1 引言(Introduction)
鉻是一種重要的環境污染物, 主要來源于電鍍、冶金、制革、印染和化工等行業排放的“三廢”(Li et al., 2013), 且在環境中主要以Cr(Ⅲ)和Cr(Ⅵ)兩種價態存在.與Cr(Ⅲ)相比, Cr(Ⅵ)的毒性更強, 其致癌和致突變能力是Cr(Ⅲ)的1000倍(Morales-Barrera et al., 2008);同時, Cr(Ⅵ)還具有很強的氧化能力和遷移能力.大量的含鉻廢水排入天然水體, 必然對生態環境和人類健康構成嚴重威脅.因此, 廢水中Cr(Ⅵ)的處理已成為國內外環保領域的一個研究熱點.常見的含Cr(Ⅵ)廢水處理方法主要有沉淀法(Gheju et al., 2011; 王剛等, 2015)、吸附法(Ma et al., 2014; 任杰等, 2016)、電解法(Gangadharan et al., 2015)和膜分離法(Kaya et al., 2016).其中, 吸附法具有工藝設備簡單、易操作、成本低廉等優點, 是重金屬廢水處理領域最常見的技術.但傳統的吸附法常用的吸附劑為活性炭, 其價格昂貴, 再生困難.因此, 尋找價格低廉的新型生物吸附材料具有重要意義(Miretzky et al., 2010).
纖維素是自然界中含量最豐富、可再生的天然高分子化合物, 具有價廉、可降解、環境友好等優點.但直接利用天然纖維素作為吸附劑時, 由于高分子中的羥基廣泛形成分子內和分子間氫鍵, 導致其吸附容量小、選擇性低(Hokkanen et al., 2016).選擇性氧化可使纖維素單元上的羥基氧化成醛基甚至羧基, 這不僅改變了纖維素的結構, 而且為纖維素的功能化改性提供了反應活性點.近年來, 國內外關于氧化纖維素制備方面的報道較多, 但所用氧化劑集中在高碘酸鹽和TEMPO(Kumari et al., 2016;Liu et al., 2017).與高碘酸鹽和TEMPO相比, H2O2是一種安全、溫和、清潔、價廉的綠色氧化劑.
聚乙烯亞胺(PEI)分子中擁有大量伯胺、仲胺和叔胺基, 對重金屬離子具有很強的螯合作用, 是一種新型的重金屬離子捕集劑(賈晉等, 2014).然而, PEI分子良好的水溶性使其不能單獨作為吸附劑吸附重金屬離子, 進而限制了其直接作為水處理吸附劑的應用.現有報道主要利用戊二醛、環氧氯丙烷等傳統有毒交聯劑將其固定到一些天然的或合成的不溶載體上(He et al., 2014; Chen et al., 2015).最近, Zhao等(2017)在EDC-NHS體系中不使用有毒交聯劑成功制備了PEI接枝纖維素納米晶吸附劑.但該制備過程采用TEMPO法氧化纖維素納米晶, 且PEI的接枝過程涉及縮合劑EDC和偶聯劑NHS.
鑒于此, 本文以H2O2作氧化劑, 首先將纖維素上的羥基氧化為醛基, 然后通過席夫堿反應直接接枝PEI, 制備PEI改性纖維素纖維(PEI-OCF)吸附劑.整個制備過程不使用任何交聯劑, 綠色環保.同時, 研究PEI-OCF對Cr(Ⅵ)的吸附特性, 探討相關的反應機理, 以期為水中Cr(Ⅵ)的污染治理提供新材料.
2 材料與方法(Materials and methods)2.1 試劑與儀器
試劑:聚乙烯亞胺(PEI, 分子量約為600 g·mol-1)購自上海瀚思化工有限公司;硝酸、過氧化氫、重鉻酸鉀等均為分析純, 購自成都金山化學試劑有限公司;N, N-二甲基乙酰胺(DMAC)和氯化鋰(LiCl)均為分析純, 購自阿拉丁化學試劑公司;鉻標準溶液(1000 mg·L-1)購自國家標準物質中心.
儀器:FA2004N電子天平、101-3AB電熱鼓風干燥箱、HH-2數顯恒溫水浴鍋、PHS-3C精密pH計、HNY-100D恒溫培養振蕩器、Z-5000原子吸收分光光度計.
2.2 棉漿纖維素溶液的制備
將棉漿纖維素依次在蒸餾水、無水乙醇、DMAC中浸泡活化, 烘干;然后取一定量烘干后的物質加入到質量分數5%的LiCl/DMAC溶劑中, 置于5 ℃條件下溶解, 制成質量分數為5%的棉漿纖維素溶液(陳一等, 2009).
2.3 PEI改性纖維素纖維(PEI-OCF)的制備
使用注射器吸取配制好的棉漿纖維素溶液, 注入到去離子水中凝膠再生, 然后用去離子水洗滌除去溶劑, 得到含水率約90%的纖維素水凝膠纖維.
將纖維素水凝膠置于一定濃度和pH的H2O2溶液中恒溫氧化, 得到氧化纖維素水凝膠纖維.之后, 于常溫條件下, 將氧化纖維素水凝膠纖維浸泡于一定濃度的PEI水溶液中.待反應結束后, 用水洗去未反應的PEI, 放入105 ℃烘箱中干燥6 h, 得到PEI改性纖維素纖維(PEI-OCF)吸附劑.
與此同時, 將纖維素水凝膠纖維和氧化纖維素水凝膠纖維放入105 ℃烘箱中干燥6 h, 制備纖維素纖維(CF)和氧化纖維素纖維(OCF)對照樣.
2.4 吸附劑PEI-OCF對Cr(Ⅵ)的吸附實驗
稱取0.02 g PEI-OCF吸附劑, 加入一系列25 mL不同初始濃度和pH值的Cr(Ⅵ)溶液, 以150 r·min-1在恒溫振蕩器中吸附一定時間, 利用Z-5000原子吸收分光光度計測定溶液中剩余Cr(Ⅵ)濃度.平衡吸附量(qe)通過公式(1)計算.
式中, C0和Ce分別為溶液中Cr(Ⅵ)的初始濃度和吸附平衡濃度(mg·L-1);V為溶液體積(L);m為PEI-OCF的投加量(g).
2.5 共存離子對Cr(Ⅵ)吸附的影響
固定PEI-OCF投加量為0.02 g, 向pH=2.0、初始濃度為100 mg·L-1的Cr(Ⅵ)溶液中添加氯化鈣、氯化鎂或氯化鈉, 使溶液中分別含有Ca2+、Mg2+或Na+.然后將溶液置于恒溫振蕩器中, 在25 ℃下以150 r·min-1振蕩3 h, 研究3種離子在300和600 mg·L-1兩種濃度下對PEI-OCF吸附Cr(Ⅵ)的影響.
2.6 樣品的表征
采用傅里葉變換紅外光譜儀(Nicolet-6700, 美國)對CF、OCF和PEI-OCF吸附Cr(Ⅵ)前后的表面官能團進行表征, 分析條件為:衰減全反射(ATR)掃描, 掃描范圍為400~4000 cm-1, 分辨率為4 cm-1.采用掃描電鏡(SEM, FEI Quanta 200)觀察樣品形貌, 并以所附X射線能譜儀(EDX)分析元素成分.
3 結果和討論(Results and discussion)3.1 氧化階段條件優化
以所制吸附劑PEI-OCF對Cr(Ⅵ)的吸附量為評價指標, 固定PEI溶液質量分數為3.0%、pH=11.0、接枝時間0.5 h, 優化H2O2氧化條件, 實驗結果如圖 1所示.由圖 1可知, 氧化階段各因素對PEI-OCF吸附Cr(Ⅵ)的影響均表現為先增加后減小, 最優條件分別為:pH=4.0, H2O2質量分數0.2%, 氧化時間3.0 h, 氧化溫度85 ℃.究其原因, H2O2在強酸性條件下(pH < 3.0)穩定, 隨體系pH值增大, 分解率逐漸增加, 氧化效率相應提高;但由于氧化反應速度較慢, 進一步增大pH值會導致更多H2O2因無效分解而消耗, 因此, PEI-OCF對Cr(Ⅵ)的吸附量減小.固定溶液的pH值, H2O2溶液的濃度將影響其分解率.這是因為高濃度的H2O2分解為HO·和O2-·的速度較快, 而用于氧化纖維素的速度較慢, 因此, 造成活潑O結合形成較為惰性的O2, 降低其氧化效率.溫度升高可提高分子的動能, 活化分子比例相應增大, 從而提高反應速率;但當溫度高于85 ℃時, 過多的H2O2發生了無效分解, 導致氧化效率下降, 因此, 最佳的氧化溫度為85 ℃.
圖 1

