1 引言(Introduction)
砷(Arsenic)是一種毒性極強的類金屬元素, 砷及砷的化合物在自然界中廣泛存在.研究發現, 無機砷的毒性遠大于有機砷, 而三價砷毒性比五價砷強(Clancy et al., 2013).目前, 針對水體中砷污染的處理方法包括去除分離和氧化降毒兩個方向, 吸附法因具有綠色可行、便捷高效的特點而被國內外學者關注, 逐漸成為一種去除砷的重要方法(Mohan et al., 2011), 但開發和改進吸附材料是目前研究的難點.海藻酸鈉是一種天然多糖, 因具有無毒、無害的特點而被較早地作為藥物抑制劑應用于醫藥領域(Mahdavinia et al., 2014).近年來, 海藻酸鈉也被廣泛應用在重金屬處理領域.例如, 張初進等(2010)以海藻酸鈉作為包埋劑固定化包埋活性炭和多粘性芽孢桿菌并應用于重金屬Pb2+的去除, 結果發現, 包埋劑的引入極大縮短了吸附平衡的傳質過程, 提升了復合材料的吸附性能和穩定性.Park等(2010)報道了應用各種海藻酸鹽凝膠基吸附劑去除重金屬鉛, 發現海藻酸鹽凝膠基對重金屬的結合能力歸因于膠基核心溶液中的黃原膠, 表面吸附的重金屬離子能夠擴散并遷移到膠基內部.研究還發現, 海藻酸鈉溶液可以與很多二價和三價陽離子反應形成凝膠, 離子交聯反應主要通過海藻酸鈉中古羅糖酸的鈉離子與其他二價、三價陽離子進行不可逆交換(Qi et al., 2012).
目前, 利用鐵氧化物處理含砷廢水已經有一定的研究基礎, 如And等(1997)較早地提出鐵氧化物對砷具有高親和力, 較高的表面電荷和大比表面積賦予了鐵氧化物良好的吸附能力.海藻酸聚合物負載的鐵氧化物基復合吸附劑近來得到了較多的關注, 憑借其較高的生物相容性極大地縮短了吸附過程的傳質時間, 發揮了鐵氧化物的最優性能(Sigdel et al., 2016).例如, Swain等(2013)將Fe、Zr等摻入藻酸鹽體系中制備了FZCA雜化材料用于處理水體重氟離子;Sohfong等(2009)將磁性吸附劑磁鐵礦(Fe3O4)顆粒利用包埋的方式摻入到海藻酸鈣溶膠體系中, 探究了材料對兩種價態含砷廢水的吸附效果.綜上不難發現, 目前的研究多集中于利用海藻鈣這一穩定凝膠體系, 并通過溶凝、浸漬、共沉淀等方式制備鐵氧化物復合材料.基于此, 本研究以海藻酸鈉作為前驅材料, 利用海藻酸鈉易與陽離子發生共價交聯的特性在海藻酸鈉前驅體表面原位負載氧化鐵納米顆粒, 成功制備海藻酸鐵凝膠小球, 并在制備過程中利用尿素作為制孔劑參與到微球合成當中, 以實現納米鐵在前驅材料表面的原位合成.同時, 通過對材料的有條件高溫裂解制備超順磁性海藻酸鐵介孔碳微球(MAMC), 在前期基礎上較為全面地分析復合材料對As(Ⅲ)和As(Ⅴ)的吸附性能.在對材料性質進行較為細致的表征后, 發現海藻酸鈉前驅溶液為納米鐵氧化物提供了穩定的骨架支稱和穩固載點, 加大了納米鐵氧化物顆粒的分散性與穩定性.最后, 探究投加量、pH值、時間和初始污染物濃度等對材料吸附性能的影響.
2 實驗與方法(Materials and methods)2.1 試劑與儀器
試劑:海藻酸鈉、尿素、九水硝酸鐵、亞砷酸鈉、砷酸鈉、氫氧化鈉、濃鹽酸均為分析純, 購于國藥化學試劑有限公司, 去離子水為實驗室自制.
