1 引言
沉積物是水體氮素的重要歸宿與來源,上覆水與孔隙水是沉積物-水界面中氮交換的主要媒介,無機氮是其重要的交換形態.可溶性氮素通過孔隙水向上覆水擴散遷移,使沉積物成為上覆水重要的氮素內源.影響沉積物-水界面氮交換過程的因素呈現多樣化,包括沉積物的理化特征、溶解氧、氧化還原電位、pH、溫度、水動力擾動等環境條件以及底棲生物擾動等生物因素.污補河流中污染物在分解轉化過程中大量耗氧,使沉積物溶氧量急劇變化,再加上閘壩林立,水流舒緩,河流復氧能力差,沉積物-水界面呈現厭氧狀態,對于氮素界面的交換過程及賦存形態有重要的影響.
在北方半干旱地區,以海河流域為代表,天然徑流少,污廢水成為主要補給水源,河流呈現非常規水源補給特點.與傳統意義上的河流相比,非常規水源補給河流隨污水的匯入消納了大量的污染物,產生了各類污染問題.滏陽河作為典型的非常規水源補給河流,承接著石家莊、邯鄲、邢臺、衡水、滄州等城市的工業及生活污廢水,平均污徑比由1980年的0.25上升到2007年的0.37.目前研究表明,滏陽河作為非常規水源補給河流存在嚴重的沉積物重金屬污染問題,但對存在的氮營養鹽污染及內源釋放問題關注較少.
滏陽河接納的石化、制藥等行業的污水及生活廢水中含有大量的氮營養鹽(Seved et al., 2010;Tang et al., 2011),排入河流增加了水體的氮負荷(王超等,2015a),低溶解氧進一步加劇了沉積物內源釋放風險(郭建寧等,2010).滏陽河水體總氮濃度超國家地表水V類標準,外源輸入是水體氮營養鹽增加的重要原因(趙鈺等,2014),但對沉積物這一重要的氮素內源未做進一步研究.本文針對滏陽河存在的氮素污染問題,采集不同河段的表層沉積物及柱狀沉積物,研究表層沉積物氮素空間分布特點及上覆水-孔隙水氮營養鹽垂直分布特征,并對沉積物-水界面無機氮擴散通量進行估算,對比滏陽河不同區段氮營養鹽內源釋放特征,為非常規水源補給河流富營養化防治提供理論支持.
2 材料與方法
2.1 研究區域概況
滏陽河發源于太行山南段東麓邯鄲市峰峰礦區,自東武仕水庫流經磁縣、邯鄲等縣市,于艾辛莊與滏陽新河匯合,流經衡水等地終至獻縣,與滹沱河匯合后稱子牙河.滏陽河流域屬北溫帶大陸性季風氣候,平均氣溫13.4 ℃;年均降雨量550 mm,集中于7至9月份,占年降雨量70%.滏陽河干流全長402 km,流經石家莊、邢臺、邯鄲、衡水等重要城市,是一條集防洪、灌溉、排澇、航運等功能于一體的骨干河道.沿途城市人口稠密,制藥、皮革等重污染產業廣泛分布,其生產生活污水均排入滏陽河內.以艾辛莊為界,上游主要接納邯鄲市區及沿途各縣污水,2007年共接納污水1.25億m3;下游承納衡水市區、冀州、武強、武邑等縣的生產生活廢水,2007年接納衡水市境內廢水量0.54億m3;此外,邢臺市和石家莊市污廢水順子牙河支流最終匯入滏陽河.
2.2 樣品采集與分析
2.2.1 表層沉積物采集
研究設置采樣點16個,于2014年6月采集表層沉積物及沉積柱.按照上游至下游進行樣點編號,其中滏陽河上游包括S1~S9,下游樣點為S10~S16.根據行政區段對采樣點進行劃分,可分為邯鄲段(S1~S8)、邢臺段(S9、S10)、衡水段(S11~S14)和滄州段(S15、S16).采樣區域及采樣點分布如圖 1所示.
