1 引言
隨著人口的增長和經濟的快速發展,水環境污染問題日益加劇,其中,重金屬污染問題尤為突出.重金屬作為一種持久性有毒污染物,可通過各種途徑進入水體,再經過復雜的物理、化學、生物和沉積過程沉降并逐漸富集.水體沉積物作為水環境中重金屬的主要蓄積庫,是流域環境污染評價和污染機制研究的重要對象,其污染狀況是全面衡量水環境質量狀況的重要因素(陳靜生等,1992;唐曉嬌等,2012).因此,對水體沉積物中重金屬污染風險進行科學評價,對于水體重金屬污染防治具有重要意義.目前,國內外關于河流沉積物中重金屬污染評價方法已有很多(霍文毅等,1997),主要有地累積指數法(Muller et al., 1969)、潛在生態危害指數法(Hakanson et al., 1980)、沉積物富集系數法(Huang et al., 2003)、回歸過量分析法(Hilton et al., 1985)和臉譜圖法(Chernoff et al., 1973)等.地累積指數法(Igeo,Index of Geoaccumulation)作為目前在重金屬風險評價領域應用最廣泛的方法,由德國科學家Muller提出,用于表征土壤或沉積物中重金屬富集程度,是反映重金屬污染程度的定量指標.但其在應用過程中,仍然存在一些不足:①評價區域內采樣點數目的有限性,沉積物中重金屬分布的不均勻性,使得環境系統是部分信息已知、部分未知的灰色系統;②測量及分析誤差等隨機事件的存在,使得評價對象具有一定的客觀隨機性;③環境系統自身的復雜性,受多種因素影響的污染狀態,以及各種因子間相互關系具有的非確定性、非線性及模糊性等特點,使得評價者對評價系統存在主觀認識上的不確定性;④由于地理空間的差異性及理論研究水平的制約,使得評價區域地球化學背景值具有不確定性,進而評價結果存在差異.因此,沉積物重金屬風險評價系統是一個隨機性、模糊性和灰性等多種不確定性共存或交叉存在的復雜系統.目前,國內外學者對于沉積物重金屬風險評價進行了大量研究(Muniz et al., 2004;林春野等,2007;羅燕等,2011),但大部分是針對確定性或系統中某一方面的不確定性進行研究,不能準確反映重金屬污染的真實情況.
河流環境系統中的各種污染物分布一般呈高斯分布或近似高斯分布,但當資料信息不足或數據精確性不高時,不能準確地反映評價區域真實的污染水平及其分布特征,難以用隨機模型進行模擬分析(李如忠等,2007a).三角模糊數(Triangular Fuzzy Numbers,TFN)可以近似描述正態分布(陳光怡等,2009),能夠用于處理和表達模糊信息,對于數據資料較少或精確度不高的情況,具有很好的適用性.其已被廣泛應用于河流水環境容量估計(李如忠等,2007b)、沉積物重金屬污染生態風險評價(周曉蔚等,2008)等領域.但由于現有三角模糊技術的乘法、除法和函數運算等尚不夠嚴謹,實現過程比較復雜(張應華等,2007),計算過程耗費時間較長,而且地累積指數評價模型中含有乘除運算,若以三角模糊數進行評價,計算結果可能會有較大誤差.蒙特卡羅方法是一種隨機模擬方法(Stochastic Simulation Method,SS),能夠基于對參數已知分布情況的模擬,運用概率統計方法表征參數的不確定性(張建龍等,2010),能夠很好地處理隨機性等不確定性問題.因此,用蒙特卡羅方法模擬三角模糊數,把三角模糊數及其函數之間的運算轉化為普通實數間的運算,建立隨機模擬與三角模糊數耦合模型(SS-TFN),可以準確反映評價對象的分布特征,并且可以定量得到其分布的可能值區間及其相應概率水平,能夠用于處理評價系統的多種不確定信息,簡化計算過程.對于數據資料較少或精確度不高,含有多種不確定信息的系統,具有很好的適用性.因此,本文嘗試將SS-TFN模型引入到河流沉積物重金屬風險評價研究中,對沉積物中重金屬污染狀況進行模擬,并與地累積指數評價模型相耦合,建立重金屬風險評價隨機模擬與三角模糊數耦合模型,得出地累積指數的可能值區間及其相應概率,然后判別出各重金屬處于各污染等級的概率水平,最后進行加權確定綜合污染等級,以期更加準確地評價研究區域的重金屬污染風險.