儀器:90-1型磁力攪拌器(上海雷磁)、KQ-100B超聲波清洗器(上海昆山舒美儀器廠)、便攜式pH計(上海雷磁)、電感耦合等離子質譜儀(ICP-MS, 美國珀金埃爾默)、H1650臺式高速離心機(湖南湘儀儀器設備有限公司)、CHA-S氣浴恒溫振蕩箱(常州國華儀器設備廠)、BR-14NT真空高溫管式爐(博納熱爐有限公司).
2.2 材料的制備2.2.1 磁性海藻酸鐵介孔炭的制備
磁性海藻酸鐵介孔碳微球(MAMC)的制備流程如圖 1所示.準確稱取1.0 g海藻酸鈉粉末溶解于100 mL去離子水中, 并于水浴中加熱使固體粉末充分溶解, 制備成海藻酸鈉飽和溶液;將尿素加入到飽和溶液中作為制孔劑(陳敏等, 2016), 其中, 尿素和MAMC的質量比為1:1, 磁力攪拌30 min后冷卻待用(記做SAC前驅溶液);準確稱取2.02 g九水硝酸鐵固體粉末, 溶解于100 mL去離子水中, 配置成5%的硝酸鐵溶液;使用醫用注射器(孔徑0.34 mm)將冷卻至室溫的SAC溶液移入注射器中, 并以20滴· min-1的速率逐滴加入到硝酸鐵溶液中(反應過程保持不斷攪拌).當SAC溶液遇到硝酸鐵溶液時會形成水滴狀的小顆粒, 磁力攪拌器形成的水波漩渦會把形成的小顆粒旋入溶液底部, 確保后續形成的顆粒不產生粘連現象.反應完畢后將燒杯密封, 放置于室溫下陳化48 h;陳化完畢后將形成的顆粒物取出, 并用去離子水搭配超聲波清洗器清洗12~15次, 直到清洗液中檢測無Fe3+滲出;清洗完全后將材料放入真空冷凍干燥器中冷凍干燥48 h, 形成不含水分的黃褐色固體顆粒(SA@Fe Particles);將SA@Fe顆粒放置于管式爐中, 在通入氮氣的條件下按照1 ℃·min-1的升溫速度在300 ℃加熱3 h, 自然冷卻后形成磁性海藻酸鐵介孔碳微球(MAMC).
圖 1

圖 1 MAMC制備流程圖
2.3 材料的表征
MAMC的形態和外貌采用熱場發射掃描電鏡顯微鏡(QUANTA430, 美國FEI公司)觀測, X射線光電子能譜通過Thermo ESCALAB 250XIX射線光電子能譜儀(美國賽默飛世爾科技)測定, 材料的熱穩定性由熱重分析儀(Q500, 美國TA公司)測定, 材料的磁性測試由磁學測量系統MPMS (SQUID) XL(美國Quantum Design公司)獲得.
2.4 材料吸附、脫附實驗
材料的吸附實驗分為投加量實驗、pH值控制實驗、吸附動力學實驗、等溫吸附實驗、脫附和再生實驗5個部分, 吸附平衡后的濾液采用電感耦合等離子發射光譜測定溶液中剩余砷的濃度.相同條件下設置空白對照組進行參考對照, 考察多種因素對吸附量的影響, 其中, 吸附中人工廢水的各種濃度梯度均由砷酸鈉(Na3AsO3)、亞砷酸納(NaAsO2)配制的母液稀釋而成.為了量化材料的吸附效果, MAMC的吸附量和去除率按照以下公式進行計算:
式中, QR為材料的去除率;C0為砷的初始濃度(mg· L-1);C為處理后溶液中砷的濃度(mg· L-1);V為溶液的體積(L);M為吸附劑的用量(g);qe為平衡時的吸附量(mg· g-1).