圖 1

圖 1 滏陽河沉積物采樣點位置分布
利用自重力采樣器采集表層10 cm沉積物樣品,儲存于聚乙烯自封袋.沉積柱采集后靜置24 h,用虹吸管自上而下對上覆水按5 cm進行分層,保存于聚乙烯瓶;對柱狀樣自上而下分割,按1 cm分層,用0.45 μm微孔濾膜過濾得到孔隙水,保存于玻璃瓶.河流水樣溫度(T)、pH、溶解氧(DO)、氧化還原電位(ORP)利用水質分析儀現場測定.樣品低溫保存運輸.到達實驗室后,沉積物部分樣品冷凍干燥,研磨,過100目尼龍篩,密封避光儲存待分析;其余樣品于4 ℃密封避光保存.
2.2.2 樣品分析
參照《水和廢水監測分析方法》(國家環境保護總局,2002)測定上覆水中氨氮(NH3-N)、硝氮(NO3--N)和亞硝氮(NO2--N);孔隙水各無機氮(DIN)含量用全自動化學分析儀(AMS Smart Chem 2000)測定.沉積物樣品用2 mol·L-1的氯化鉀溶液振蕩提取1 h,0.45 μm濾膜過濾后測定提取液中氨氮(NH3-N)、硝氮(NO3--N)和亞硝氮(NO2--N)(鮑士旦等,2005).其中NH3-N采用靛酚藍比色法,NO3--N采用雙波長紫外分光光度法,NO2--N采用N-(1-萘基)-乙二胺光度法.采用元素分析儀測定沉積物總氮(TN)及碳氮比(C/N),沉積物中總有機氮(TON)為總氮與無機氮(氨氮、硝氮和亞硝氮之和)的差值.
2.3 孔隙水擴散通量模型
運用Fick第一擴散定律對沉積物-水界面間物質擴散通量進行估算.Fick第一定律適用于穩態擴散,即界面物質的交換過程為平衡狀態,主要受濃度擴散控制(Paul et al., 2001,潘延安等,2014).擴散通量計算公式如下:

式中,D0為理想溶液的擴散系數,溫度25 ℃時,NH3-N、NO3--N和NO2--N的理想擴散系數(D0)分別為19.8×10-6、19.0×10-6、19.1×10-6cm2·s-1(吳文成等,2008).φ為沉積物孔隙度,其計算方法為:

式中,Ww為沉積物鮮重(g);Wd為沉積物干重(g);ρ為表層沉積物平均密度與水密度比值,滏陽河沉積物主要為粉砂組成,取2.5(汪淼等,2015).
采樣點分布圖用ArcGIS 10.0繪制;數據統計分析在SPSS 20.0上進行;數據制圖在Origin 9.0上完成.
3 結果與討論
3.1 表層沉積物氮素含量及空間分布
滏陽河各采樣點表層沉積物不同形態氮素的空間分布特征見圖 2.滏陽河沉積物整體總氮質量濃度在770~10590 mg·kg-1之間,平均值為2584 mg·kg-1,高于EPA制定的沉積物總氮污染重污染標準(2000 mg·kg-1)(US EPA,2002),表明滏陽河整體處于TN重度污染水平.其中流域支流匯入點(S10、S11)TN濃度高達10590、5210 mg·kg-1,遠超其他點位.其原因是上游支流接納的氮素隨水流匯集于河流交匯點并發生沉積,造成表層沉積物中TN濃度的升高.邯鄲段、邢臺段、衡水段和滄州段總氮濃度平均值分別為1756、5745、2664、2573 mg·kg-1,邢臺段達整條河段的TN濃度最高值.牛尾河、北澧河、洨河及汪洋溝等支流河水含有大量的總氮,匯入邢臺河段,使沉積物TN濃度增高.
圖 2

圖 2 滏陽河表層沉積物氮素空間分布特征
有機氮(TON)是滏陽河表層沉積物中氮素的主要存在形式,其占總氮比例達84.9%~99.3%.滏陽河表層沉積物中TON的空間分布趨勢與TN一致,均在邢臺段達到最高值,5056 mg·kg-1.河流中的有機氮占總氮含量達14%~90%(Seitzinger et al., 1997),主要來源于水生生態系統中生物的分泌及腐爛分解,以及外源水體攜帶的顆粒態氮和溶解性有機氮的輸入(Sujay et al., 2014).沉積物中C/N可以判定有機污染來源.Meyers等研究藻類的C/N一般在4~10 之間,而陸生植物的C/N一般大于20(Meyers,1994).滏陽河C/N平均值達18.24,說明滏陽河沉積物中TON更多來源于外源輸入,且總氮中TON比例在世界河流中處于較高水平.