圖 1氧化階段溶液pH值、H2O2質量分數、氧化時間和溫度對PEI-OCF吸附Cr(Ⅵ)的影響
3.2 接枝階段條件優化
以PEI-OCF對Cr(Ⅵ)的吸附量為評價指標, 固定H2O2溶液質量分數為0.2%、pH=4.0、氧化時間3.0 h、氧化溫度85 ℃, 優化PEI接枝條件, 實驗結果如圖 2所示.由圖 2可知, 隨著接枝pH由3.0增加到13.0, PEI-OCF對Cr(Ⅵ)的吸附量先增加后略微減小.這是因為PEI堿性較強, 溶液酸度過高時, PEI上的氨基質子化, 不利于PEI與氧化纖維素上的醛基反應生成席夫堿.當PEI質量分數高于3.0%后, 氧化纖維素上可供反應的醛基逐漸減少, 故PEI-OCF對Cr(Ⅵ)的吸附量趨于平緩.隨著接枝反應的進行, 氧化纖維素上可供反應的醛基逐漸耗盡, 因此, 接枝0.5 h后PEI-OCF對Cr(Ⅵ)的吸附量趨于平衡.最終確定最優的接枝條件為:pH=11.0, PEI質量分數3.0%, 氧化時間0.5 h.
圖 2