2.4.1 投加量實驗
準確稱取一定量的MAMC, 按照0.5、1、2、3 g· L-1...(依此規律增加至10 g· L-1)的投加量加入到50 mL的離心管中, 往離心管中加入25 mL濃度為20 mg· L-1的含As廢液, 放置于氣浴恒溫振蕩箱中振蕩直到吸附平衡, 3200 r· min-1離心后過濾分離, 濾出液稀釋待測.
2.4.2 pH值控制實驗
準確稱取0.100 g MAMC樣品于多個50 mL塑料離心管中, 按照實驗要求使用0.1 mol· L-1的NaOH和HCl調節廢液pH值, 其中, 含As廢液濃度均為150 mg· L-1, 調節pH值至2、3、4、5、6、7、8、9、10、11, 充分振蕩24 h后3200 r· min-1離心, 使用醫用注射器安裝0.45 μm濾膜過濾, 濾出液稀釋待測.
2.4.3 吸附動力學實驗
吸附動力學實驗中吸附劑的用量沿用前期實驗獲得的最佳結果(投加量為1 g· L-1, pH=6.5), 溶液體積為25 mL, 設置多個平行樣品, 同時放置于氣浴恒溫震蕩箱中, 按照時間序列先后間隔取出As(Ⅲ)、As(Ⅴ)樣品, 過濾離心后檢測溶液中砷的濃度并進行動力學擬合.
2.4.4 等溫吸附實驗
等溫吸附實驗中準確設置初始廢液濃度為20、50、100、200、300、500 mg· L-1, 反應時間和pH同樣沿用前期最優值(反應時間500 min, pH=6.5), 通過改變初始廢液的濃度考察材料的吸附性能, 并對吸附過程進行兩種等溫模型的擬合.
2.4.5 脫附再生實驗
將吸附飽和的材料通過外加磁場進行固液分離, 將分離出來的材料用去離子水充分浸洗, 冷凍干燥后, 分別放入到0.01、0.1、1 mol· L-1的NaOH解吸液中進行脫附和再生實驗, 脫附和再生完畢后進行相同分離步驟, 干燥后所得樣品分別投加到150 mg· L-1的含As(Ⅲ)、As(Ⅴ)廢液中考察脫附后材料的吸附量.
3 實驗結果與分析(Results and analysis)3.1 材料的表征3.1.1 SEM分析
冷場發射掃描電子顯微鏡的觀察結果如圖 2所示, 其中, 圖 2A、B為MAMC吸附As前的電鏡圖片, 圖 2C、D為MAMC吸附As后的電鏡圖片.從圖中可以看出, 材料表面有很多不規則的孔隙(圖 2B中陰影狀), 材料吸附前分散程度較高;此外, 可以較為明顯地觀察到圖 2B中材料表面負載了大量的顆粒狀的物體, 配套EDS能譜元素成分分析表明(圖 2E), 顆粒狀物體為鐵氧化物的可能性較大, 圖 2B中插圖a顯示出鐵氧化物顆粒密集地負載到了材料層間夾層孔隙中.綜上所述, SEM圖像能夠較為清晰地表明氧化鐵顆粒已經成功負載到了海藻酸鹽前驅體的表面;EDS數據表明, 材料鐵元素的占比高達52.32%以上, 且材料吸附前的As含量接近于0, 豐富的鐵氧化物為以砷酸根、亞砷酸根形式存在的砷離子提供了較為豐富的吸附位點.此外, 通過圖 2A、2B與圖 2C、2D的對比發現, 吸附后材料表面較為明顯的孔隙已經被大量絮狀物(圓桿狀)覆蓋, 材料的分散性降低, 并發生了較為明顯的團聚現象, 也進一步證實了吸附行為的發生.
