L-1, 改變Cu2+的初始質量濃度分別為10、20、50、100、150、200 mg ·L-1, 改變MB的初始質量濃度分別為50、100、300、500、800、1 000 mg ·L-1, 轉速為150 r ·min-1下振蕩反應24 h, 過膜后分析濃度.計算吸附劑的吸附量.分別研究CAP的吸附等溫線變化規律. CAP對MB和Cu2+的吸附等溫線采用Langmuir、Freundlich、Temkin模型進行擬合, 其表達式分別如下:
式中, KL(L ·mg-1)、KF [mg(1-1/n) ·L1/n ·g-1]、BT和KT(L ·mol-1)分別是Langmuir、Freundlich和Temkin模型中和吸附有關的常數; n是Freundlich吸附指數, 與吸附劑的性質有關; RL為Langmuir的平衡常數; c0(mg ·L-1)為污染物初始濃度;qm(mg ·g-1)為單層飽和吸附量.
1.4.3 吸附熱力學實驗
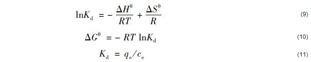
吸附過程中的熱力學參數通過公式(9)~(11)可計算焓變(ΔHθ)、熵變(ΔSθ)和吉布斯自由能(ΔGθ):
式中, R為氣體常數[8.314 J ·(mol ·K)-1]; T為溫度(K); qe(mg ·g-1)和ce(mg ·L-1)同公式(1).
1.4.4 吸附再生實驗
采用在25℃, 固液比為1 g ·L-1, MB和Cu2+的初始質量濃度分別為500 mg ·L-1、200 mg ·L-1, 轉速為150 r ·min-1下振蕩反應24 h.吸附完成后, 取出反應后的CAP用0.05 mol ·L-1的HCl溶液進行脫附再生, 25℃振蕩反應24 h, 取出CAP超純水清洗數次.重復上述吸附-脫附過程若干次, 分別計算每次吸附再生后CAP對MB和Cu2+的吸附量.
2 結果與討論 2.1 活性炭/高分子復合水凝膠(CAP)的表征 2.1.1 形貌分析
從圖 1可見, 活性炭復合水凝膠由于內部彼此相互交聯, 形成三維的多孔空間網絡支架結構, 孔徑大小均一.由于凝膠網絡中引入了粉末活性炭, 沉積在凝膠網絡中的活性炭使得凝膠的孔結構表面變粗糙.此種結構擁有較高的孔隙率, 使活性炭裸露在通透的網絡結構中, 更好地發揮材料的吸附性能.
2.1.2 孔隙和比表面積分析
CAP以氮氣為吸附介質、在77 K下和相對壓力在10-6~1.0的范圍內進行氮吸附測定, 結果如圖 2所示. CAP的比表面積和孔容體積分別為112.7 m2 ·g-1和0.187 cm3 ·g-1.根據IUPAC分類可判定此等溫線屬于Ⅳ型, 可觀察到明顯的滯后環, 符合介孔材料的典型特征.由圖 2(b)可知CAP的平均孔徑大約為6.64 nm, 根據IUPAC孔徑大小分類, 可知大部分的孔徑分布位于介孔結構的范圍內.一般而言, 微孔結構不能容納像亞甲基藍(分子尺寸:1.34 nm×0.60 nm×0.38 nm)這樣的分子較大的物質, 因此, CAP可望有效吸附亞甲基藍分子.
2.2 活性炭/高分子復合水凝膠吸附性能 2.2.1 固液比對吸附影響
研究固液比對MB和Cu2+的吸附量和去除率的影響時, 采用25℃, MB和Cu2+初始濃度分別為500 mg ·L-1、200 mg ·L-1, 固液比分別為0.25、0.5、1、2、4 g ·L-1的條件, 實驗結果如圖 3所示.可見, CAP對MB和Cu2+的吸附量均隨固液比的增大而減小, 單位面積上的吸附位點利用率隨之降低. CAP對MB和Cu2+的去除率均隨固液比的增大而增大, 最終基本保持不變, 固液比大于1g ·L-1時, MB去除率可達94%, Cu2+去除率可達77%.后續實驗固液比選為1 g ·L-1.