表層沉積物NH3-N含量范圍為3.23~1135.00 mg·kg-1,占TN比例達0.23%~10.70%,分布趨勢與有機氮呈現一致性.氨化細菌在厭氧條件下使有機氮發生礦化產生NH3-N,而水體環境中NH3-N主要來源于有機氮的礦化及外源的輸入(趙海超等,2013).滏陽河水系低氧現象突出(王超等,2015b),且上覆水流速較低,氧交換能力較弱,導致沉積物溶氧含量低,有機氮礦化生成NH3-N,則沉積物中NH3-N含量分布與有機氮呈現一致性.與之前研究相比(趙鈺等,2014),滏陽河表層沉積物NO3--N含量明顯上升,由17.20 mg·kg-1升至125.00 mg·kg-1,占TN比例由0.004%升至0.044%;NH3-N含量明顯下降,由585.00 mg·kg-1降至164.00 mg·kg-1,占TN百分比由0.135%降至0.052%.NH3-N和NO3--N濃度的升降變化說明沉積物-水界面氧化還原環境發生改變,硝化細菌將NH3-N氧化為穩定的NO3--N.底泥氧化還原狀態的改變說明了氨氮污染嚴重的水體正在逐漸恢復自凈能力,水體環境有所改善.
3.2 沉積物-水界面氮分布特征
滏陽河各河段硝態氮濃度在上覆水到孔隙水的垂直剖面上呈現不同趨勢:邢臺、衡水和滄州段硝氮濃度隨深度而逐漸降低,尤其是在孔隙水中急劇減少.以衡水段為例,NO3--N濃度在上覆水中為2.84 mg·L-1,在孔隙水中降至0.57 mg·L-1,到深層濃度小于0.10 mg·L-1.硝氮隨深度變化呈遞減趨勢,可能與沉積物的氧化還原環境有關.溶解氧是沉積物硝化作用及反硝化作用的重要影響參數,邱昭政等研究發現好氧條件下平均氨氧化速率為14.2 mg·L-1·d-1,而厭氧條件僅有37.40%氨氮轉化,平均速率為5.7 mg·L-1·d-1(邱昭政等,2013).未加擾動的沉積物處于缺氧環境,呈現還原環境,致使硝化反應減弱,無法將氨氮轉化為NO3--N;同時有利于消耗NO3--N的反硝化作用進行(Korom et al., 1992),導致NO3--N迅速減少.邢臺、衡水和滄州段上覆水呈還原環境(表 1),水流平緩對沉積物擾動作用小,復氧能力較差,且有機物分解消耗溶解氧,沉積物還原性增強,影響硝化和反硝化作用的進行,從而影響沉積物中硝氮的分布.邯鄲段硝氮濃度在進入沉積物-水界面后逐漸升高,在界面下11cm處達到最大值6.72 mg·L-1.孔隙水平均硝態氮濃度達3.54 mg·L-1,為上覆水8倍之多.邯鄲段山區降水補給較多,地勢高差懸殊較大,界面水動力或底棲生物擾動導致沉積物溶解氧含量增大,沉積物-水界面處于氧化狀態,硝化作用增強,NH3-N被硝化細菌氧化,造成NO3--N濃度上升.