圖 2 PEI接枝階段溶液pH值、PEI濃度、氧化時間對PEI-OCF吸附Cr(Ⅵ)的影響
3.3 PEI-OCF的表征3.3.1 ATR紅外光譜分析
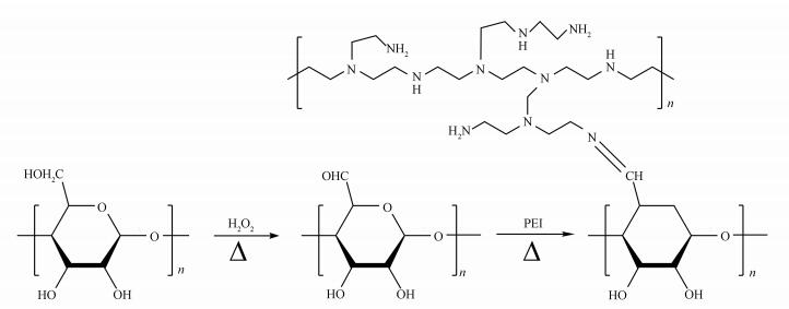
圖 3是CF、OCF和PEI-OCF吸附Cr(Ⅵ)前后的ATR紅外光譜圖.由圖 3b可知, 與CF相比, OCF在1725 cm-1處出現了羰基的特征峰, 證明纖維素上的羥基被H2O2有效氧化(Benghanem et al., 2017).Zhang等(2009)利用H2O2制備氧化淀粉的研究結果表明, 在低的H2O2/淀粉(MR)下, 淀粉中的羥基主要被氧化為醛基, 在較高的MR下, 羥基才被氧化為羧基(Zhang et al., 2009).由于醛基很少以游離醛基的形式存在, 而是形成了水合半醛醇和分子內及分子間的半縮醛形式(孟令蝶等, 2014), 所以該振動峰強度較弱.3350 cm-1處的羥基特征峰減弱, 說明氧化反應后羥基形成的氫鍵減少.經過PEI改性的氧化纖維素纖維(圖 3c), 3350 cm-1處的吸收峰明顯變強變寬, 這是由于羥基O—H的伸縮振動峰和氨基N—H的伸縮振峰部分重疊所致.1725 cm-1處羰基的特征峰消失, 說明醛基與氨基發生了反應.同時, 在1466和1644 cm-1處的吸收峰強度明顯增加, 分別對應C—N伸縮振動峰和新生成的C=N伸縮振動峰(劉旸等, 2016);1569 cm-1出現的新吸收峰為伯胺N—H面內變形振動峰(李宏振等, 2009).這些現象說明PEI通過席夫堿反應被成功接枝到氧化纖維素上.基于上述分析結果, 圖 4給出了PEI-OCF的制備示意圖.對照圖 3c和3d, PEI-OCF吸附Cr(Ⅵ)后各吸收峰強度出現不同程度的降低, 其中, 1569和1644 cm-1處吸收峰強度的變化表明PEI-OCF上的氨基參與了Cr(Ⅵ)的去除.
圖 3