2 基于SS-TFN的沉積物重金屬污染風險評價模型
2.1 沉積物地累積指數評價模型
德國科學家Muller于1969年利用重金屬總濃度與背景值關系,提出了地累積指數法,其計算公式為:
式中,Cn為元素n在沉積物中的含量(mg · kg-1),Bn為元素n的地球化學背景值(mg · kg-1),k為修正造巖運動引起的背景值波動而設定的系數,一般取為1.5.依據地累積指數數值Igeo,把沉積物中重金屬污染程度劃分為7個等級,如表 1所示.
表 1 地累積指數與重金屬污染程度分級
2.2 SS-TFN模型 2.2.1 三角模糊數的定義
設實數a、b、c(a≤b≤c)分別為某一模糊變量的最小可能值、最可能值和最大可能值,則3個一組數(a,b,c)構成三角模糊數
,令
=(a,b,c),相應的隸屬函數定義為(Ronald et al., 1997):

其函數分布見圖 1. 根據數理統計學原理(李如忠,2007b),常態分布或近似常態分布的數列,約有95%以上的數據落入平均值±2倍標準差之間.因此,三角模糊數中a、b、c的確定,通過結合數理統計方法(Muddassir et al., 2006)和數值上下限分析原理得到,將數據的最小值和均值減去2倍標準差之間的較大值確定為a值,最可能值b取數據的平均值,c為數據最大值和均值加上2倍標準差比較后的較小值.

圖 1 三角模糊數分布圖
2.2.2 三角模糊數的隨機模擬
根據式(2)及圖 1可知,用隸屬函數除以曲線與x軸圍成的面積0.5(c-a),即可得到
的可能性概率密度函數(金菊良等,2008):

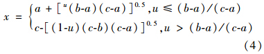
將式(3)轉換為概率分布函數,再用逆變換法(王文勝等,2007),得到可能值x的隨機模擬公式:

式中,u為區間[0,1]上的均勻分布隨機數.
可能值x的隨機模擬過程,先通過計算機程序產生區間[0,1]上的一系列均勻分布隨機數u1,u2,…,um,然后帶入式(4)中,即可得到變量x的隨機模擬系列x1,x2,…,xm.因此,可以把三角模糊數及其函數之間的運算轉化為普通實數間的運算,進而可以由模擬結果得到各可能值區間及其相應分布概率.其中,m為隨機模擬的試驗次數.
2.2.3 SS-TFN模型的概率分析
設A、B為經SS-TFN模型得到的隨機模擬數,則可由模擬結果得出A-B≥r的概率水平.其中,A表示模型的某一隨機模擬數,B為某一評價標準的分級閾值,r是按照實際問題要求確定的某個已知實數,通常取r=0.
2.3 基于SS-TFN模型的地累積指數評價模型
由于各種重金屬濃度及地球化學背景值的選擇存在的不確定性,將其分別表示為三角模糊數式中,m為隨機模擬的試驗次數.
2.4 基于SS-TFN模型的沉積物重金屬地累積指數的綜合污染等級識別
為了更加系統直觀地表征各重金屬的污染水平,根據地累積指數與各污染等級的對應關系,由SS-TFN模型的隨機模擬結果,分別對于各重金屬隸屬于各污染等級的概率水平進行分析.假設在SS-TFN模型的概率分析中,A表示經SS-TFN模型隨機模擬得出的地累積指數,B為地累積指數各級分級閾值,分別為0、1、2、3、4和5.則待評重金屬對于各污染等級的概率水平P可表示為:

由式(6)~(12)得到重金屬對各污染等級的概率水平后,根據地累積指數污染等級劃分,得出待評重金屬的綜合污染值,具體見式(13).
式中,I表示待評重金屬的地累積指數綜合污染值,P(l)為重金屬地累積指數對各污染等級的概率水平,V(l)為各污染等級的評價分值.
采用專家咨詢法,確定重金屬各污染等級與各等級評價分值之間的關系,具體如表 2所示.地累積指數綜合污染值與其所確定的綜合污染等級如表 3所示(祝慧娜.2009).通過表 2、表 3及式(13),最終得出各重金屬的綜合污染等級.
