1 引言
城市污水處理廠每天產生大量的污泥,其中水分高(達80%以上)、體積龐大、容易腐化發臭而導致其難處理,并且工業污泥如印染污泥含有大量有機物及重金屬已經被廣東省列為嚴控廢物(HY13). 隨著市政污泥及工業污泥產量逐年遞增,歐盟很多國家嚴禁含有可生物降解有機物的污泥進行填埋,鼓勵對其進行焚燒處理. 焚燒法是一種具有減量化、無害化、資源化及回收能源等優點的污泥處置技術(Fan et al., 2014). 其處理方式主要包括生活垃圾或燃煤摻燒污泥發電、水泥回轉窯協同污泥焚燒用作水泥原料、污泥干化后單獨焚燒發電等. 充分利用已有的成熟技術及焚燒設備對污泥進行摻燒具有成本低的優點,而逐漸成為污泥焚燒處理的主要方式(Lin et al., 2015). 但污泥摻燒過程中由于不同類型污泥、生活垃圾、燃煤成分的復雜性、多變性,會導致酸性氣體、粉塵、有機污染物、重金屬等強毒性污染物的排放,從而影響到污泥摻燒方式、摻燒比例、焚燒爐型選擇及尾氣凈化設施設計等. 因此有必要針對不同來源污泥及其混合污泥的燃燒特性進行系統研究.
為了獲得不同來源污泥焚燒過程及其綜合燃燒特性,國內外很多學者采用熱重分析法對不同來源污泥、不同混合比及其與生物質或煤混合燃燒特性進行了研究. Font等(2001)分析比較了7種污泥的熱重曲線,指出具有不同理化性質的污泥其燃燒熱重曲線差異較大. 溫俊明等(2004)從污泥的TG-DTG曲線出發,得出了由3個獨立的、連續的平行反應組成的動力學模型. 劉亮等(2006)得出城市污泥與煤摻燒比為50%時,低溫段反應特性類似于污泥,在高溫段類似于煤. Xie和Ma(2013)將造紙污泥與秸稈混合燃燒發現它們之間存在顯著相互促燃作用. 冉景煜等(2008)和劉敬勇等(2009)發現堿土金屬含量和類別對污泥的燃燒性能影響顯著,并且堿土金屬對污泥燃燒有一定的催化作用. 曾佳俊等(2015)發現在污泥燃燒過程中加入FeCl3/CaO后可以提高污泥的燃燒性能. 萬嘉瑜等(2010)發現隨著O2濃度增大,污泥的綜合燃燒性能有提高的趨勢. 目前的污泥混燃研究主要集中于污泥與煤或者生物質混燃,而針對工業污泥如印染污泥與其他不同來源污泥的混燃特性研究報道不多.
在以往的研究中,污泥燃燒過程中常把污泥熱分解和燃燒直接假定為簡單反應,如一級反應,通過預先設定反應機理模型進行數值擬合,或者對高低溫分別進行擬合. 事實上,污泥的熱解、燃燒過程中,灰分、揮發分的成分都比較復雜. 揮發分的析出、氧氣的擴散、化學反應速率隨溫度的變化,其燃燒過程不斷從動力區向擴散區進行轉換,而且,氧氣向內部擴散與產物氣體向外擴散又相互阻礙,因此,簡單的假設往往掩蓋了反應過程復雜性和機理. 另外,我國各類污泥中有機質含量具有較大差異(馬學文等,2011),導致不同來源污泥燃燒性能差別較大. 其中印染污泥的產量大、難降解有機物多、危害嚴重,其最終處置已得到關注. Liang等(2013)采集了珠三角9個不同印染廠污泥,發現印染污泥中Cu/Zn超標嚴重;寧尋安等(2012)發現印染污泥摻燒木屑可以提高其混燃特性. 另外,印染污泥具有較高含量的有機質和堿土金屬,但其對改善印染污泥與其他污泥混合的燃燒特性影響尚不明確. 針對上述情況,本文利用熱重法對印染污泥、不同來源混合污泥,在不同摻燒比例、不同焚燒氣氛及不同升溫速率條件下進行了系統的熱重實驗研究,獲得不同條件下印染污泥混燃的著火、燃盡、綜合燃燒特性參數和混燃動力學參數,有助于進一步掌握印染污泥混燃過程,以期為污泥摻燒設備的優化設計、運行以及燃燒工況的組織提供指導.
2 材料與方法
2.1 實驗裝置和實驗條件
實驗采用德國耐弛公司綜合熱分析儀(STA409PC),可獲得試樣的熱重TG-DTG曲線,主要技術數據如下:熱天平精度1 μg;最大試樣量1000 mg;溫度范圍為室溫~1400 ℃;載氣流量為100 mL · min-1;樣品粒度小于200目,按要求混合均勻后取樣;升溫速率為10、20、30 ℃ · min-1;試樣質量10mg左右;實驗氛圍為空氣及富氧(CO2/O2混合)氣氛. 為了減小實驗誤差,從同批次樣品中抽取1個樣品進行3次重復實驗進行數據監控.
2.2 試樣
實驗中所用的污泥取自廣東不同來源4 類污泥,分別是印染污泥(YR)、造紙污泥(ZZ)和市政污水污泥(KFQ、LJ),煤粉為我國某典型動力煤樣. 污泥樣品提前在恒溫烘干箱內于105 ℃干燥24 h,經過研磨、篩分,粒徑小于200 目. 實驗所采用的污泥及煤的元素分析、工業分析見表 1.
表1 污泥的工業分析和元素分析

