三氯生(TCS)殺菌效果快速,除臭、抑菌效果突出,是個人護理品(PPCPs)中廣泛使用的添加劑。隨著PPCPs的普及使用,其中以三氯生為代表的高效殺菌劑被大量排放到環境中。由于三氯生分子結構中存在與多溴聯苯醚、二惡英以及甲狀腺激素相類似的鹵代聯苯醚結構,被認為是一種潛在的內分泌干擾物,而且三氯生在自然條件下降解緩慢,這對生態系統和人類健康都構成了較大威脅。因此,高效去除污水中的三氯生逐漸成為研究的熱點。
目前,用于處理廢水中三氯生的方法主要有化學氧化法和生物降解法;瘜W氧化法是通過氧化劑的強氧化作用使目標污染物破壞降解,但是易產生二次污染,且消耗較多的化學試劑。生物降解法則是利用微生物的新陳代謝將TCS分解,但是由于TCS具有較強的殺菌性,因此,生物法對TCS的降解條件苛刻、降解效率低下。電化學氧化法相比于傳統的化學氧化法具有清潔高效、操作簡單、易于控制等優勢,應用前景良好。葉文彬采用鍍鈀的碳納米管電極電解TCS廢水,當TCS濃度為50 mg·L−1,電壓為30 V,pH為11,電解質Na2SO4的濃度為1 000 mg·L−1時,經過8 h電解,TCS去除率達98%以上。鄭紅濤選用相似的實驗條件,經過3 h電解也得到了很好的降解效果。
文獻報道的三氯生廢水電化學處理研究,基本都是在堿性環境或較高濃度條件下進行的,與實際廢水中三氯生濃度較低、且多呈中性的情況相差很大;因此,對實際廢水的電化學處理缺乏指導性。本研究以低濃度的三氯生廢水為目標,探討電流密度、電解質濃度和pH等因素對三氯生電化學去除效果和能耗的影響規律,為實際應用提供理論與實驗支持。
1 材料與方法
1.1 主要試劑、儀器
1.1.1 試劑
三氯生(97%)購自Aladdin Industrial Corporation;二氯甲烷(色譜純)購自天津市科密歐化學試劑股份有限公司;無水硫酸鈉、氫氧化鈉、濃硫酸皆為分析純,購自南京化學試劑有限公司;實驗用水為超純水。
1.1.2 儀器
UV-3300型紫外分光光度計,SOP PRACTUM124-1CN型電子天平, IS-RSV1型恒溫振蕩器,DHG-9030A型鼓風干燥箱,KQ3200V型超聲波清洗器,TOC-L CPH CN200型總有機碳分析儀。
1.1.3 實驗裝置
實驗裝置如圖1所示,其中釕銥陽極購自寶雞市祺鑫鈦業有限公司,尺寸為90 mm×50 mm×0.5 mm(IrO2-RuO2涂層厚度為10 μm),石墨陰極購自海門市科興碳業有限公司,尺寸為90 mm×50 mm×2 mm,電極使用時浸水深度都是60 mm。KXN-305D型直流電源購自深圳市兆信電子儀器設備有限公司。
1.2 實驗方法
1.2.1 不同條件下TCS溶液的配制
堿性條件下配制20 mg·L−1的三氯生溶液作為儲備液,通過稀釋三氯生儲備液、加入稀硫酸和電解質Na2SO4溶液,得到各個條件下的模擬水樣。
圖1 實驗裝置圖
1.2.2 分析方法
采用二氯甲烷萃取-紫外分光光度法測定廢水中的三氯生,分析步驟如下:二氯甲烷與三氯生溶液以1:10的體積比混合后,放入25 ℃的恒溫搖床中以130 r·min−1的振蕩速度振蕩4 h,取出靜置20 min后取下層萃取相測定281 nm處的吸光度。得到標準曲線方程: y=0.189 1x+0.036,相關系數R2=0.999 2,濃度范圍為0.5~5.0 mg·L−1。
1.2.3 能耗計算
單位能耗計算公式:
Q=IVT/(1 000m) (1)
式中:Q為單位能耗,kWh·g−1;I為電解時固定的電流值,A;V為反應時段內的平均電壓值,V;T為電解反應的時間,h;m為反應時間T三氯生的去除量,g。
2 結果與分析