2.2.2 pH對吸附的影響
如圖 4(a)所示, CAP在酸性和堿性條件下均未出現新的吸收峰, 無溶出現象.因此具有良好的耐酸堿性. CAP吸附MB在pH為3和11時, 如圖 4(b)所示, 均具有良好的吸附性能以及良好的穩定性, MB溶液的初始pH范圍為3~11.為了避免Cu2+在堿性條件下沉淀, Cu2+溶液的初始pH范圍為2~6, pH分別對CAP去除MB和Cu2+的影響結果如圖 4(c)所示.隨著pH值的升高, CAP對MB和Cu2+的吸附量均逐漸增大, 這是因為pH能夠影響吸附劑和吸附質的性質.對于MB而言, 在酸性條件下, CAP吸附H+而帶正電荷, 與帶正電的MB靜電排斥, 從而降低了吸附效果; 在堿性條件下, CAP吸附OH-而帶負電, 從而提高了吸附效果. Cu2+吸附量也是隨著pH的增大而增大, 還有一方面是水凝膠和活性炭里的官能團如—COOH在較高pH條件更容易電離, 增大了靜電吸引作用.
2.2.3 溫度對吸附的影響
CAP的TGA曲線如圖 5(a)所示.在溫度范圍為0~100℃時, 水凝膠隨著溫度的升高, 有略微的失重, 是由于失去了間隙水.溫度在200~500℃時有明顯的失重, 且失重速率明顯大于之前, 此階段的失重是由于海藻酸鈉/聚乙烯醇的分解造成.可以看出, CAP在100℃以下具有較好的穩定性, 尤其是在25~40℃基本沒有失重, 具有很好的穩定性.不同反應溫度對CAP吸附MB和Cu2+的影響見圖 5(b). CAP水凝膠對MB和Cu2+的吸附量隨著溫度的升高而降低.當溫度達到60℃(333K)時, MB和Cu2+的吸附量分別為455.12 mg ·g-1和118 mg ·g-1, 升溫對MB吸附量的影響較小, 對Cu2+的影響較大.升溫不利于吸附的進行, 說明CAP對MB和Cu2+的吸附是放熱過程.熱力學擬合參數如表 1所示. ΔGθ為負值, 說明吸附過程是自發的; 焓變ΔHθ為負值, 證明吸附過程為放熱過程.有研究認為, 當焓變在2.1~20.9 kJ ·mol-1時吸附作用主要為物理吸附, 當焓變在20.9~418.4 kJ ·mol-1時吸附作用主要為化學吸附.本研究中CAP對亞甲基藍和銅離子的焓變值分別為-14.71 kJ ·mol-1和-20.10 kJ ·mol-1, 更加接近分界值, 推斷CAP吸附過程兼有物理吸附和化學吸附; 熵變ΔSθ為負值, 說明CAP對污染物的吸附使得吸附質分子的自由度減少, 吸附過程熵減少.
2.2.4 吸附動力學研究
圖 6(a)為CAP對MB和Cu2+的吸附隨時間的變化.以CAP對MB的吸附為例, 在0~2.5 h, 吸附量迅速增加, 在2.5~12 h緩慢增加, 12 h以后基本穩定吸附達到平衡. CAP對Cu2+的吸附速率低于對MB的吸附.采用準一級動力學、準二級動力學和顆粒內擴散模型分別擬合了CAP對MB和Cu2+的吸附動力學過程, 如圖 6(b)~6(d)所示, 擬合參數如表 2所示.準一級動力學平衡吸附容量qe與實驗數據相差較大, 其R2也較小.而準二級動力學能夠很好地擬合CAP對MB和Cu2+的吸附, 其R2均大于0.99, 計算出的平衡吸附容量qe(483.09 mg ·g-1和159.74 mg ·g-1)也更接近實驗數據(474.99 mg ·g-1和155.5 mg ·g-1).同時也說明MB和Cu2+在CAP表面發生了化學吸附過程[17].由顆粒內擴散模型擬合的結果可知, CAP對MB的吸附t < 2 h為凝膠表面的液膜擴散過程, 在2~9 h受顆粒內部擴散影響, 9 h之后逐漸達到吸附平衡, 表面吸附位點逐漸飽和; 對于Cu2+而言, 顆粒內擴散模型呈線性關系, 說明吸附Cu2+的過程符合顆粒內擴散模型[18].顆粒內擴散C值均不為0, 即擬合為線性關系但是不過原點, 說明顆粒擴散不是唯一控速步驟[19].
