三氯卡班(TCC)是一種光譜類抗菌劑,其已成為環境中檢出頻率較高的一類污染物。TCC在水中難降解,且其具有生態毒性,因此對生態環境構成潛在威脅。TCC具有中度疏水性和親脂特性,其在污水生物處理過程中會吸附在污泥等懸浮固體上進而影響污泥內微生物的活性行為及功能基因表達。TCC能抑制人類和動物的生長發育,Kajta等將神經元細胞暴露于TCC24h后,ESR1和GPER1的mRNA及蛋白質表達受到不同程度的抑制。近年來,關于TCC在污水處理中的影響行為及效應得到了廣泛關注。
污水處理廠是污水進入自然環境的最后一道屏障。Wang等報道了以長沙為代表的中國中部地區的5座污水處理廠內TCC濃度高達0.06~0.76mg/L。Wang等調查活性污泥法去除TCC時發現,TCC的去除主要依賴活性污泥的吸附行為,且TCC降低了活性污泥對營養鹽的去除效果。此外,經過活性污泥處理后,TCC的生態毒性降低,IC50降低至0.54mg/L,TCC還會影響活性污泥群落中硝化細菌和反硝化細菌的豐度。進一步研究發現,反硝化細菌主要通過非均相多層吸附去除TCC,且活性污泥內羥基、酰胺和多糖是吸附位點。在酶活性抑制方面,TCC能抑制生物脫氮(BNR)過程中氨單加氧酶(AMO)、硝酸還原酶(NAR)和亞硝酸鹽還原酶(NIR)的活性。N2O是活性污泥反硝化脫氮過程釋放的溫室氣體,而TCC的暴露對生物反硝化脫氮的影響行為及N2O釋放特征的研究仍較匱乏。因此,有必要考察TCC暴露對活性污泥反硝化脫氮及N2O釋放的影響,并闡釋其中的機制。
筆者考察了TCC對生物反硝化脫氮系統運行效能及N2O釋放特征的影響。首先,研究TCC濃度對反硝化系統運行效能及N2O釋放特征的影響;隨后,分析了TCC對反硝化脫氮系統中污泥特征的影響;最后,探討了TCC暴露對反硝化系統中微生物代謝活性的影響。旨在為反硝化脫氮系統處理含TCC廢水提供一定的數據支撐,并為溫室氣體的減排提供理論依據。
1、材料與方法
1.1 實驗材料
接種污泥來源于城鎮污水處理廠二沉池,該污水廠主要采用好氧/厭氧工藝處理城鎮低C/N污水。取回后的接種污泥采用2.0mm篩網過濾后備用。接種污泥的主要特征如下:pH為7.1,總懸浮固體(TSS)為4.2g/L,揮發性懸浮固體(VSS)為3.8g/L,胞外聚合物(EPS)為79.5mg/g。
實驗用水為不含TCC的人工合成污水,合成污水中碳源和氮源分別由丙酸鈉和氯化銨提供,且COD濃度為500mg/L、NH4+-N濃度為200mg/L。進水NO2--N和NO3--N濃度可以忽略。此外,向人工合成污水中添加2.0mL/L的微量元素儲備液,微量元素儲備液的主要構成如下:1.50g/L的FeCl3·6H2O、0.15g/L的CoCl2·6H2O、0.15g/L的H3BO3、0.12g/L的MnCl2·4H2O、0.12g/L的ZnSO4·7H2O、0.06g/L的Na2MoO4·2H2O、0.03g/L的KI和0.03g/L的CuSO4·5H2O。
TCC購買于上海某生物醫藥有限公司,購買后的TCC存貯于恒溫冰箱內,并將0.5g的TCC置于1.0L的純凈水中,配制成濃度為500mg/L的TCC母液。TCC的純度超過98%,相對密度為1.534,熔點為254~256℃。
1.2 實驗方法
實驗設置4組相同的序批式反應器(SBR),有效工作容積為5.0L,反應器底部設有機械攪拌裝置,工作時控制轉速為200~1500r/min。SBR側面設有進、排水口,直徑為2.0cm。每組反應器內引入2L接種污泥和3L合成污水。鑒于TCC在實際污水中的背景濃度和文獻推薦值,以及未來TCC生產與消耗量的不斷增加,TCC在水環境尤其是污水中的背景濃度將持續增加,因此實驗中選取的TCC濃度分別為1、5和10mg/L。其中一組反應器不注入TCC母液,將其作為對照組。SBR每日運行3個周期,每個周期的具體運行模式如下:快速進水2min、缺氧118min、好氧曝氣150min、沉淀出水30min和閑置180min。在好氧末期排泥64mL以保證污泥停留時間為18d。各組SBR在室溫為31~35℃的恒溫空調房內運行,每個周期的體積交換率為66%。
1.3 分析項目及方法
按標準方法測定COD、NH4+-N和TN濃度。采用N2O-NP®微傳感器測定N2O濃度,并根據上述方法計算N2O總排放量,進而計算N2O的釋放速率。采用ROS試劑盒檢測活性氧(ROS)和乳酸脫氫酶(LDH)釋放量。毛細吸水時間(CST)通過CST測定儀測定。污泥的TSS、VSS、SVI等指標參照文獻測定。EPS采用熱提取法檢測,具體流程如下:將50mL污泥樣品離心(550r/min)15min,然后將0.01mol/L的NaCl加入樣品中洗滌1~2次,去除上清液后,添加0.01mol/L的NaCl使污泥懸浮至50mL,蛋白質(PN)采用改良的勞利法測定,多糖(PS)采用苯酚硫酸法測定。
2、結果與討論
2.1 TCC對反應器性能的影響
圖1為TCC對BNR系統中COD和含氮物質去除效果的影響。可以看出,低濃度TCC(1mg/L)未對COD、NH4+-N和TN的去除效果產生顯著影響,穩定運行時期,對照組和1mg/LTCC組別中COD、NH4+-N和TN的去除率均維持在86.6%~89.9%、95.2%~96.8%和74.2%~76.8%。當TCC濃度達到5mg/L以上時,COD和TN去除率明顯下降。而當TCC濃度達到10mg/L時,對NH4+-N的去除效果才受到抑制。當TCC濃度為10mg/L時,對COD、NH4+-N和TN的去除率分別降至80.6%~82.3%、90.8%~92.5%和64.4%~65.2%。上述結果表明,TCC對污染物和營養鹽的去除與其劑量相關,高濃度TCC抑制了反硝化系統對COD、NH4+-N和TN的去除。在污染物去除方面,TCC抑制活性污泥去除污染物的機制包括直接抑制微生物活性、影響微生物群落結構以及通過耦合反應降低污泥中TCC的富集等。

