氯化法鈦白粉工業化生產過程中采用熟石灰對含鐵酸性廢水進行中和處理,洗滌分離出來的濾液含有質量分數10%以上的氯化鈣高鹽廢水以及微量的FeCl3、MgCl2、MnCl2、SrCl2等氯化物,將氯化鈣高鹽廢水通過轉化工序、除雜工序、壓濾工序、脫硝工序制得合格的二次精鹽水,二次精鹽水經MVR蒸發得到副產鹽。
1、工藝流程
來自氯化法鈦白粉渣處理崗位的氯化鈣高鹽廢水進入原料廢水罐,經原料水泵加壓、換熱器加熱至35~60℃,后輸送至轉化反應罐,芒硝溶液泵將芒硝溶液加至轉化反應罐,并加入32%氫氧化鈉溶液,經攪拌器加速混合反應生成硫酸鈣。硫酸鈣溶液經過轉化反應泵輸送至轉化沉降罐,沉降后經過轉化沉降泵加壓送至轉化壓濾機,進行固液分離,濾液自流至粗鹽水罐,濾餅白石膏外售。粗鹽水經粗鹽水泵輸送到折流槽,純堿溶液經過純堿泵加入折流槽和粗鹽水混合后進入除雜反應罐,經過攪拌器快速混合反應生成碳酸鈣渣,隨后溢流至除雜沉降罐中,經過除雜沉降泵加壓送至除雜壓濾機,除雜壓濾機濾液自流至除雜鹽水罐中,濾渣即碳酸鈣渣。除雜水泵將除雜鹽水送至膜過濾器裝置,過濾精鹽水溢流至精鹽水罐;泥漿濃縮液排放至鹽泥罐中,經鹽泥泵送至除雜沉降罐:膜過濾器定期用鹽酸浸泡酸洗,鹽酸回流至鹽酸罐循環使用。精鹽水通過添加高純鹽酸將pH調節到5~8,通過板式換熱器保持鹽水在25~35℃。再經大通量過濾器過濾后合格水送至中間水罐;精鹽水經高壓泵加壓進入膜脫硝系統處理,產生貧硝水去精制鹽水罐,富硝水進富硝水罐。富硝水經富硝水泵去芒硝池配制芒硝溶液。精制鹽水經過原料泵輸送至原料計量罐,原料計量泵加壓后經過板換熱器加熱后輸送至一效循環罐;一效循環泵將精制鹽水輸送至一效加熱器加熱,加熱后自流至一效循環罐,當原料水循環加熱提濃至14%左右,經過一效出料泵輸送至二效循環罐;二效循環泵將一效濃縮液輸送至二效加熱器加熱,加熱后自流至二效循環罐,當循環加熱后濃度達到20%左右,二效濃縮液經二效出料泵輸送至強制循環系統進行濃縮結晶,直至達到25%的晶漿濃度;強制循環系統中的晶漿液通過采鹽泵送至稠厚器,后進雙推離心機進行固液分離,副產鹽送至化鹽池化鹽,離心母液回強制循環系統進行循環蒸發回收再利用,少量母液外送至環保車間,其工藝流程圖見圖1。

2、工藝原理
氯化鈣高鹽廢水通過轉化反應罐、轉化沉降罐、除雜反應罐、除雜沉降罐和膜過濾裝置除去鈣離子和鎂離子,得到精鹽水、外售石膏和碳酸鈣渣。精鹽水經過脫硝裝置將鹽水中硫酸根離子去除,經過MVR蒸發裝置將精制鹽水蒸發提濃,經離心機進行固液分離得到副產鹽。


其中,在轉化反應罐中,氯化鈣高鹽廢水中加硫酸鈉、硫化鈉、磷酸氫二鈉和氫氧化鈉溶液,生成不溶性沉淀物而去除高鹽廢水中的鈣、鎂及其他雜質金屬離子,反應完成后進行壓濾,得到粗鹽水和白石膏,詳見反應式(1)~(7);在除雜反應罐中,向粗鹽水中加碳酸鈉和氫氧化鈉溶液,進一步去除水中的鈣、鎂及其他雜質金屬離子,反應完成后進行壓濾,得到除雜鹽水和碳酸鈣渣,詳見反應式(8)~(13);在膜過濾裝置中,除雜鹽水經過具有高的過濾面積、非常精細的孔徑的膨脹型聚四氟乙烯微濾膜過濾,得到精鹽水和鹽泥,鹽泥返回除雜沉降罐;精鹽水經過加鹽酸調pH至5~8而進入中間水罐,由高壓泵加壓后,采用SRO膜法除硝技術去除硫酸根離子得到貧硝鹽水,其原理是在高于溶液滲透壓的壓力下,對二價或高價離子如SO42-具有很高的截留率,而對單價離子如CI-則具有較高的透過率,即CI-可以通過膜組件進入透過液系統,SO42-不能通過膜組件而進入濃縮液系統;貧硝鹽水經過一效加熱器加熱后,再進入二效加熱器循環加熱,最后進入強制循環加熱器循環加熱,得到濃縮的貧硝鹽水。