表 1 各采樣點表層沉積物及上覆水基本理化性質


邯鄲、邢臺段氨氮濃度在垂直剖面上呈增大趨勢,最高濃度分別達到17.70 mg·L-1和39.30 mg·L-1(圖 3).NH3-N的含量與沉積物理化性質、氧化還原環境、水動力條件及污染源等有關.一方面,隨深度的增加沉積物含氧量降低,還原環境有利于有機氮氨化作用進行,相應的消耗氨的硝化作用減弱,致使NH3-N在沉積物中發生累積,出現隨深度升高的情況(劉峰等,2011).另一方面,氨氮的離子態易被帶負電的沉積顆粒膠體吸附,導致在深層的累積.衡水段進入沉積物-水界面氨氮濃度先降低再逐步升高,在-7 cm處達到最低值28.80 mg·L-1.滄州段氨氮濃度在垂直方向上隨深度增加而降低,上覆水氨氮平均濃度為(27.3±1.80)mg·L-1,是孔隙水氨氮平均含量的2.7倍.衡水段與滄州段NH3-N垂直方向變化趨勢的改變可能是由于外源NH3-N的輸入.石家莊市作為子牙河水系中最大的氨氮排放區域,其工業氨氮排放量占水系工業源氨氮排放量的81.00%.石家莊市連同衡水、滄州段的污水一起注入滏陽河下游,使衡水、滄州段上覆水氨氮濃度達51.70、27.30 mg·L-1,遠高于邯鄲、邢臺河段.水體NH3-N濃度在2005年達到峰值,2009年下降后11年再次升高的變化趨勢與衡水段沉積物NH3-N變化趨勢一致(榮楠等,2015).支流外源高氨氮的攝入可能是上覆水氨氮濃度高于表層孔隙水,出現隨深度而降低的現象的原因.
圖 3

圖 3 滏陽河上覆水和孔隙水硝氮、氨氮垂直分布特征
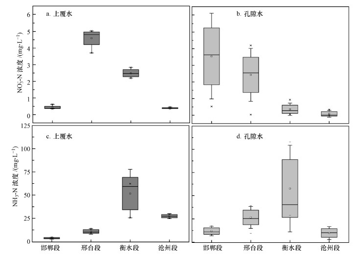
對滏陽河各河段樣點上覆水與孔隙水中NH3-N和NO3--N濃度進行統計分析(圖 4).上覆水與孔隙水中NO3--N變化趨勢在邯鄲段存在較大差異,上覆水NO3--N在邯鄲段達到低值,平均濃度達0.43 mg·L-1;而在孔隙水中則達整個河段最高值,達4.59 mg·L-1.其原因可能在于邯鄲段沉積物中較高溶解氧促使硝化作用進行,抑制了消耗NO3--N的反硝化作用,使沉積物孔隙水中容納更多的NO3--N.NH3-N濃度在上覆水與孔隙水中變化趨勢一致,在衡水段分別達到最高值,51.66和57.72 mg·L-1.支流外源氨氮的大量排放可能是造成衡水段高值的主要原因,限制污水排放將會有助于改善該段界面高氨氮的現狀.
圖 4

圖 4 滏陽河上覆水和孔隙水硝氮、氨氮濃度空間分布特征
3.3 沉積物-水界面無機氮擴散通量
自然水體沉積物-水界面水流速度較小,上覆水和孔隙水氮營養鹽濃度存在明顯的差異,濃度梯度引起由高濃度向低濃度擴散是營養鹽的主要遷移過程(吳文成等,2008).若不考慮生物擾動、風浪擾動、界面反應等物化因素,將沉積物-水界面物質擴散簡化為分子擴散(秦伯強等,2005),利用Fick第一擴散定律估算沉積物-水界面無機氮的擴散通量,結果見表 2.
表 2 滏陽河沉積物-水界面無機氮擴散通量


上覆水與孔隙水中營養鹽濃度存在差異,導致由高濃度向低濃度的擴散.邯鄲段與邢臺段沉積物-水界面NH3-N表現為由沉積物向上覆水擴散,擴散通量最大值分別達1093 μmol·m-2·d-1、1471 μmol·m-2·d-1.衡水段與滄州段部分點位NH3-N表現為上覆水向沉積物中擴散,擴散通量在-932~-456 μmol·m-2·d-1之間.不同河段NH3-N擴散通量存在差異,其原因可能是各段水源組成差異導致擴散通量的不同.邯鄲與邢臺段主要有上游山區降水及沿岸生活污水匯入,而衡水段則接納上游洨河和邵村排干排入的較高污染的生活廢水及皮革、制藥等工業廢水.石家莊作為子牙河水系中最大的氨氮排放區域,其排放的高氨氮廢水也匯入衡水和滄州段.另外一個原因是沿河污水排放總量梯度造成水體氨氮含量差異,致使擴散通量變化.由全國污染源普查統計數據分析,邯鄲段和邢臺段2007年接納污水2.45億m3,而衡水段接納包括石家莊在內的污水總量4.02億m3.滏陽河下游大量無數排放使上覆水體氨氮濃度高于沉積物及其孔隙水,則氨氮向下沉積,沉積物發揮“匯”的作用,從上覆水中吸附氨氮.