圖 2

圖 2 MAMC吸附前(A、B、a)、后(C、D)不同放大倍數電鏡照片和MAMC吸附后的EDS能譜及元素含量分布(E)
3.1.2 BET和TGA分析
材料的BET和孔徑分析結果如圖 3a所示, MAMC的比表面積約為62.583 m2· g-1, 孔徑為12.96 nm, 證明材料屬于介孔材料范疇(孔徑介于2 ~50 nm之間).在氮氣環境下, 通過改變壓力并利用BJH法繪制了材料的吸附、脫附曲線, 可以明顯觀察到遲滯環在P/P0=0.63處出現(Liu et al., 2005).較高相對壓力區域MAMC沒有表現出任何吸附限制, 說明MAMC是一種吸附性能優越、空隙和比表面較為發達的介孔材料.熱重分析稱取樣品3.2 mg, 在氮氣環境下以10 ℃· min-1的升溫速度測試了材料的熱穩定性.從圖 3b中可以看出, 材料的總質量隨著溫度的升高逐漸降低, 熱解主要分為兩個階段:在0~300 ℃的溫度下熱解現象較為平緩, 熱穩定性較強;但溫度達到400 ℃以上時海藻酸鈉包埋前驅受熱分解揮發, 造成材料的熱解速率增加, 質量變化較為明顯(Tao et al., 2017).
圖 3

圖 3 MAMC孔徑分布和BHJ曲線(a)及MAMC熱失重(TGA)曲線(b)
3.1.3 XPS分析結果
通過對MAMC吸附前后XPS能譜—C元素的核心軌道結合能進行分峰處理, 捕捉到3個可見峰, 將其歸類為C—C/C—H(芳香族)、C—O/C—O—C(醇式羥基和醚)、C=O(羰基)(Badruddoza et al., 2011).利用XPSspeak軟件對照RWA值及峰面積進行分析, 發現C—C/C—H、C—O/C—O—C發生了較為明顯的峰面積改變, 原因與生成的絡合物附帶有機基團附著于材料表面有關(聚丙二醇PPG/甲酯類聚合物及其同素異形體)(Zheng et al., 2009).通過對Fe、Na的核心軌道結合能分析可以看出, 吸附前后兩種離子的峰面積發生了比較明顯的改變, Na元素來源于海藻酸鈉鹽體系中, 材料在進行到制備、陳化過程時, 海藻酸鈉中的古羅糖酸的Na+與Fe3+發生不可逆離子交聯, 但反應過程中形成的凝膠膜阻礙了一部分Na+的溶出, 冷凍干燥和高溫燒結后, Na+依舊存在于MAMC中并占據部分吸附點位;高溫燒結過程使得MAMC形成了介孔空隙, 一定程度上擴大了離子交換通道, Na+在加入到含As廢液中時, 大部分Na+進入到溶液體系中并且釋放吸附位點, 導致XPS測試結果中吸附后材料體系當中Na+峰的變化.Fe的核心軌道峰面積在吸附后減少改變一部分歸因于吸附過程中砷酸鐵(FeAsO4)的生成和部分Fe3+發生水解生成Fe(OH)3而被剝離出材料.圖 4e反映了材料吸附含砷廢液前后的XPS能譜, 圖譜表明, MAMC在吸附前后峰面積發生較為明顯的波動, 這也再次印證了MAMC吸附As(Ⅲ)和As(Ⅴ)行為的發生.
圖 4

圖 4碳(a.吸附前, b.吸附后)、鐵(c)、鈉(d)、砷(e)元素核心軌道吸附前后的XPS圖像 Fig. 4 C1s(a.before, b.after), Fe2p(c), Na1s(d) and As2p(e) orbit before and after As adsorption
3.1.4 磁性分析
通過材料的磁性測試繪制了MAMC的磁滯回線, 在材料的吸附過程中施加磁場對溶液溶質進行磁分離(圖 5).材料的飽和磁化強度為20.86 emu· g-1, 矯頑力Hc=51.64 Oe, 吸附劑具有超強的順磁性(Mahdavinia et al., 2016), 能夠實現飽和吸附后介質之間的分離(磁場分離測試如圖 5左上角插圖所示), 磁滯回線的局部放大圖(右下角插圖)表明材料的磁滯后現象比較微弱, 理論上可以作為一種性能優越的永磁材料(矯頑力Hc>30 A· m-1)(Li et al., 2012).