在生物脫氮方面,Zhang等證實TCC會對脫氮微生物產生負面影響,當TCC濃度達到25μg/L時會阻礙反硝化作用,并且在濃度達到50μg/L時可完全抑制該過程。本實驗中,當TCC濃度達到1mg/L時仍未對生物脫氮產生抑制作用的原因在于選用的接種污泥富含混合菌,而Zhang等所采用的為純菌ParacoccusdenitrificansPD1222。因此,在傳統反硝化活性污泥中,接種物為混合菌群時,低于1mg/L的TCC未能影響COD和生物脫氮過程,而當超過5mg/L時則降低了COD和生物脫氮效率。
2.2 TCC對N2O釋放特征的影響
在生物反硝化過程中也會產生N2O,其是一種比CO2具有更強溫室效應的氣體。N2O的排放不僅對氣候變化有顯著影響,還參與臭氧層的破壞,會對環境和人類健康構成威脅。圖2為TCC對反硝化脫氮過程中N2O釋放速率的影響。可以看出,TCC提高了N2O的釋放速率。當TCC濃度達到5mg/L以上時,N2O釋放速率顯著提高,尤其是10mg/L的TCC組別,其N2O釋放速率提高至8.9~10.2μg/min,顯著高于對照組在穩定時期的6.1~6.8μg/min。TCC可能抑制反硝化過程中的關鍵酶,如亞硝酸鹽還原酶(NIR)和一氧化氮還原酶(NOR),導致N2O不能被有效還原為氮氣,從而增加N2O的釋放。此外,還發現TCC的存在可能會改變反硝化系統中微生物的群落結構,選擇性地促進或抑制某些微生物的生長,進而影響N2O的產生和釋放。

2.3 TCC對反硝化污泥特征的影響
TCC對反硝化污泥濃度及有機質占比的影響如圖3所示。可以看出,低濃度TCC未對反硝化污泥濃度及有機質占比產生顯著影響。穩定時期,對照組和低濃度TCC組別的TSS濃度和有機質占比分別為4.15~4.32g/L和75.4%~78.5%。當TCC濃度超過5mg/L時則降低了反硝化污泥濃度及有機質占比,且存在TCC濃度越高,污泥濃度和有機質占比下降越顯著的特點。當TCC濃度為10mg/L時,穩定時期TSS濃度下降至3.59~3.64g/L,有機質占比下降至65.4%~67.6%。Wang等發現,高濃度TCC會降低活性污泥濃度,這與本實驗結果一致。TCC具有抗菌特性,可能會直接抑制活性污泥中微生物的生長和代謝活動,導致微生物濃度下降。TCC可能會干擾微生物的代謝途徑,特別是與能量產生和物質代謝相關的途徑,導致微生物生長受阻,進而影響污泥濃度。