2.2.5 吸附等溫線
CAP對MB和Cu2+的吸附等溫線模型如圖 7所示, 擬合參數如表 3所示. Langmuir和Freundlich均能較好地擬合吸附等溫線, Temkin模型擬合效果較差.從表 2中看出, Langmuir模型具有最好的擬合效果, 說明CAP對MB和Cu2+的吸附符合Langmuir型, 是單分子層吸附.此外, 可通過擬合參數計算出RL均介于0~1, 表明吸附是易于進行的.由Freundlich擬合得到的n均大于1, 屬于優惠吸附, 分配系數KF與吸附劑的吸附能力有關, 其值越大, 說明CAP的吸附能力越強.由Langmuir型可得出CAP對MB、Cu2+的吸附量分別為1 940.75 mg ·g-1和190.48 mg ·g-1.
表 4中列出了一些國內外已報道的相關吸附材料對MB和Cu2+的吸附效果.相比生物炭和金屬氧化物而言, CAP對Cu(Ⅱ)的吸附性能大大提高了; 對于MB而言, 水凝膠類材料的吸附效果均很好.本研究合成的CAP材料采用物理交聯的手段, 沒有使用有毒化學交聯劑, 因此是一種操作簡單、綠色環保的一類吸附劑.
2.2.6 脫附再生實驗
吸附劑除了是否具有優良的吸附性能外, 能否循環再生利用也是一個重要的考慮的因素.本實驗采用0.05 mol ·L-1 HCl溶液進行脫附.圖 8為CAP對MB和Cu2+吸附-脫附5次后的吸附效果.從中可知, CAP對MB和Cu2+的去除率均隨著吸附-脫附循環次數的增多而有所降低, 但是經過5次循環再生后仍然具有相當高的吸附能力, 因此是一種具有可回收利用潛力的吸附劑.
2.3 CAP吸附MB前后的FTIR分析
圖 9為CAP及其吸附MB后在4 000~400 cm-1區間的紅外光譜圖. CAP譜圖中3 238、2 896、2 360、1 589、1 412、1 024 cm-1分別為—OH、C— H、—CHO、—COOH(不對稱)、COO—(對稱)、C—O—C的伸縮振動峰[27].吸附MB后, —OH伸縮振動的吸收峰由吸附前的3 238 cm-1移動到了3 280 cm-1; C=O的對稱伸縮振動峰由吸附前的1 410 cm-1移動至1 408 cm-1.基團吸收峰在吸附后均有相應的減弱.吸附后在3 238、2 360、672 cm-1處的特征吸收峰分別向低頻率移動至3 228、2 223、610 cm-1, 在1 589 cm-1、1 024 cm-1處的特征吸收峰分別向高頻率移動至1 591 cm-1、1 026 cm-1.新的特征吸收峰出現在1 389 cm-1(C—N伸縮振動)和1 328 cm-1(CH3—)覆蓋了1 412 cm-1處的COO—(對稱).此外, 2 896 cm-1、76 cm-1出現了新的伸縮振動峰.吸附后不同基團的振動和出現推斷MB和CAP的官能團發生了化學反應, 該吸附過程為化學吸附.
3 結論
(1) 本研究合成的活性炭/高分子復合水凝膠比表面積和孔體積分別為112.7 m2 ·g-1和0.187 cm3 ·g-1, 平均孔徑大約為6.64 nm, 有利于吸附亞甲基藍這樣的較大分子物質.相比較活性炭, CAP含有豐富的羥基和羧基功能性官能團, 有利于重金屬的吸附. CAP對MB和Cu2+最大吸附量分別可達1 940.75 mg ·g-1和190.48 mg ·g-1.
(2) CAP具有良好的耐酸堿穩定性和熱穩定性.隨pH的升高, CAP對MB和Cu2+的吸附量均逐漸增大; 隨溫度的升高, CAP對MB和Cu2+的吸附量逐漸降低; 隨固液比的增加, CAP對MB和Cu2+的吸附量均減小, 而去除率均隨固液比的增大而增大, 最終基本保持不變.具體聯系污水寶或參見http://www.xhxdt.com更多相關技術文檔。
(3) CAP對MB和Cu2+的吸附過程符合Langmuir等溫吸附過程, 屬于單分子層吸附, 吸附過程符合準二級動力學模型.吸附-脫附再生實驗表明, 經過5次吸附-脫附循環再生后, 仍然有較好的吸附性能.