圖 5

圖 5磁滯回線、磁滯局部回線放大圖(右下)和磁場施加分離結果(左上)
3.2 As吸附實驗分析3.2.1 投加量實驗
從投加量實驗的結果(圖 6)可以看出, 當含As廢液濃度為50 mg· L-1時, 溶液中As的去除率隨著材料投加量的增加而增大, 前期的斜率較大, 變化率較明顯, 但當投加量趨近于1.0 g· L-1(固液比為1:25)時, 材料發揮出自身的最大效率, 此時圖中反映出來的去除率也接近最優.
圖 6

圖 6 MAMC投加量實驗
3.2.2 pH值對吸附過程的影響實驗
分別調節含砷模擬廢水(濃度為250 mg· L-1) pH值至2、3、4、5、6、7、8、9、10、11, 按照1:25的固液比準確稱取MAMC加入到100 mL錐形瓶中, 充分振蕩后離心過濾, 檢測濾出液結果, 探究pH值與材料的吸附量qe的關系, 結果如圖 7所示.材料對As(Ⅲ)和As(Ⅴ)的吸附量與溶液的pH值關系較為密切, 對于含As(Ⅴ)的廢水, 酸性條件更有利于材料的吸附, 但pH逐漸升高時, 單位材料的吸附量逐漸降低, 并在pH=9時急劇下降.這是因為吸附劑的表面電荷特性和溶質形態與溶液的pH值有重要的關系(Stumm et al., 1993), 當pH值保持在3.0~6.0時, As(Ⅴ)主要以H2AsO4-的形式存在, 當pH為8.0~10.5時, As(Ⅴ)以HAsO42-的形式存在, 而AsO43-出現在更高的pH值區間(Kim et al., 2014), 當溶液介質中的pH值大于MAMC的等電點pH值時(pHPZC=6.3±0.5), 會加大材料表面的負電荷量, 進而加大材料與陰離子的靜電斥力, As(Ⅴ)的吸附量可能會明顯減少(Kanel et al., 2006).對于含As(Ⅲ)的廢水, 材料在高pH值和低pH時的吸附效果都不明顯, 當溶液的pH值較低時, MAMC表面的部分鐵氧化物會發生溶解(觀察到有鐵鹽生成, 溶液體系顏色發生改變), 從而減少了砷酸根的吸附位點.隨著溶液的pH值逐漸升高, 金屬氧化物上的配體吸附逐漸增加, 非電離亞砷酸(H3AsO30)更有利于吸附到MAMC的非離子化位點上(Cumbal et al., 2005).當pH遠大于PZC點時, 納米鐵氧化物發生水解, 產物Fe(OH)3發生電子轉移而生成Fe(OH)4-, 加大了以陰離子形式存在的離子間的競爭吸附與庫侖斥力, 從而抑制H2AsO3-、HAsO32-、AsO33-等砷酸根等陰離子形式的吸附(Zhang et al., 2013).考慮到實驗的可行性, 將下一步實驗的溶液介質的pH值定位到6.5.具體聯系污水寶或參見http://www.xhxdt.com更多相關技術文檔
圖 7

圖 7 pH值對MAMC吸附兩種價態As的影響
3.2.3 吸附動力學實驗
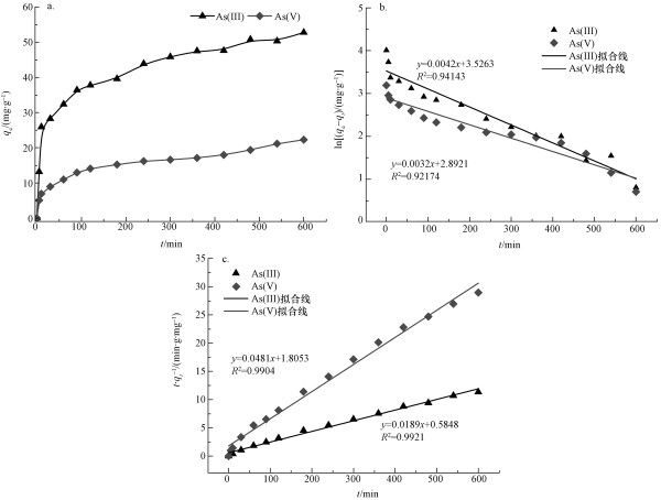
在同溫同壓下, As(Ⅲ)和As(Ⅴ)空白溶液濃度為150 mg· L-1, 利用吸附動力學實驗探究不同反應時間下材料對As(Ⅲ)、As(Ⅴ)的吸附量.實驗采用定時取樣法, 通過測定特定時間段平衡時的廢液濃度計算出特定時刻的吸附量, 用Origin9軟件對吸附過程進行線性準一級動力學(式(1))、準二級動力學(式(2))擬合(羅鈺等, 2017), 所得結果如圖 8所示.