3 污泥燃燒特性分析與綜合評價
3.1 污泥燃燒特性分析
3.1.1 單一污泥燃燒TG-DTG曲線分析
圖 1為4種污泥在升溫速率為20 ℃ · min-1、燃燒氣氛為空氣條件下的TG-DTG曲線. 單一污泥燃燒過程可以劃分為4個階段(圖中虛線區分開):自由水和結合水的析出過程(約為室溫~125 ℃)、揮發分的析出和燃燒(125~650 ℃)、固定碳的燃燒(650~830 ℃)、殘留物的燃燒和分解(830~1000 ℃). 在揮發分的析出和燃燒階段,各污泥的失重率在41%~65%之間,固定碳的燃燒階段,YR、LJ、KFQ污泥失重較少,分別為2.31%,1.18%和1.05%,而ZZ污泥的達到了16.79%. 說明YR、KFQ、LJ污泥的燃燒過程主要受揮發分的析出和燃燒控制,而ZZ污泥的還包括高溫階段固定碳的燃燒. 可見,不同來源的單一污泥燃燒特征與污泥的理化性質有較大關聯(Font et al., 2001).

圖1 4種污泥的TG和DTG曲線
3.1.2 印染污泥與其他3種不同來源污泥混燃特性分析
印染(YR)污泥與造紙污泥(ZZ)、市政污泥(LJ、KFQ)的混燃曲線見圖 2. 印染污泥與其他3類污泥按照不同比例混合后,混合試樣的熱重曲線基本位于兩種單一污泥試樣之間,并且單一試樣熱重曲線的各燃燒峰在混合試樣的熱重曲線上有所體現,尤其在DTG曲線中可以明顯看出,并且呈現規律性變化,表明不同污泥混合基本保持各自的燃燒特性(顧利鋒等,2003). 從DTG曲線可以看出,印染污泥添加其他污泥后,混合試樣的揮發分析出峰普遍向下延伸,且在YR污泥中添加KFQ污泥混合燃燒時的揮發分析出峰同時向左偏移,說明其他污泥的加入有利于印染污泥的燃燒. 值得注意的是,YR污泥與ZZ污泥混合燃燒時在第2個揮發分失重峰值(400~550 ℃)比單一污泥更大,表明YR污泥與ZZ污泥之間產生了強烈的相互作用,這可能與兩類污泥本身礦質元素間的催化作用有關(殷立寶等,2014;劉敬勇等,2009).

圖2 YR與ZZ、KFQ、LJ混合前后污泥燃燒的TG和DTG曲線(a. YR與ZZ污泥混燃,b.YR與KFQ污泥混燃,c.YR與LJ污泥混燃)
3.1.3 YR污泥與煤混燃特性分析
圖 3為印染污泥YR與煤混燃TG-DTG曲線. YR污泥混煤燃燒和單一YR污泥燃燒的最大失重速率分別為0.949 mg · min-1、0.334 mg · min-1,但所對應Tmax分別為555.1 ℃和222.6 ℃,說明在印染污泥中加入煤可以提高燃燒強度,但會使燃燒向高溫區偏移. 在室溫~500 ℃時,煤、混合樣品、YR污泥的DTG曲線基本呈線性關系,表明前期YR污泥與煤相互作用較弱,這可能是由于YR污泥與煤的揮發分析出溫度區間不一致. 在后期YR污泥混煤燃燒的DTG曲線在YR污泥和煤的曲線之間,但并不呈線性變化,這主要是由于污泥與煤的物化性質不同.

