堿渣廢水是在石油煉制過程中,用堿液NaOH溶液對汽柴油和液化氣進行洗滌精制的過程,主要用于除去硫醇、硫醚等雜質。它所呈現的特點是高COD,高pH值,通常pH>12,鈉離子含量在5%-12%,黑褐色、惡臭、毒性大,難降解,極強腐蝕性。主要成分含有硫醇、硫醚、硫化物、酚類、石油類、氨氮、有機酸鹽等污染物,其常見組成及成為見下表。

在堿渣廢水的處理工藝上,每個煉油廠的處理工藝和原油品質都不盡相同,使得其組成成分及含量上有巨大差異,雖然有很多學者進行大量的實驗研究,但在工業應用方面一直沒有獲得統一的工藝流程,這就使得目前煉化行業內沒有統一的標準方法。
某煉油廠采用NaOH溶液作為堿洗液,用以除去催化裝置的液化氣和汽油,以及焦化裝置液化氣中的硫醇、硫醚以及酚類等有雜質,以提高產品品質,催化汽油和液態烴的廢堿液混合在一起,每年的量1500多噸。原先有專門的堿渣坑用于儲存堿渣廢液總量約4萬噸。但隨著國家對環保的重視以及人們環保意識的增強,尤其是在2015年新標準中規定最高允許排放標準COD降低至60mg/L,如何將堿渣廢水做更好的預處理,以防止對下游污水處理廠造成沖擊,成為亟待解決的問題。
本研究以堿渣坑存儲的堿渣廢液為研究對象,采用傳統的Fenton法對堿渣廢水進行預處理,考察了不同的工藝條件下COD的降解情況,得到預處理最佳工藝條件,為其后續污水的進一步處理提供可靠的進水水源,也為Fenton法在工業上的實際應用提供數據支撐和方法思路。
1、材料和方法
1.1 儀器與藥劑
儀器:JBZ-12H型磁力攪拌器。
藥劑:H2O2(CP),FeSO4.7H2O(AR),H2SO4(AR),NaOH(AR)。
1.2 實驗用水
堿渣廢水取自西北某煉油廠堿渣坑廢水,其水質:COD7000-26000mg/L硫化物280mg/L,酚450-6830mg/L,pH11-14,氨氮310mg/L,主要陽離子Ca2+、Na+。
1.3 實驗方法
取0.5L廢水樣裝入1L的燒杯中,用電磁攪拌器進行攪拌,用H2SO4調節pH值,然后將H2O2和FeSO4.7H2O分別倒入燒杯中,反應一段時間后,停止攪拌,用NaOH將溶液pH值調節至5-8,然后靜置一段時間,取上層清液測定其COD,計算COD的去除率。

式中:X為COD的去除率,%
1.4 分析方法
根據《水質化學需氧量的測定重色酸鹽法》(GB/T11914-1989)采取重鉻酸鉀滴定法,取10mL樣品于100mL容量瓶中稀釋10倍混勻后,取其中的5mL,即取樣0.5mL廢水樣置于錐形瓶中,加入0.2mg的硫酸汞粉末,10mL0.25mol/L的重鉻酸鉀溶液,加入硫酸—硫酸銀溶液,回流40minL冷卻,用已知濃度的硫酸亞鐵銨進行滴定。

式中:
V0:用硫酸亞鐵銨滴定空白的體積,mL
V1:廢水取樣體積,mL
V2:用硫酸亞鐵銨滴定廢水的體積,mL
C硫酸亞鐵銨:硫酸亞鐵銨的濃度,mol/L
2、結果與討論
2.1 H2O2濃度下的COD去除率
取廢水樣500mL,將pH值調節至3.5,加入下表所示的H2O2,再30mL10%的FeSO4.7H2O溶液,反應45min后調節pH值6.5,靜置2h,取上清液測定COD,計算COD的值如下圖所示:

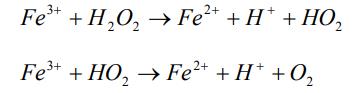
如圖1所示,隨著H2O2投加量的增大,COD的去除率隨之增大,當H2O2的用量達到36mL時,COD的去除率達到了84%,發生了如下的反應:

隨著H2O2的投加,可以使得羥基自由基·OH產生更多,大量的羥基自由基可以氧化廢水中的有機物,這樣使得COD的去除率升高,但超過36mL以后,Fe2+被氧化成Fe3+,并發生以下反應:

使得氧化反應無法進行,同時Fenton試劑發生反應的同時也產生了一些抗氧化產物,使得廢水中的有機物無法進一步降解。因此過量的H2O2量不會給廢水的去除率得到很大的提高,而且會造成藥劑的浪費,因此每500mL廢水的最佳加入量為36mL。
2.2 不同的FeSO4.7H2O濃度下的COD的去除率
取廢水樣500mL,將pH值調節至3.5加入36mL的H2O2,再加入不同量10%的FeSO4.7H2O溶液,反應45min后調節pH值6.5,靜置2h,取上清液測定COD,計算COD的值如圖2所示。

在H2O2的加入量在36mL的情況下,考察不同10%FeSO4.7H2O的加入量對去除率的影響,如圖2所示,FeSO4.7H2O的用量對COD去除率的影響較大,隨著FeSO4.7H2O用量的增大,COD的去除率隨之增大,當FeSO4.7H2O的用量為25mL時,其去除率達到最高88%,這是因為Fe2+在反應中起到了催化的作用,隨著的用量的增加,COD的去除率呈現下降趨勢,這是因為溶液中存在如下的反應:

過量的Fe2+被氧化成Fe3+,根據反應平衡方程式可知,該反應會消耗部分的雙氧水,從而影響了COD的去除率。所以FeSO4.7H2O的加入量不宜過大,并且在反應后要中和酸性水使Fe3+沉淀下來,還應加入堿,增加了水處理的成本費用,所以本次實驗中的FeSO4.7H2O最佳的加入量為35mL。(H2O2:10%FeSO4.7H2O的體積比為1.44:1)
2.3 不同pH值下反應的COD
取廢水樣500mL,將pH值調節至如下表所示,再加入36mL的H2O2,再加入10%的FeSO4.7H2O溶液35mL,反應45min后調節pH值6.5,靜置2h,取上清液測定COD,計算COD的值如下圖所示:

如圖2所示不同pH值對于廢水的去除效果很明顯,在pH值為3.5時,CODcr的去除率達到最大,在pH值較小的情況下,其去除率較低,其原因可能是H+濃度過高,Fenton試劑會發生以下的反應:

在酸性過強的條件下,Fe3+不能順利的還原成Fe2+,這樣就影響了羥基自由基的產生,所以在強酸作用下,反應的去除率不是很高?梢钥匆姰攑H值調節到3.5時其反應的COD的去除率最高,可達87%。
3、結論
(1)對于某煉油廠高濃度的堿渣廢水,用Fenton試劑進行處理時一種有效的方法。每1L廢水中,在H2O2的投加量最佳為72mL,10%FeSO4.10H2O的最佳投加量為70mL時,最佳反應時間為40min,最佳反應pH值為3.5時,其去除率最高達到87%(原水COD為25436mg/L)最低可達53%(原水COD為8568mg/L)
(2)此反應屬于放熱反應,但最高溫度不超過49℃,對反應體系沒有影響。除CO2外,并無其他氣體產生,氣味為原水的惡臭味,反應后惡臭味有所減輕。目測有棕紅色泡沫產生,最大膨脹體積為原水的1/2,在反應至20min后逐漸消失。反應后的pH值和靜置時間,對COD去除率的影響效果不大,保持在5-8范圍內,靜置時間為3h,廢水的COD的去除率最高61%(原水COD為7201mg/L)。反應時間至少40min,當延長時間COD并不會提高。加入過量的H2O2后,不會提高COD的去除率,對體系并沒有影響無安全風險。
(3)Fenton法處理堿渣廢水操作簡單、設備簡單投資少,反應簡單迅速、條件溫和、效果明顯、工業化應用方便,應用潛力大,但是傳統的芬頓法存在H2O2以及FeSO4消耗大、成本高、有機物礦化度低,另外需要在pH值調至酸性才能發揮其氧化性,在預處理萬還要調回中性,這就消耗了大量的酸堿。針對以上問題,可以將Fenton法與其他方法結合,目前有UV—Fenton法、UV—vis/草酸鐵絡合物H2O2Fenton法、電-Fenton法;超聲波-Fenton法;Fenton法+生物法聯用;Fenton混凝沉淀法、鐵屑/H2O2法、Fenton法+活性炭法聯用,隨著科技的發展,這種改性Fenton法用以彌補Fenton法的一些缺陷。(來源:烏魯木齊石化研究院)