圖 3 CF(a)、OCF(b)、PEI-OCF(c)和吸附Cr(Ⅵ)后的PEI-OCF(d)的ATR紅外光譜圖
圖 4(Fig. 4)

圖 4 PEI-OCF制備示意圖 Fig. 4 Schematic illustration for the preparation of PEI-OCF
3.3.2 X射線能譜分析
利用X射線能譜儀對CF、OCF和PEI-OCF吸附Cr(Ⅵ)前后的樣品進行元素分析, 結果見圖 5.由圖 5可知, CF和OCF主要含C和O元素, PEI-OCF中除了C和O元素, 還新增加了N元素.這進一步確證了ATR紅外光譜分析結果, 即PEI被成功接枝到OCF上.PEI-OCF吸附Cr(Ⅵ)后, 不僅檢測到C、O和N元素, 而且出現了較強的Cr元素衍射峰, 表明溶液中的鉻的確被吸附到PEI-OCF上.
圖 5

圖 5 CF(a)、OCF(b)、PEI-OCF(c)和吸附Cr(Ⅵ)后的PEI-OCF(d)的EDX圖
3.3.3 SEM表征
CF、OCF和PEI-OCF的SEM表征結果見圖 6.對比CF和OCF的SEM圖可以看到, CF經H2O2氧化后表面粗糙度增加, 這是因為纖維素的部分無定形區在氧化過程中受到破壞.OCF經PEI接枝改性后, 所得吸附劑PEI-OCF的表面變得更加粗糙.究其原因, PEI接枝時溶液pH=11.0, 纖維素的無定形區在堿性條件遭到進一步侵蝕.具體聯系污水寶或參見http://www.xhxdt.com更多相關技術文檔。
圖 6

圖 6 CF(a)、OCF(b)和PEI-OCF(c)的SEM圖
3.4 PEI-OCF對Cr(Ⅵ)的吸附3.4.1 溶液初始pH值對吸附的影響
溶液pH值是影響重金屬離子吸附的一個重要因素, 因為它不僅影響吸附質的存在形式, 而且影響吸附劑表面電荷及其表面官能團的存在形式.實驗考察了溶液初始pH在1.0~8.0時, PEI-OCF對Cr(Ⅵ)的吸附效果, 結果見圖 7.
圖 7