圖 8

圖 8 MAMC的吸附動力學實驗結果(a)及其動力學擬合結果(b.準一級動力學, c.準二級動力學)
式中, qe和qt分別是吸附平衡時和t時刻的吸附容量(mg· g-1), t為吸附時間(min), k1為準一級動力學吸附速率常數(min-1), k2為準二級動力學吸附常數(g· mg-1· min-1).
根據式(1)和式(2)擬合ln(qe-qt)-t和t/qt-t的線性關系如圖 8b和8c所示, 方程的可決系數R2如表 1所示.通過對兩種價態含砷廢水的吸附動力學實驗結果的分析發現, 材料對于As(Ⅲ)、As(Ⅴ)的吸附過程較滿足于準二級動力學方程.在初始廢液濃度為150 mg· L-1時, 準二級動力學方程計算出的理論最大吸附量(As(Ⅲ) 52.91 mg· g-1、As(Ⅴ) 20.79 mg· g-1)與當前濃度實驗值較為接近, 且材料在500 min時基本達到吸附平衡.從圖 8a中不難發現, MAMC達到吸附平衡時對于As(Ⅲ)的吸附量大于對As(Ⅴ)的吸附量, 這是因為As(Ⅲ)、As(Ⅴ)在鐵氧化物納米顆粒內、外擴散機制不同造成(Babaee et al., 2017).
3.2.4 等溫吸附實驗
在溫度和壓力相同的情況下, 通過改變溶液中As(Ⅲ)和As(Ⅴ)的初始物濃度, 測定各濃度下材料的飽和吸附量和溶液吸附后的平衡濃度.實驗得到材料對As(Ⅲ)和As(Ⅴ)的吸附等溫曲線結果如圖 9所示, 等溫模型擬合結果如表 2所示.利用Langmuir方程(式(3))和Freundlich方程(式(4))對材料的吸附等溫曲線進行非線性擬合, 試圖通過吸附模型來探究MAMC的吸附機理.
圖 9

圖 9等溫吸附模型擬合結果(a.As(Ⅲ), b.As(Ⅴ))
式中, qmax為吸附劑的單層飽和最大吸附量(mg· g-1), b為Langmuir常數(L· mg-1), 表示吸附親和力, Kf為吸附能力平衡常數, n為不均勻系數.Freundlich吸附等溫方程是一個經驗公式, 其n值越大, 說明吸附性能越好.一般認為1/n在0.1~0.5之間, 容易吸附;1/n大于2時吸附較難進行.
通過對兩種等溫吸附模型的R2可以判斷, MAMC對As(Ⅲ)、As(Ⅴ)的吸附過程更符合Langmuir模型, 推測MAMC是具有有限吸附位點的吸附劑, 對重金屬As進行單分子層吸附(Dada et al., 2012), 材料對As(Ⅲ)的理論最大吸附量(82.97174 mg· g-1)大于對As(Ⅴ)的理論最大吸附量(50.52885 mg· g-1), 說明材料對As(Ⅲ)的吸附能力優于As(Ⅴ)(Dixit et al., 2003; Yu et al., 2006).從Freundlich模型中發現, MAMC對As(Ⅲ)的不均勻系數均大于1且1/n介于0.1~0.5之間, 說明吸附過程為優惠吸附, 材料的吸附性能較好, 而MAMC對As(Ⅴ)的1/n大于0.5, 進一步強調了材料對As(Ⅲ)的吸附能力優于As(Ⅴ)這一結論.