圖3 YR污泥與煤混合前后污泥燃燒的TG和DTG曲線
3.1.4 富氧燃燒對YR污泥燃燒特性的影響
由于燃燒過程取決于反應溫度、揮發分的析出和氧氣的擴散速率,因此將YR污泥在不同氧氣氣氛下進行熱重研究(廖艷芬和馬曉茜,2009). 圖 4為空氣氣氛和O2/CO2氣氛燃燒條件下印染污泥YR的TG-DTG熱重曲線. 在300 ℃之前,不同氧氣濃度的TG曲線基本重合,表明氧氣濃度對YR污泥燃燒前的干燥和燃燒前期揮發分的析出影響較小. 當溫度超過300 ℃后,由于不同濃度氧氣的擴散速率不同,試樣在富氧燃燒時更劇烈,失重更迅速,表現為揮發分第一失重峰更陡,最大失重速率更大. 當燃燒處于固定碳的燃燒、殘留物的燃燒和分解階段時,富氧條件下的燃燒更劇烈,但由于固定碳含量較低(表 1),失重峰并不明顯.

圖4 YR污泥在空氣氣氛和富氧燃燒的TG和DTG曲線
3.1.5 升溫速率對于燃燒特性的影響
不同升溫速率(10、20、30 ℃ · min-1)條件下印染污泥YR的燃燒特性見圖 5. 不同升溫速率對污泥燃燒有明顯的影響,隨升溫速率的升高,DTG向高溫區移動,DTG曲線峰值增大,燃燒區間變寬,燃燒失重速率變大,燃燒更劇烈. 可見,升溫速率越高,反應進行得越快,有機物分解得越快. 但是污泥中有機質分解需要一定時間,當升溫速率增加時,影響到試樣之間和試樣內外層之間的傳熱溫差和溫度梯度,部分產物來不及揮發而產生滯后現象,致使曲線向高溫一側移動.

圖5 不同升溫速率下YR污泥燃燒的TG和DTG曲線
3.2 污泥燃燒性能綜合評價
3.2.1 著火特性分析
著火點是燃料著火性能的主要指標,著火點越低,表明燃料的著火性能越好. 本文采用TG-DTG方法(聶其紅等,2001)來確定著火點(著火點數據Ti如表 2所示). 由于污泥中的揮發分含量很高,而比較難燃盡的固定碳的比重相當小,因此污泥易著火燃燒,著火點相對較低. 本實驗所采用污泥的著火點在228~285 ℃之間. 就單一污泥而言,YR污泥的著火點最低,其次為LJ和KFQ,而ZZ污泥最高. ZZ污泥著火點最高說明著火點不僅取決于揮發分總的含量,還取決于污泥中揮發分的成分及其含量(李玉忠等,2014;Xie and Ma, 2013)而KFQ污泥的著火點較低且燃燒較完全,是由于KFQ污泥揮發分析出量多,且析出溫度較低(張全國和盧志廣,1991; 張全國等,1993). 而ZZ污泥的揮發分初析溫度和著火點較高,但燃燒劇烈,DTGmax達到0.69 mg · min-1,可能與其碳的存在形式有關.
表2 實驗污泥的燃盡指數


混合試樣中各組分含量相差不大時,混合試樣在一定比例下的著火點可能同時高于兩種組分的著火點(YR污泥混合LJ污泥),或同時低于兩種組分的著火點(YR污泥混合KFQ污泥),這可能是由于不同污泥混合后相互粘附于表面,改變了顆粒間的孔隙率,或污泥中過高的灰分與過多不可燃元素的增加阻礙了揮發分的析出(胡勤海等,2008). 如果各組分成分及含量相差較大,則混合試樣著火點明顯隨混合比例變化而偏向含量增多組分的著火點(YR污泥混合ZZ污泥). 這也說明,在混合污泥著火過程中,各單一污泥基本保持各自的著火特性. 另外,YR污泥在富氧燃燒條件下其著火點變低,表明富氧條件更利于YR燃燒.
3.2.2 燃盡指數
燃盡特性是表征可燃物燃燒性能的一個重要指標,用燃盡指數Cb(聶其紅等,2001)來描述工業污泥的燃盡特性,可定義如下:

式中,f1為TG曲線上著火點對應的試樣失重量與試樣中可燃質含量的比值;將試樣燃燒失重從開始到燃燒98%可燃質的時間定義為燃盡時間τ0,τ0時刻所對應的試樣失重量與試樣中可燃質含量的比值定義為總燃盡率f,則后期燃盡率f2=f-f1. 其中,f1反映了揮發分相對含量、污泥著火特性的影響,f1越大,污泥可燃性越佳;f2反映了污泥中碳的燃盡性能,與含碳量、碳的存在形態等特性有關,f2越大,污泥的燃盡性能越佳. 由表 2可以看出,LJ污泥的燃盡性能最佳,YR污泥的次之,而ZZ污泥燃盡性能最差,這可能與污泥中灰分、含碳量、揮發分等因素有關.YR污泥的燃盡性能在混合LJ、KFQ污泥后,除了YR50%+LJ50%和YR90%+KFQ10%外,普遍變差. 當ZZ污泥質量分數超過20%時,YR污泥燃盡性能都有所改善,并在ZZ污泥質量分數為40%改善最佳. YR污泥混煤燃燒時,燃盡特性得到極大改善,這是YR污泥高揮發分、高灰分和煤高固定碳含量、低灰分(表 1)特性結合的結果. 而煤單獨燃燒雖然劇烈,但是前期缺少易揮發分和著火點大,使得燃盡指數偏低. YR污泥在富氧燃燒條件下燃燒時,燃盡時間增加,導致燃盡指數減小,說明富氧燃燒不利于燃盡特性(胡海華等,2014). YR污泥在不同升溫速率(10、20、30 ℃ · min-1)下燃燒的燃盡時間和燃盡指數基本按照3 ∶ 2 ∶ 1和1 ∶ 2 ∶ 3的規律變化.
3.2.3 可燃性指數
為進一步評價污泥的燃燒穩定性情況,采用可燃性指數C(于陶然等,1989)來表征試樣的整體燃燒特性:

式中,Ti為著火點(K);(dw/dτ)max為最大燃燒速率;C越大表明試樣的燃燒著火穩定性能越好. 由表 2可以看出,4種污泥中KFQ污泥的可燃性最好,其次是ZZ污泥,而YR污泥的最差. 并且YR污泥與其他污泥混合后可燃性改善,改善程度隨單一污泥自身可燃性大小而改變(如YR污泥混合KFQ、ZZ污泥)或在一定比例下達到最佳(如YR污泥80%+LJ20%). 對比分析4種污泥的工業分析與可燃性指數C來看,可燃性指數C與污泥中的揮發分含量有正相關關系,表明可燃性指數所評估的燃燒特性主要受揮發分析出量影響. 在富氧燃燒條件下可燃性指數增加了33.72%,富氧使污泥可燃性能大大提高,燃燒反應能力增強(周家平等,2011). 隨著升溫速率的提高,其C單調增加.
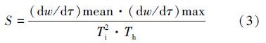
3.2.4 綜合燃燒特性指數
定義燃料燃燒特性指數的方法中燃盡指數源于評價煤燃燒特性(聶其紅等,2001),煤與污泥相比成分較簡單(例如DTG曲線只有1個峰),因此燃盡指數作為評價污泥燃燒特性的工具缺乏全面性. 可燃性指數形式上較簡單,僅考慮了試樣前期峰值時燃燒劇烈程度,忽略了后期燃燒劇烈的可能性(例如ZZ污泥800 ℃左右燃燒劇烈). 因此,為全面評價試樣的燃燒情況,采用綜合燃燒特性指數S(聶其紅等,2001)來表征試樣的整體燃燒特性:

式中,(dw/dτ)max為最大燃燒速率(mg · min-1);(dw/dτ)mean為平均燃燒速率(mg · min-1),其值越大,表明燃盡越快;Ti著火點(K)越小表明污泥中揮發分越易析出,Th燃盡溫度為試樣失重占總失重98%時對應的溫度(K). 綜合燃燒特性指數S全面反映了試樣的著火和燃盡性能,S(mg2 · K-3 · min-2)越大說明試樣的綜合燃燒性能越佳. 從表 3可以看出污泥中KFQ污泥的綜合燃燒特性指數S值最大,而YR污泥的最小,表明污泥的綜合燃燒特性指數主要受揮發分含量影響. 而煤由于其自身揮發分和易燃固定碳總含量高,即使著火點高,綜合燃燒特性指數S仍然比污泥的高. 在混合試樣中,YR污泥與KFQ污泥混合試樣的S隨著KFQ污泥含量的增加而增大,說明揮發分越高的試樣燃燒特性越好(寧尋安等,2011). 而YR污泥和LJ污泥以及YR污泥和ZZ污泥分別在LJ污泥含量20%和ZZ污泥含量40%時達到最佳,這一現象可能是YR污泥和3類污泥在混燃過程中存在交互作用,導致燃燒反應和燃燒特性的變化,因為混燃性能并不一定只是協同交互或如預期的簡單相加(Idris et al., 2010). 在氧體積分數增大的條件下,YR污泥的S指數有所提高,表明富氧燃燒可以有效地提高YR污泥的綜合燃燒特性. 對比表 2、表 3中的數據,表明富氧燃燒可以提高火焰溫度,降低燃燒著火點和燃盡溫度,從而提高燃燒效率(廖艷芬等,2013). 隨著升溫速率的升高,由于最大燃燒速率和平均燃燒速率基本按照倍數提高,YR污泥燃燒的S指數也相應增大.
表3 實驗污泥的綜合燃燒特征指數


利用統計分析軟件SPSS對這4個參數進行相關性分析,結果見表 4. 從表 4可以看出,C、S間有顯著相關性(p<0.05),因此,建議聯合采用C、S這2個參數評價污泥綜合燃燒性能,以便獲得污泥焚燒性能的準確信息.
表4 4個燃燒特性參數的相關性

4 污泥燃燒動力學模型
每個試樣的燃燒實驗可以認為是一系列揮發分釋放、燃燒的綜合行為,它們的活化能符合以下動力學方程(陳鏡泓和李傳儒,1985):
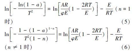
da/dτ=kf(a)=kAe-E/RT f(a)(4) 式中,a為熱解轉化率(%);E活化能(J · mol-1);A為頻率因子(min-1);R為氣體常數,8.314(J · mol-1 · K-1);T為反應溫度;f(a)為與燃燒機理相關的函數. 經過整理得到:

式中,φ為升溫速率(℃ · min-1),φ=dT/dt. 令c=ln[ARφE (1−2RTE )] ,對于本實驗中反應溫區及大部分E值而言,c的值近似看做常數,令b=-ER ,X=1T ,Y=ln[−ln(1−a)T 2 ] (n=1),Y=ln[−1−(1−a) 1−n T 2 (1−n) ] (n≠1). 則有,Y=c+bX. 以不同的反應級數n帶入試探求解,并進行線性擬合,數據的線性越好,則反應機理函數選擇的越適合,再從直線的斜率求得活化能E.
假設試樣由3部分物質(即揮發分1、揮發分2和固定碳)組成,從污泥及其混合物燃燒的宏觀動力學角度,把失重過程的3個階段與3個相互獨立的、連續的、平行反應相對應,各部分物質在升溫過程中單獨進行反應(溫俊明等,2004). 在實驗數據的處理過程中發現,無論是單步反應還是多步反應,在每步反應中,DTG峰值兩側的反應機理一般不同. 本研究中將試樣DTG曲線中燃燒速率較大的揮發分1、揮發分2及固定碳失重峰前后采用不同的燃燒機理模型來描述. 以YR污泥(升溫速率是20 ℃ · min-1)燃燒為例,分別在不同的反應機理下將峰前峰后的橫、縱坐標數據代入,并進行線性擬合(n分別取0.5、1、1.5、2),以可決系數R2為最大時來確定反應曲線方程和活化能E,其燃燒動力學方程圖解和動力學參數圖解見圖 6.

圖6 YR污泥第1揮發分析出峰前燃燒動力學方程參數圖解
動力學參數的求解結果見表 5. 通常線性相關系數絕對值大于0.8時,可認為2 個變量有很強的線性相關性(夏鳳毅2011),計算得到的各階段擬合方程的可決系數在0.9089~0.9998之間,說明最終確定的各個試樣的反應級數比較合理. 按照上述方法可得第一揮發分峰前取反應級數n=0.5、峰后n=2,所有單一試樣和混合試樣都可分別采用f(a)=(1-a)0.5和f(a)=(1-a)2描述各自階段的燃燒反應機理,而第二揮發分峰沒有顯著規律. 值得注意的是,YR污泥與LJ污泥,YR污泥與KFQ污泥,YR污泥與ZZ污泥混合燃燒后揮發分2峰前的反應級數n由各自的0.5和1.5或2轉變為1或1.5,表明可將混合試樣看成各組分的質量加權疊加模型進行燃燒特性分析.
表5 污泥燃燒時的動力學參數