圖 7初始pH對Cr (Ⅵ)吸附的影響及吸附后溶液pH的變化
由圖 7可以看到, 隨著溶液初始pH(pH0)從1.0升高到8.0時, PEI-OCF對Cr(Ⅵ)的吸附量從31.20 mg·g-1迅速增加到最大值91.25 mg·g-1, 然后又減少到16.85 mg·g-1.最優初始pH值為2.0, 這與之前的研究結果一致(Singh et al., 2009; Sun et al., 2015).究其原因, 水溶液中Cr(Ⅵ)主要以H2CrO4、CrO42-和HCrO4-的形態存在, 而這些形態的分布受pH的影響.當pH < 2.0時, 水溶液中的Cr(Ⅵ)主要以顯電中性的H2CrO4形式存在(Thavasi et al., 2005); 當pH從2.0升高到6.0時, 溶液中Cr(Ⅵ)主要以HCrO4-形式存在; 繼續增加pH, HCrO4-逐漸轉化為CrO42-, 但CrO42-的吸附自由能大于HCrO4-, 對Cr(Ⅵ)的吸附不利(Weng et al., 1997).與此同時, PEI-OCF表面官能團在酸性條件下發生質子化, 質子化的NH3+能與HCrO4-產生靜電相互作用;增加溶液pH, 吸附劑表面脫質子化, 減少了Cr(Ⅵ)與表面官能團的靜電相互作用, 導致吸附量減少.
此外, 隨初始pH值從1.0增加6.0時, 溶液終了pH(pHt)值從0.6快速升高到8.0, 之后趨緩, 這主要歸因于PEI-OCF表面官能團的質子化作用.當初始pH值大于6.0后, 終了pH值又表現為逐漸升高.
3.4.2 吸附時間的影響
吸附反應會隨著吸附劑與吸附質接觸時間的推移不斷變化, 直至Cr(Ⅵ)達到吸附平衡.實驗固定初始Cr(Ⅵ)濃度分別為100和150 mg·L-1, 在初始pH為2.0、PEI-OCF投加量0.8 g·L-1、吸附溫度25 ℃的條件下, 研究吸附時間的影響, 結果如圖 8所示.由圖 8可知, 吸附過程的前30 min屬于快速吸附階段, 曲線斜率較大, Cr(Ⅵ)的吸附量快速增加;30~180 min為緩慢吸附階段, 180 min后吸附逐漸達到平衡.究其原因, 隨著吸附反應不斷進行, 溶液中與PEI-OCF表面的Cr(Ⅵ)濃度梯度越來越小, 使得吸附的推動力減小, 導致吸附速率降低.此外, 隨著吸附反應不斷進行, 吸附劑表面的吸附點位逐漸被占據, 可用于吸附的活性點位越來越少, 而且PEI-OCF表面吸附的Cr(Ⅵ)會與溶液中剩余的Cr(Ⅵ)產生排斥作用, 阻礙Cr(Ⅵ)的進一步吸附, 因此, 吸附量逐漸趨于平衡.
圖 8

圖 8吸附時間對吸附量的影響
3.4.3 吸附動力學
為了研究PEI-OCF對Cr(Ⅵ)的吸附動力學特性, 獲得合適的動力學模型, 分別選用準一級動力學方程(式(2))和準二級動力學方程(式(3))對試驗數據進行線性擬合, 擬合所得相關參數見表 1.
![]()