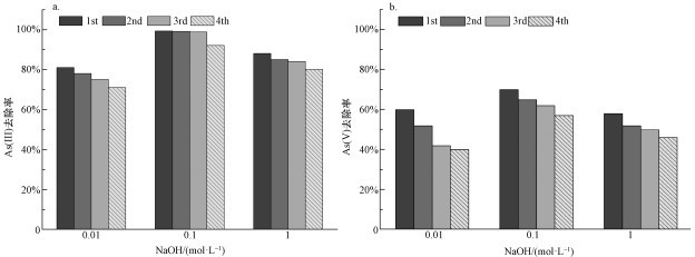
3.4.5 脫附再生實驗結果
脫附再生實驗結果如圖 10所示, 實驗中分別采用0.01、0.1、1 mol· L-1的NaOH對吸附As(Ⅲ)和As(Ⅴ)的材料進行脫附和再生實驗.結果表明, 使用0.1 mol· L-1的NaOH作為材料的脫附和再生溶液較為理想(Babaee et al., 2017; Pitt et al., 2016), 材料在進行4次脫附后對As(Ⅲ)和As(Ⅴ)的去除效果仍然能夠保持在85%和59%左右, 材料對As(Ⅲ)、As(Ⅴ)的去除效果隨著脫附和再生次數的增加而減少.這可能是因為堿性環境會造成海藻酸鈉前驅和部分納米鐵氧化物的溶解, 從而造成部分吸附位點減少, 造成材料吸附容量的降低.
圖 10

圖 10脫附和再生實驗結果(a.As(Ⅲ), b.As(Ⅴ))
4 結論(Conclusions)
1) 本實驗以海藻酸鈉為前驅模板, 通過離子交聯法成功合成了多孔海藻酸鐵微球, 經過真空冷凍和高溫碳化制備了磁性海藻酸鐵介孔碳微球(MAMC), 通過對MAMC的表征分析證實了材料處理水體As(Ⅲ)、As(Ⅴ)的可行性.
2) 吸附實驗中以人工模擬廢水為對象探究了MAMC對兩種價態含As廢水的處理能力, 并探討了pH值、材料的投加量、初始污染物濃度、接觸時間等因素材料吸附性能的影響.實驗發現, 在處理低濃度(10~50 mg· L-1)含砷廢水時, 材料的最優投加量為1 g· L-1, 材料吸附過程受pH的影響較大, 在處理As(Ⅲ)廢水時, 溶液較高pH值(pH>9)和較低pH值(pH < 6)均不利于吸附過程的進行, 在處理As(Ⅴ)廢水時, 酸性條件更有利于吸附反應的進行.吸附動力學實驗發現, 材料的吸附過程更滿足于準二級吸附動力學方程, 材料對重金屬As的吸附過程較穩定且在500 min時基本達到吸附平衡.等溫吸附實驗結果中R2值表明, Langmuir方程能夠更好地滿足材料對As(Ⅲ)和As(Ⅴ)的吸附過程, 材料對As的吸附過程滿足優惠吸附條件, 材料對As(Ⅲ)的吸附能力優于As(Ⅴ), 材料對兩種價態的As離子的吸附為物理吸附和化學吸附同時進行.
3) MAMC的再生實驗證實了材料再生的可行性, 實驗發現, 0.1 mol· L-1NaOH的再生性能和脫附性能較好, 高濃度的再生和脫附介質并不能提升再生材料吸附量, 材料對于As(Ⅲ)的脫附性能優于As(Ⅴ), 材料經過4次脫附和再生MAMC對于As(Ⅲ)和As(Ⅴ)仍然能夠保持90%和60%以上的吸附能力, 這也說明了MAMC能夠實現二次利用和循環再生, 能夠達到綠色環境功能材料的要求.(來源:環境科學學報 作者:江湛如)