采鹽泵將濃縮的貧硝鹽水輸送至稠厚器,稠厚器溢流至母液罐,母液經母液泵回流至強制循環系統。當稠厚器攪拌器電流在9.6~12.0A時,啟動并確保離心機運行正常后,打開稠厚器底部閥門向離心機進液,進行固液分離,得到副產鹽和母液。蒸汽壓縮機對二次蒸汽做功后,二次蒸汽溫度升高,作為熱介質對一效加熱器、二效加熱器和強制循環加熱器加熱,二次蒸汽換熱后產生冷凝水。
3、現狀研究
如能采用離子膜電解法高效利用氯化法鈦白粉渣處理崗位的高鹽廢水及其副產鹽,不僅可以解決這些危險廢物的處理問題,而且可以為氯堿提供原料,繼而為氯化法鈦白粉生產提供氯和堿。離子膜電解法是利用有特殊選擇透過性的陽離子交換膜,只允許陽離子(氫離子、鈉離子)通過而阻止陰離子(氯離子、氫氧根)和氣體(氫氣、氯氣)通過,它既能防止陰極的產物H2和陽極的產物CI2相混合可能產生爆炸,同時還能避免CI2和陰極產物NaOH發生副反應而影響燒堿的品質。在氯堿生產過程中,無論采用海鹽、湖鹽、巖鹽、井鹽、礦鹽、鹵水還是精制鹽、副產鹽中的哪一種原料,都或多或少含有鈣、鎂、硫酸根等無機雜質,以及細菌、藻類殘體、腐殖酸等天然有機物和機械雜質。這些雜質在化鹽時會被帶入鹽水系統中,如不去除將會造成離子膜的損傷,使其效率下降,影響電解槽的正常生產,并使離子膜的壽命大幅度縮短,嚴重時會造成停車。在這些鹽水雜質中,對燒堿裝置安全生產有影響的是NH4+對電解槽的電流效率有影響的是Ca2+、Sr2+、Ba2+、Al3+、Hg2+、I-,SO42-、SiO2;會導致電壓升高的是Mg2+、Ni2+、Fe2+、Al3+、SiO2。然而,Ca2+、Mg2+是鹽水中較為常見的雜質離子,極少量的Ca2+、Mg2+就會使離子膜產生很大的影響,通常在離子膜的表面或內部沉淀,覆蓋離子和水的通道,降低離子膜對離子的選擇性,導致陰極中OH向陽極滲透,同時Na+也因通道堵塞而降低滲透量,使電解槽的性能持續劣化,槽電壓上升,電流效率下降。SiO2在堿性條件下以離子狀態溶于鹽水中,過濾器和樹脂塔不能除去,而在酸性鹽酸中形成非離子型的硅酸,生成水和程度不同的二氧化硅膠體顆粒,受Na+運動的影響進入膜中,膜內pH值由陽極側到陰極側逐漸升高,硅酸在膜中向陰極側運動時,便逐漸離解成硅酸根,至膜內的SiO2與擴散出去的硅酸根平衡為止。如果同時存在Ca2+、Sr2+、Mg2+等在膜中沉淀,可以說硅酸根對鈣、鎂、鍶等離子更為敏感,通常要求鹽水中SiO2小于10mg/L,此時槽電壓不會升高,如果SiO2含量超標,硅酸根會和鋁、鈣、鎂、鍶等雜質離子形成絡合物沉淀使槽電壓升高。Al3+以鋁酸根的形式與硅酸根和氫氧化鈉在熱溶液中共存,通過滲透,形成大結晶物硅鋁酸鈉,沉積在膜的陰極側表面,使電流效率下降,加速陽極涂層的耗蝕與損壞。