式中, qt為反應時間t的吸附量(mg·g-1);qe, exp和qe, cal分別為試驗和模擬計算獲得的平衡吸附量(mg·g-1);k1為準一級速率常數(min-1);k2為準二級速率常數(g·mg-1·min-1);t為吸附時間(min).
由表 1可知, 所有濃度下準二級動力學模型擬合曲線都具有非常好的線性, R2均大于0.999, 遠高于準一級動力學模型擬合結果;而且準二級動力學方程計算出的平衡吸附量(qe, cal)與試驗值(qe, exp)吻合, 說明準二級動力學方程能更好地描述PEI-OCF對Cr(Ⅵ)的吸附行為.由于準二級動力學方程建立在化學吸附假設的基礎上, 所以該吸附的限速步驟主要由化學吸附所控制(Mouni et al., 2014; 王志凱等, 2017).
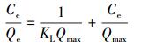
3.4.4 吸附等溫線
吸附等溫線是研究吸附過程的重要依據, 它可以用來描述吸附劑與吸附質之間的平衡關系、親和力及吸附劑的吸附能力.本研究分別利用Langmuir方程(式(4))和Freundlich方程(式(5))對15和30 ℃下獲得的吸附平衡數據進行擬合, 擬合所得相關參數見表 2.
表 2 Cr(Ⅵ)在PEI-OCF上的等溫吸附模型參數

式中, Qe為平衡吸附量(mg·g-1), Ce為吸附平衡時溶液中剩余Cr(Ⅵ)濃度(mg·L-1), Qmax為理論飽和吸附量(mg·g-1), KL為Langmuir常數(L·mg-1), KF為Freundlich常數(mg1-1/n·L1/n·g-1), n與吸附力推動大小及吸附位的能量有關.
從表 2可以看出, Langmuir等溫吸附模型擬合得到的R2值在0.999以上, 高于Freundlich等溫吸附模型擬合結果, 說明Langmuir等溫吸附模型能更好地描述Cr(Ⅵ)在PEI-OCF上的吸附行為.由于物理吸附往往發生多分子層吸附, 而化學吸附發生單分子層吸附(張繼義等, 2017), 因此, PEI-OCF吸附Cr(Ⅵ)的過程中主要是化學吸附.由Langmuir模型擬合可計算得到15和30 ℃下的最大吸附量分別為110.61和119.04 mg·g-1, 與此同時, 未經改性的纖維素纖維在同樣條件下吸附量僅分別為28.52和32.21 mg·g-1.
3.4.5 共存離子的影響
天然水體中廣泛存在著Ca2+、Mg2+和Na+等無機離子, 這些離子的存在可能干擾吸附劑對Cr(Ⅵ)的去除.因此, 本研究考察了Ca2+、Mg2+和Na+對PEI-OCF吸附Cr(Ⅵ)的影響, 結果見圖 9.從圖 9可以看到, 吸附體系中添加Ca2+、Mg2+或Na+后, PEI-OCF對Cr(Ⅵ)的吸附量均有所下降.但即使3種干擾離子的濃度增大到600 mg·L-1, PEI-OCF對Cr(Ⅵ)的吸附量仍能達到對照組的86%以上.因此, 可認為Ca2+、Mg2+和Na+對PEI-OCF吸附Cr(Ⅵ)的影響較小.
圖 9

圖 9共存離子對Cr (Ⅵ)吸附量的影響
4 結論(Conclusions)
1) 采用低濃度H2O2作氧化劑, 在不使用任何交聯劑的條件下, 成功制備了PEI-OCF吸附劑.
2) 氧化階段的最優條件為pH=4.0, H2O2質量分數0.2%, 氧化時間3.0 h, 氧化溫度85 ℃;接枝階段的最優條件為pH=11.0, PEI質量分數3.0%, 氧化時間0.5 h.
3) PEI-OCF對Cr(Ⅵ)的吸附具有強烈的pH依賴性, 最優pH=2.0.吸附過程符合準二級動力學模型和Langmuir等溫吸附模型, 化學吸附為速率控制步驟.在15和30 ℃時, PEI-OCF對Cr(Ⅵ)的最大吸附量分別為110.61和119.04 mg·g-1.
4) 濃度為300和600 mg·L-1的共存離子Ca2+、Mg2+和Na+對PEI-OCF吸附Cr(Ⅵ)的影響較小.(來源:環境科學學報 作者:陳豪宇)