為了探討電化學反應器對低濃度三氯生廢水的去除效能,先后進行了不同電流密度、電解質濃度和pH下的三氯生去除實驗,計算了不同條件下的能耗,測定了電化學去除過程紫外吸收光譜和TOC的變化,探討了三氯生的電化學去除機制。
2.1 電流密度的影響
TCS初始濃度為4 mg·L−1,電解質Na2SO4濃度為0. 025 mol·L−1,溶液pH為7,考察電流密度對TCS去除效果的影響,實驗結果如圖2所示。
圖2 不同電流密度下三氯生的去除效果
由圖2可以看出,隨著電解時間的不斷增加,三氯生的去除率逐漸提高且增加的趨勢逐漸變緩;電流密度為5 mA·cm−2時,三氯生的去除率較低,反應2 h去除率僅為58.1%,當電流密度提高到10 mA·cm−2和15 mA·cm−2時,三氯生的去除率明顯增大,反應2 h去除率分別達到70.7%和76.1%,這說明電流密度越大,越有利于三氯生的去除。分析原因如下:電流密度增大,會提高電極電位,加速電子的傳遞,不僅增加了反應的活性物質·OH,還會使電極上有機物的吸附、脫附速率亦隨之加快,因而提高了三氯生的去除率。但是隨著電流密度、電壓的增加,會增大旁路電路和短路電路對電能的消耗,降低電流的效率。
2H2O-4e−=4H++O2↑ (2)
2H2O+2e−=2OH−+H2↑ (3)
另外,隨著電流密度的提高,析氫(析氧)副反應也會加劇,導致生成的氫氣(氧氣)小氣泡附著在電極表面,阻礙傳質,影響三氯生的去除效果,如式(2)和式(3)所示。而且隨著電流密度的增大,體系放熱量也急劇增加。這些都導致隨著電流密度增大,去除單位三氯生的能耗也隨之增加,如反應120 min時,電流密度從5 mA·cm−2分別提高至10 mA·cm−2和15 mA·cm−2,單位能耗則從10.5 kWh·g−1分別提高至26.4 kWh·g−1和40.7 kWh·g−1。
2.2 pH的影響
TCS初始濃度為4 mg·L−1,電解質Na2SO4濃度為0. 025 mol·L−1,電流密度為10 mA·cm−2,考察pH對TCS去除效果的影響,實驗結果如圖3所示。
由圖3可以看出,溶液初始pH對三氯生的去除效果有較大影響,總體上酸性或堿性條件優于中性條件。反應1 h,在酸性、中性和堿性條件下,三氯生去除率分別為71.7%、50.6%和66.0%;反應2 h,三氯生去除率分別提高到81.0%、70.7%和81.1%。酸性和堿性條件優于中性條件的原因可能如下:酸性條件有充足的氫離子在陰極還原為活性原子氫,生成的原子氫很容易與三氯生發生反應,將三氯生還原降解。另外,酸性條件下H+濃度高,也會增加·OH等活性物種的氧化電位,使氧化性增強。而在堿性條件下,溶液中的OH—濃度高,有利于產生更多的活性物質·OH,從而使三氯生的去除率上升(見式(4))。具體聯系污水寶或參見http://www.xhxdt.com更多相關技術文檔。
OH—→·OH + e−(4)
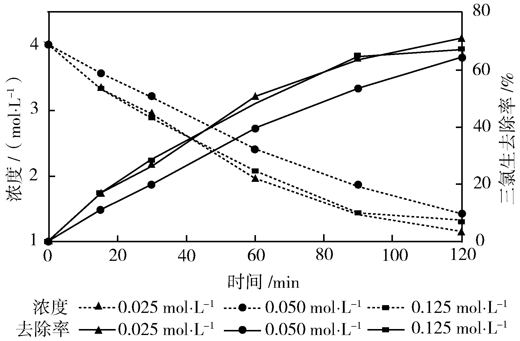
2.3 電解質濃度的影響
TCS初始濃度為4 mg·L−1,電流密度為10 mA·cm−2,溶液pH為7,考察電解質濃度對TCS去除效果的影響,實驗結果如圖4所示。