表 2 重金屬各污染等級與評價分值
表 3 綜合污染值及其對應的綜合污染等級
3 實例研究(Case study) 3.1 研究區域概況
湘江是長江7大支流之一,也是湖南省最大的河流,發源于廣西臨川縣海洋山龍門界,由南至北流經廣西興安、全州、常寧、衡陽、株洲和長沙等地(劉春早等,2012).湘江長沙段全長約75 km,是重要的生活飲用水源、工業用水源,具有航運、灌溉、排污等功能(羅輯,2009),在長沙市的經濟發展中具有重要的作用.湖南是重要的有色金屬之鄉,長沙作為湖南省省會,人口眾多,工農業密集,又地處湘江下游,長期的有色金屬開采與冶煉產生的廢水、廢渣,導致湘江流域長沙段土壤和水體環境中重金屬污染現象嚴重.
3.2 采樣點的布設及樣品分析測定
將本研究建立的模型應用于湘江流域長沙段沉積物重金屬污染風險評價中,根據湘江長沙段流域特征和污染源空間分布特征,選取喬口、溈水河口、香爐洲、三汊磯、撈刀河口、瀏陽河河口、坪塘鎮、暮云西河口等8個斷面,其區位分布見圖 2.

圖 2 研究區域及采樣點位置
在上述采樣點,采用DDC-2型箱式采泥器進行沉積物采樣,取0~5 cm的沉積物作為樣品,每個采樣點設5個平行樣,并放入可密封的潔凈PVC袋中冷藏保存備測.采集的沉積物樣品在冷凍干燥機中烘干至恒重,經翻動、壓碎、研磨并過100目尼龍篩,除雜后,再過200目尼龍篩,并編號待測.利用電子天平準確稱取0.1000 g經預處理的樣品于聚四氟乙烯密閉容樣罐中,加HNO3和HClO4進行消解并制成樣品溶液,利用電感耦合等離子質譜儀(ICP-MS)進行Cr、Zn、Pb、Cd和As 5種元素總量分析(樣品預處理、分析方法詳見DZ/T0223—2001電感耦合等離子質譜分析方法通則).另利用電子天平準確稱取0.3000 g經預處理的樣品,通過混合酸體系消解后,加入氯化錫溶液,采用冷原子熒光法對沉積物中Hg元素總量進行測定.考慮到采樣樣品測定的準確度和精度,分別對樣品進行了重復分析和標準分析(重復率為10%),重復樣品分析誤差<5%時,認為分析結果可靠,最終每個采樣點的沉積物重金屬元素含量取該采樣點的統計均值,結果見表 4.
表 4 湘江沉積物中重金屬含量分析結果
3.3 模型參數的SS-TFN化處理
3.3.1 模型參數的三角模糊數化處理
據2.2.1節的數據處理方法,以及表 4中湘江各監測斷面沉積物中重金屬含量分析結果,進行三角模糊化處理,以三角模糊數表 5 湘江沉積物重金屬含量及背景值三角模糊數化處理結果
3.3.2 模型參數三角模糊數化后的隨機模擬
將表 5中經三角模糊數處理后的重金屬監測數據和地球化學背景值,根據2.2.2節的處理方法,利用Crystal Ball模擬軟件進行隨機模擬.根據式(5),可得到地累積指數的隨機模擬序列{Ij j=1,2,…,m },m為隨機模擬的試驗次數.分別進行10000、20000、30000、40000、50000次隨機模擬,如重金屬Pb的模擬結果如表 6所示.
表 6 重金屬Pb的地累積指數模擬結果
由表 6可知,當模擬次數達到40000次時,模擬結果已經收斂,因此,本研究的試驗次數m取40000次,對各重金屬的污染程度分別進行隨機模擬.以各污染等級閾值(0、1、2、3、4、5)為劃分界限,通過概率水平分析式(6)~(12),得到沉積物中各重金屬隸屬于各污染等級的地累積指數的可能值區間及其相應概率,具體見表 7、表 8.
表 7 沉積物中各重金屬的地累積指數可能值區間及其相應的概率水平
表 8 各重金屬隸屬于各污染等級的概率水平
結合表 1和表 7可知,湘江長沙段沉積物中待評重金屬的地累積指數的可能值區間介于多個污染級別之間,表明重金屬污染級別的確定確實存在較大的不確定性.從表 7中各可能值區間可以看出,評價區域沉積物中Cd的地累積指數部分可能值很高,污染程度高于其他各重金屬,并且有很大的可能性處于嚴重污染級別.Zn和Hg的最大污染程度也很高,略低于Cd,并有從重度污染惡化到嚴重污染水平的趨勢,其他重金屬的污染程度則較低.對于重金屬Zn和Hg的污染可能存在的惡化趨勢,有關部門應及時采取預防治理措施,提高產業技術與清潔生產水平,防止水質惡化.