SO42-是鹽水中的主要陰離子之一,當硫酸根含量高時,增加電解過程中的副反應;硫酸根在陽極放電還會產生氧氣,造成氯中氧的含量升高,降低電流效率,也促使OH在陰極放電產生新生態的氧,影響氫氣的純度。雖然各氯堿企業使用原鹽的質量不同以致其中雜質含量各有區別,但離子膜法電解系統對鹽水的要求基本一致。因此,鹽水必須進行精制操作除去鹽水中的大量雜質,以滿足離子膜電解槽運行的要求。
4、鹽水深度精制工藝
氯堿工業的主體是電解鹽水,最先進的是離子膜電解鹽水生產氯堿工藝,為保證電解槽高效穩定運行,氯堿企業將淡鹽水、堿性冷凝水、樹脂塔再生廢水、含氫廢水、工業水、濾后液等各路水回收到配水桶后,采用逆流接觸化鹽,獲得飽和的粗鹽水,依次經過2#折流槽、前反應池、氣水混合器、加壓溶氣罐、文丘里混合器、預處理器、后反應槽、進液高位槽、HVM膜過濾器、3#折流槽、過濾鹽水貯槽、螯合樹脂塔等,達標后即可向電解工序輸送合格的飽和精鹽水。鹽水深度精制工藝流程圖見圖2。

在55~65℃條件下,采用逆流接觸化鹽,飽和的粗鹽水由化鹽池出口溢流流出,經2#折流槽時加入NaOH,調節pH值為10~12,并保持粗鹽水中NaOH含量為0.1~0.6g/L,在前反應池中去除大量的鎂、鐵、鈣等離子。在加壓溶氣罐中,將空氣溶解在粗鹽水中,通過文丘里混合器與加入的絮凝劑FeCl、混合,進入預處理器后突然減壓,使溶解在鹽水中的空氣形成微小的氣泡釋出并吸附在懸浮物的表面,使懸浮物形成浮泥排出、少量的顆粒下沉排出。在反應槽中加入適量的碳酸鈉,去除粗鹽水中大量的鈣離子,后經過HVM膜過濾,再流至3#折流槽,加入亞硫酸鈉而保持ORP值穩定并控制游離氯為<5mg/L,送至過濾鹽水貯槽。當過濾鹽水貯槽液位達到60%時,加鹽酸調節pH為8~10,經螯合樹脂塔精制除雜,檢測達標后輸送至電解槽陽極室。由此可知,通常向粗鹽水中加入燒堿、純堿、三氯化鐵等精制劑,與可溶性雜質進行反應轉化為溶解度低的沉淀物,分別由預處理器、后反應槽、HVM膜過濾器排出,這些鹽泥經過板框壓濾機脫水、水洗、風干得到可運輸的干鹽泥。經物理和化學法使精鹽水中鈣鎂總和小于5mg/L,其他質量指標為:氯化鈉為300~315g/L、總銨不高于4mg/L、氯酸鹽(以NaCIO3計)不高于10g/L、懸浮物不高于10mg/L、硫酸根不高于7g/L;再經螯合樹脂吸附法使精鹽水中鈣鎂總和不大于20μg/L,其他質量指標為:氯化鈉為300~315g/L、鍶元素不高于100μg/L、鋇元素不高于100μg/L、硅元素不高于2.3mg/L、鋁元素不高于100μg/L、鐵元素不高于50μg/L、鎳元素不高于10μg/L,從而達到進入離子膜電解槽的要求。
5、鹽水深度精制優化方案
5.1 自產自銷優化工藝