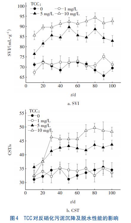
圖4為TCC對反硝化污泥沉降及脫水性能的影響。可知,低濃度TCC未對污泥沉降和脫水性能產生顯著影響。在穩定時期,對照組和低濃度TCC組別的SVI和CST分別為65.9~72.5mL/g和31.3~36.5s。TCC濃度達到5mg/L以上時可提高SVI并延長CST,降低污泥的沉降和脫水性能,尤其當TCC為10mg/L時,穩定時期SVI和CST分別為89.6~92.5mL/g和45.6~48.5s。TCC是一種廣譜抗菌劑,會抑制污泥中微生物的生長,這可能導致污泥中的微生物群落結構發生變化,影響其降解能力和穩定性。此外,高濃度TCC會影響污泥的黏性和流變特性,從而影響其沉降性能。高濃度TCC組別的污泥沉降性能下降,導致部分污泥在沉淀出水期未能完全沉降,進而隨排水流失,降低了污泥濃度,這與圖3中TSS的結果相一致。反硝化污泥的后續過程需要脫水外運,高濃度TCC的暴露延長了污泥CST,降低了污泥的脫水性能。TCC可能會改變污泥的結構和性質,導致污泥顆粒之間的聚集增多,從而增大了污泥的黏性和附著性,提高了污泥比阻和CST。高濃度TCC能促進細胞外電荷的增加,進而導致靜電斥力增強,污泥沉降性能下降。

EPS對污泥顆粒的黏附和膠結具有重要作用,可影響污泥的結構穩定性和沉降性。TCC會改變EPS的黏性和穩定性,從而影響污泥結構和沉降性。圖5為TCC對生物反硝化污泥中EPS含量及組分的影響。從圖5(a)可知,低劑量TCC組別的EPS含量與對照組相似,始終處于84.6~89.5mg/g之間,而高濃度TCC則提高了EPS含量,尤其當TCC為10mg/L時,EPS含量增至112.3~115.8mg/g,遠高于其他組別。當污泥系統受到外源性污染物(如重金屬、有毒化學物質、有機污染物等)的影響時,微生物會產生應激反應,增加EPS的分泌以形成保護層,減少污染物對細胞的直接傷害。此外,TCC可能會導致細胞膜損傷,微生物通過增加EPS的產生來修復受損的細胞膜,維持細胞結構的完整性。

EPS的主要組分為PN和PS,TCC同樣影響了PN和PS的含量。從圖5(b)、(c)可以看出,當TCC濃度為1mg/L時未對PN和PS含量產生顯著影響,但達到5mg/L以上時,TCC刺激了PN和PS分泌,且呈現出TCC暴露濃度越高PN和PS增加越顯著的趨勢。當TCC濃度達到10mg/L時,PN和PS含量分別提高至58.6~61.2mg/g和46.5~48.2mg/g。TCC影響了污泥中信號分子的產生和傳遞,這些信號分子可以調節微生物的代謝活動,包括EPS的合成與分泌。PN/PS值是EPS性能的關鍵參數,從圖5(d)可以看出,穩定時期對照組和低TCC組別的PN/PS值均在1.6以上,而當TCC濃度達到5mg/L以上時,PN/PS值顯著下降至1.2左右,且在穩定期內PN/PS值變化不明顯。TCC會影響微生物產生的信號分子,如酰基高絲氨酸內酯(AHLs),這些信號分子通過群體感應(QS)系統調節EPS的合成,進而影響PN和PS的分泌比例。
2.4 TCC對氧化應激及細胞膜破壞的影響
圖6為TCC對反硝化污泥ROS和LDH相對釋放量的影響。可以發現,TCC能引起ROS釋放量的增加,且相對釋放量與暴露時間相關。20d時,當TCC濃度為5和10mg/L時,ROS相對釋放量分別提高至105%和115%,LDH相對釋放量分別提高至116.5%和118.9%,說明高濃度TCC會導致細胞損傷和死亡。當暴露時間延長至80d時,高濃度TCC存在下ROS和LDH的相對釋放量進一步提高,如當TCC濃度為10mg/L時,ROS和LDH的相對釋放量分別提高至124%和126%。外源性污染物尤其是有毒性污染物能夠誘導污泥中的微生物產生ROS,如超氧陰離子、羥基自由基等,這些ROS在微生物的應激反應和細胞損傷過程中具有重要作用。LDH是一種存在于細胞內的酶,當細胞膜受損時,LDH可以從細胞內泄漏到外界環境,且細胞膜破損越嚴重,LDH釋放量越大。TCC在反硝化系統內暴露時間越長,對微生物細胞結構的破壞越嚴重,進而導致微生物反硝化代謝功能下降。

3、結論
①TCC對活性污泥反硝化脫氮性能具有劑量依賴性,當TCC濃度在1mg/L及以下時,TCC暴露對污水生物脫氮及有機質去除無顯著影響。當濃度達到5mg/L以上時可降低反硝化污泥對COD和TN的去除效果,而當濃度達到10mg/L時則明顯抑制對NH4+-N的去除效果。TCC濃度越高,對降碳脫氮效果的抑制越顯著。
②TCC能影響反硝化污泥特征,TCC達到5mg/L以上時會降低污泥濃度及有機質占比。TCC可降低污泥沉降及脫水性能,促進EPS的分泌,但會降低PN/PS值。
③TCC暴露刺激了反硝化系統內ROS和LDH的釋放,影響了微生物代謝活性,且其濃度越高,反硝化系統內ROS和LDH的釋放量越大。(來源:.黃河水利職業技術學院環境工程學院,開封市水環境污染監測工程技術研究中心,河南工程學院環境與生物工程學院)