邯鄲段沉積物-水界面NO3--N整體上表現為由沉積物向上覆水擴散,擴散通量范圍為4.21~309.56 μmol·m-2·d-1.邢臺、衡水、滄州各段NO3--N表現為由上覆水向沉積物擴散,最小擴散通量低于-150 μmol·m-2·d-1.NO3--N在沉積物-水界面的擴散通量受沉積物結構、含氧量、有機質含量、生物擾動等因素影響(陳朱虹等,2014).受生物及水體擾動,邯鄲段表層沉積物處于氧化環境,硝化作用的進行產生大量的NO3--N,使沉積物孔隙水中濃度高于上覆水,表現為向上覆水體擴散的特征.而邢臺、衡水、滄州各段沉積物含氧量較低且有機物分解耗氧使沉積物處于低氧狀態,致使硝化反應抑制,反硝化作用消耗NO3--N,造成孔隙水NO3--N濃度低于上覆水,沉積物表現為NO3--N的匯.NO2--N作為硝化與反硝化作用的中間產物,含量低且不穩定存在,因此其擴散通量意義不明確(Hall et al., 1996).
滏陽河作為典型的非常規水源補給河流,以生活及工業污廢水等非常規水源補給為主,污徑比達0.37.與以自然降水為主要補給水源的河流相比,高氮廢水的輸入加大了沉積物氮素本底.以珠江為例,廣州段沉積物總氮含量達1130~2900 mg·kg-1,而滏陽河總氮濃度在770~10590 mg·kg-1之間,沉積物氮含量處于較高水平(吳文成等,2008).與珠江相比,滏陽河沉積物-水界面氨氮擴散通量達-932~1471 μmol·m-2·d-1,處于較高水平,并且下游因外源高污染污水的輸入,氨氮仍向沉積物進行擴散,即使控制外源排放,沉積物仍會有內源釋放風險,將會為后期河流治理與修復帶來困難,急需引起相關治理部門的重視.具體參見污水寶商城資料或http://www.xhxdt.com更多相關技術文檔。
5 結論
1)滏陽河沉積物總氮質量濃度平均值為2584 mg·kg-1,高于EPA制定的沉積物總氮污染重污染標準;其中有機態氮所占比例達84.9%~99.3%,為氮素的主要存在形式;NH3-N為無機氮的主要形態,濃度范圍為3.23~1135.00 mg·kg-1.
2)處于氧化環境的邯鄲段硝氮濃度在進入沉積物-水界面后逐漸升高,孔隙水平均硝態氮濃度達3.54 mg·L-1,為上覆水8倍之多,沉積物處于缺氧狀態的邢臺、衡水和滄州段硝氮濃度隨深度而逐漸降低,接近至0 mg·L-1.邯鄲、邢臺河段沉積物-水界面NH3-N濃度呈現增大趨勢,最高濃度分別為17.70 mg·L-1和39.3 mg·L-1;有支流高氨氮廢水攝入的衡水段進入沉積物-水界面氨氮濃度先降低再逐步升高;滄州段氨氮濃度在垂直方向上隨深度增加而降低,上覆水中NH3-N濃度為孔隙水中2.7倍.
3)滏陽河上游邯鄲段與邢臺段沉積物-水界面NH3-N表現為由沉積物向上覆水擴散,擴散通量最大值分別達1093 μmol·m-2·d-1、1471 μmol·m-2·d-1.有支流高氨氮廢水攝入的下游河段部分點位NH3-N表現為上覆水向沉積物中擴散,擴散通量在-932~-456 μmol·m-2·d-1之間.上游邯鄲段沉積物-水界面NO3--N整體上表現為由沉積物向上覆水擴散,擴散通量范圍為4.21~310 μmol·m-2·d-1.其他河段NO3--N表現為由上覆水向沉積物擴散.