EDTA滴定法分析檢測數據表明,現用原鹽Ca2+、Mg2+含量在0~0.13%、0~0.02%,氯化法鈦白粉產生的氯化鈣高鹽廢水Ca2+含量在3.60%以上,經除雜、脫硝、蒸發結晶后的副產鹽基本無鈣鎂離子。通過控制原鹽和副產鹽的上鹽比例,就能控制粗鹽水中的鈣,利用工業鹽“天然”鈣離子的靜電吸附、一羥基絡合物吸附和氫氧化物吸附助沉劑,在源頭就使大部分雜質離子有效聚沉,甚至通過在2#折流槽處新增加一個水箱,將高鹽氯化鈣廢水當作一種精制劑加入到水箱內,水箱上部增加溢流口,該精制劑通過溢流口流入到折流槽內,經2#折流槽進入到前反應池,在前反應池通過攪拌器攪拌均勻后經加壓泵送入到預處理器除去鎂離子后進入后反應槽內,在后反應槽添加碳酸鈉除去多余的鈣離子。僅在化鹽工序中加入了特定的精制劑,從源頭上控制鹽水中的金屬離子含量,再根據先除鎂后除鈣的工藝特點一并去除鹽水中本身含有的鈣離子以及精制劑引入的鈣離子,以進入電解槽的精鹽水中金屬雜質離子的含量為評價指標,采用ICP-OES標準加入法分析該鹽水中鈣、鎂等雜質的變化趨勢,連續觀察1個月。優選出上鹽比例,精制劑的投料量、投料溫度、添加速度等,最終達到節省成本、循環經濟和清潔生產的目的,見圖3。

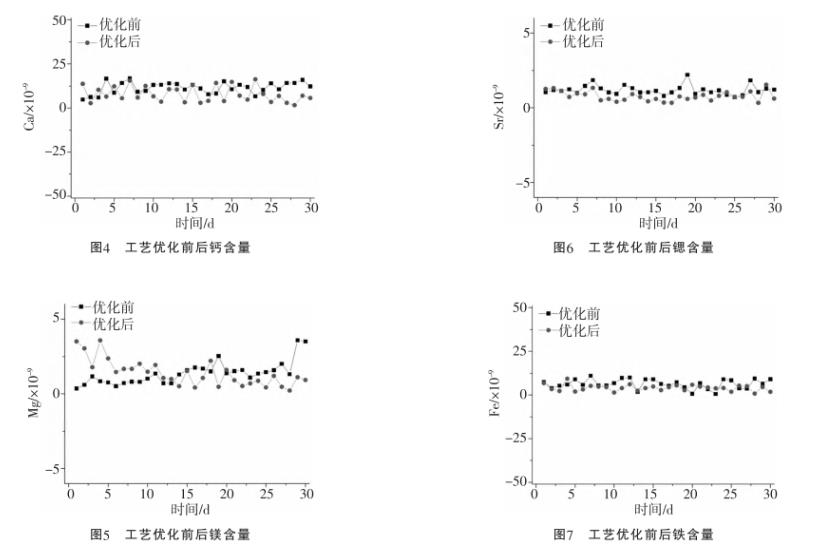
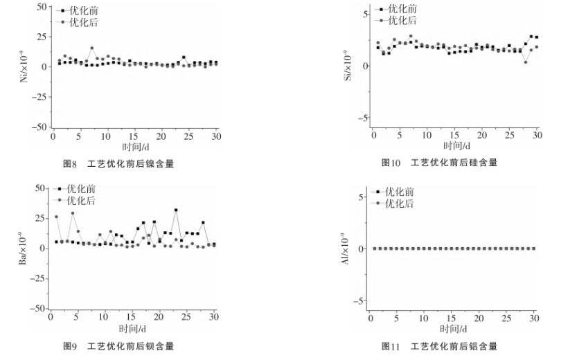
5.2 優化工藝運行效果
工藝優化前后30天精鹽水中鈣、鎂、鍶、鐵、鎳、鋇、硅、鋁含量變化趨勢分別見圖4-圖11,其降低效果為鍶、鐵最佳;鈣、鋇次之;鎂、鎳、硅、鋁僅限或多或少,效果不很明顯,需要加強鹽水深度精制工藝的探索。工藝優化后,鍶、鐵、鈣、鋇之所以在一定程度上得到凈化,是因為在堿性條件下,部分金屬離子會在溶液中發生水解,以六水絡合物、一羥基物或氯化物等形式存在,通過靜電吸附、一羥基絡合物吸附和氫氧化物吸附使得其他金屬雜質離子一起聚集、顆粒長大、聚沉,從而提高金屬雜質沉降率。以鈣離子為例,這些吸附效應的主要機理可解釋為鈣離子和水分子生成的六水絡合物會在顆粒表面吸附或與氣泡吸附,破壞雙電層,使顆粒表面和氣泡表面疏水性提高,從而改善凝聚效果。但是,當鈣離子濃度較高時,與水生成的親水性物質一羥基鈣或氯化鈣在顆粒表面上小部分吸附或沉淀,由于靜電吸引以致凝聚效果變好。比如在堿性條件下鈣離子水解生成Ca(OH)+,該帶正電粒子易吸附在帶負電荷的硅酸根表面上,在“靜電橋”效應的作用下使得雜質硅聚集、顆粒長大、聚沉。


工藝優化前30天平均電流密度5.50kA/m2,電解槽平均電壓445.36V,平均直流電單耗2085.88kW·h/t,燒堿產量為14285.05t;工藝優化后30天平均電流密度5.50kA/m2,電解槽平均電壓442.28V,平均直流電單耗2073.71kW·h/t,燒堿產量為14403.63t,即一個月降低了直流電耗2401.28kW·h,增加了118.58t燒堿產量以及105.24t液氯產量。不考慮副產鹽代替300~500元/t原鹽所節約的成本,僅按0.77元/kW·h電費、3000元/t燒堿計算,工藝優化一個月已節支電費1848.99元、增加燒堿利潤355740元。
6、結語
氯化法鈦白粉工業化產生的氯化鈣高鹽廢水及其副產鹽氯化鈉可以作為氯堿原料,采用離子膜電解法高效利用、變廢為寶,為氯化法鈦白粉生產提供氯堿,達到節省成本、循環經濟和清潔生產的目的。(來源:河南佰利聯新材料有限公司,焦作煤業(集團)中馬村礦)