在燃燒動力學參數中,活化能是一個非常重要的參數,它代表反應物的分子由初始穩定狀態變為活化分子所需要吸收的能量,活化能比著火點更能從本質上描述試樣的著火性能. 由表 5可知,試樣在燃燒峰前的活化能通常比燃燒峰后的活化能小,這是由于峰前通常是反應由難變易的過程,而峰后則是反應由易變難的過程. 同時低溫段的活化能也比高溫段的活化能小,這與污泥固定碳燃燒需要高溫是一致的(劉亮等,2006).
本文亦采用(Cumming,1984)提出的質量平均表觀活化能Em的概念和計算方法計算燃燒反應整體的表觀活化能,Em的定義如下:
式中,E1~En為各反應區段的表觀活化能; F1~Fn為各反應區段的燃燒質量損失份額. 除去初期在低溫段受熱失重的水分和著火前少量揮發分損失的質量,各試樣燃燒階段失去的質量總和占總失重的80%以上,可很好地模擬主要燃燒過程,各試樣質量平均表觀活化能Em值如表 5所示.
從表 5可以看出,隨著升溫速率的升高,YR污泥燃燒各階段活化能基本呈現下降趨勢. 同時,當升溫速率為30 ℃ · min-1時,Em達到最小,表明利于整個燃燒反應過程.
富氧燃燒條件下,使YR污泥第一和第二揮發分燃燒前期活化能增加,表明燃燒反應速率增大,同時TG曲線也越來越陡,DTG曲線的峰值也越來越大,燃燒反應越來越迅速(方立軍和于瀾,2014),同時從質量平均表觀活化能Em來看,提高氧體積分數會使質量平均表觀活化能有所降低,表明對改善YR污泥燃燒性能是有利的.
從YR污泥與其他污泥的單一燃燒和混合燃燒所得的活化能可以看出,YR污泥燃燒過程的質量平均表觀活化能Em最小. 對于混合試樣的燃燒來說,YR污泥與其他污泥混合燃燒后活化能均有所提高. 這主要是因為本文所求為質量平均表觀活化能,是整個燃燒反應過程中活化能的均值,相對于燃燒階段,著火階段時間太短,因此對活化能的影響非常小;而隨著燃燒特性指數更大的污泥混合比的增加,混合試樣的著火越來越迅速,著火開始后馬上進入迅速燃燒,并在短時間內放出大量的熱量,加速了溫度的上升,而活化能越大的反應對溫度越敏感,反應就越迅速. 由混合試樣的DTG曲線可以看出,隨著混合試樣比例的增加,DTG曲線越來越陡,說明其燃燒反應越來越迅速. 活化能增大說明混合試樣反應強度增強(劉國偉等,2011),這與YR污泥混合其他污泥后燃燒特性指數有所改善是一致的.具體參見污水寶商城資料或http://www.xhxdt.com更多相關技術文檔。
在YR污泥與煤混合燃燒的實驗中,由于煤比污泥的綜合燃燒特性指數大了近2個數量級,因此煤粉的加入,極大地促進印染污泥的燃燒. 同時,對比純煤和YR50%+煤50%的活化能數據,YR污泥的加入有利于大幅度減少煤燃燒時所需的活化能.
5 結論
1)不同來源單一污泥整個燃燒過程可以分為自由水和結合水析出、揮發分析出、固定碳燃燒、殘留物的燃燒和分解4個階段,其中揮發分的析出和燃燒階段制約著YR、KFQ及LJ污泥整個燃燒過程,而造紙ZZ污泥還包括固定碳的燃燒階段.
2)單一印染污泥的可燃性和綜合燃燒特性較其他污泥差,但與其他污泥混合后,其混合污泥的可燃性能和綜合燃燒特都有不同程度的提高;當向印染污泥中添加50%KFQ污泥時,混合污泥的綜合燃燒特性和可燃性改善最佳.
3)各單一試樣和混合試樣的燃盡指數相差較小,提高燃燒的升溫速率有助于污泥的燃盡指數.
4)印染污泥在富氧條件下失重過程主要受溫度影響,氧氣濃度的提高可從整體上降低污泥燃燒的活化能,從而提高了印染污泥的可燃性和綜合燃燒特性.
5)利用f(a)=(1-a)0.5和f(a)=(1-a)2可以分別描述單一污泥及混合污泥第一揮發分峰前及峰后燃燒反應機理.