由圖4可知,Na2SO4濃度為0.025 mol·L−1和0.125 mol·L−1時,三氯生的去除率較高,電解2 h時三氯生去除率分別為70.7%和67.5%;而Na2SO4濃度為0. 050 mol·L−1時,三氯生去除效果則變差,電解2 h三氯生去除率僅為64.2%。因此,電解質Na2SO4濃度對三氯生的去除效果影響較大,電解質濃度過高或過低都不利于三氯生的去除。可能的原因在于:電化學反應過程需要維持一定的電流,電解質的增加提升了離子強度,增加了溶液的導電性,因此提高了三氯生的去除效果。但是,電解質濃度過大,離子間距離會變小,相互作用增強,使離子遷移運動阻力增大,反而使溶液導電性降低。而且隨著電解質濃度的提高,電解質吸附在電極表面的可能性增大,如硫酸根離子可能會吸附在正極上,從而阻礙三氯生和電極的接觸反應。另外,三氯生是極性分子,極性分子的偶極也可能會和溶液中的離子發生靜電作用,從而阻礙了三氯生在電極上的遷移,降低三氯生的去除效果。
2.4 能耗分析
按照式(1)計算出電流密度為10 mA·cm−2、降解率為50%時,電解質濃度分別為0. 025、0. 050和0. 125 mol·L−1的能耗,結果如圖5所示。電解質濃度為0.025 mol·L−1、降解率為50%時,電流密度分別為5、10和15 mA·cm−2的能耗如圖6所示。
由圖5和圖6可知:電解質濃度為0. 125 mol·L−1時能耗為8.32 kWh·g−1,均低于0. 025 mol·L−1和0.05 mol·L−1時的能耗15. 84 kWh·g−1與18.9 kWh·g−1。電流密度為15 mA·cm−2時,盡管三氯生去除率最高,但是比5 mA·cm−2和10 mA·cm−2時的能耗要大得多。綜合能耗和去除率2個指標,電流密度為10 mA·cm−2時的效果最好。
圖5 不同電解質濃度時的能耗
圖6 不同電流密度時的能耗圖
2.5 三氯生的電化學去除機制初步探討
在三氯生初始濃度為4 mg·L−1、電流密度為10 mA·cm−2、電解質硫酸鈉濃度為0. 025 mol·L−1、pH為中性條件下,取不同反應時間的溶液進行TOC測定和紫外光全波段掃描,以分析三氯生的可能降解機制。
2.5.1 TOC去除效果
圖7為三氯生模擬廢水電化學處理過程的TOC變化。由圖7可知,在三氯生降解過程中,TOC值先變大后逐漸減小。推測原因在于:三氯生首先被轉化成一些中間產物,這些中間產物的TOC濃度更高;接著這些中間產物降解為小分子產物,甚至變成CO2和水,因而TOC逐漸降低。
圖 7 TOC隨時間的變化
2.5.2 不同處理時間的紫外吸收光譜
由圖8可以看出, 波長在190~250 nm之間有強吸收帶,281 nm附近有中等強度吸收帶,說明分子中有苯基存在,印證了三氯生結構中苯基的存在。隨著電解的進行,中等強度吸收帶的吸光度不斷減弱,接近消失,由此可以說明三氯生的電化學降解效果良好,大部分被去除。另外,反應15 min時在250 nm波長左右的吸光度上升,原因可能是生成的中間產物有更大的共軛體系,其在250 nm處的紫外吸收更強,這和反應15 min時的TOC值最大也相吻合。當反應時間增加到30 min以上時,三氯生及其中間產物的苯環等共軛體系不斷被破壞分解,因而紫外吸光度不斷下降。
圖8 不同處理時間的紫外光全波段掃描對比
3 結論
1)三氯生的去除效果受電流密度的影響最大,隨著電流密度的增大,去除率會有所提高,但存在一定限度;去除效果受溶液pH與電解質Na2SO4濃度影響也較大,總體上酸性或堿性條件優于中性條件,而電解質濃度過高或過低也都不利于三氯生的去除。
2)隨著反應的進行,推測三氯生先部分生成了TOC濃度更高、共軛體系更大的中間產物;之后三氯生及其中間產物的苯環等共軛體系不斷被破壞分解為小分子產物,甚至變成CO2和水。
3)電化學反應器對三氯生模擬廢水有較好的處理效果。當初始濃度為4 mg·L−1,電流密度為10 mA·cm−2、Na2SO4濃度為0. 025 mol·L−1、pH為7條件下反應2 h,三氯生去除率為71.0%,能耗為26.4 kWh·g−1。(來源:環境工程學報 作者:孫天宇)