從表 8中各種重金屬污染等級的跨度及其相應概率水平可以看出,評價區域重金屬As的污染程度最低,而且隸屬于清潔水平級別的概率為1,說明As的空間分布很均勻.其他重金屬則跨越了2~4個污染等級,說明其空間分布很不均勻,污染程度存在較大的不確定性,而且重金屬Pb、Cr、As的污染程度明顯低于Cd、Zn和Hg,其中,Cd屬于嚴重污染級別的概率水平為0.807,說明Cd是湘江長沙段沉積物重金屬污染的主要環境污染因子.決策者可以根據每種重金屬污染程度的不同,將相應種類作為重點監控治理對象,有針對性地解決湘江的重金屬污染問題.
根據表 2、表 3和表 8及式(13),可以得到評價區域各重金屬的綜合污染等級,并與確定性統計平均地累積指數分級結果相比較(表 9).前者為基于SS-TFN模型的分級結果,后者為確定性方法的分級結果.
表 9 沉積物中各重金屬綜合污染等級分級
從表 9可以看出,湘江長沙段沉積物中Cd的綜合污染程度最高,達到6級,屬于嚴重污染等級,Zn和Hg的污染程度稍低,屬于重度污染水平,Cr和As的綜合污染等級則較低,表明其對湘江長沙段的污染程度較小.這些結論與近年來關于湘江長沙段沉積物重金屬污染的相關研究結果相一致(陳麗莎等,2011;張祥等,2012).造成某些重金屬污染嚴重的原因可能是湘江中上游存在大量的有色金屬開采與冶煉企業,而長沙段位于下游地區,不斷接納中上游的工業廢水,沉積物又作為重金屬最終的儲存庫,最終導致其中相應重金屬的富集.
由SS-TFN模型得到的重金屬地累積指數的評價結果與確定性評價結果基本一致,說明該方法用于沉積物中重金屬污染評價是可行的,但也存在一些差異.Cr的污染程度在SS-TFN評價模型下的結果低于確定性評價模型的結果,造成這種差異的原因主要是基于SS-TFN的重金屬地累積指數評價模型中三角模糊數的運用,使得污染物濃度和地球化學背景值的選取范圍更大,比采用統計平均值和單一的地球化學背景值包含了更多信息.而且,其中蒙特卡羅方法的耦合使用,通過準確模擬評價對象的分布特征,描述參數的隨機性,獲得了更多的數據信息,在一定程度上表征了輸入參數的時空不確定性.最終可以定量計算出各種重金屬隸屬于各污染等級的概率水平,進而通過各等級概率水平加權識別出各重金屬的綜合污染程度.因此,本模型能夠更加全面、合理地反映河流沉積物中重金屬污染水平的真實情況,避免因個別值影響評價結果這一情況的發生,在一定程度上解決了評價過程中存在的不確定性問題.
為了驗證采用蒙特卡羅方法和三角模糊數耦合模型比單純的運用蒙特卡羅方法進行隨機模擬的優越性,本文在模擬計算40000次的情況下,分別計算概率為90%與95%時各種重金屬地累積指數模擬結果之間的絕對誤差值,結果見表 10.
表 10 模擬結果的比較和誤差分析
由表 10可以看出,采用SS-TFN模型得出的各種重金屬地累積指數的模擬結果的絕對誤差均小于單純的采用蒙特卡羅方法,說明對于數據資料較少或精確度不高,含有多種不確定信息的評價對象,采用SS-TFN模型能夠更加準確地表征參數的分布特征,得到更為精確及分布穩定的評價結果.具體參見污水寶商城資料或http://www.xhxdt.com更多相關技術文檔。
綜上所述,基于SS-TFN的地累積指數評價模型將重金屬監測數據的隨機性及模糊性與空間分布的不均勻性聯系起來,通過對監測數據模糊信息的描述及分布特征的隨機模擬,更加簡便快速地獲得評價對象更多的數據信息,反映重金屬污染風險評價系統中的復雜情況.不僅可以判定待評對象可能隸屬的污染風險等級,而且可以定量得出其所處各個等級相應的概率水平,既能夠將個別區域重金屬污染嚴重的情況考慮進去,又能避免偶然值影響整體評價結果事件的發生,這是常規的確定性方法所無法比擬的.決策者在對相應對象進行綜合治理時,可以根據評價結果中其可能所處級別的概率水平,對于污染水平有惡化趨勢的重金屬進行有針對性的預防治理.因此,本文對于含有多種不確定性信息問題的解決,提供了一種新的思路,能夠為決策者提供更加科學合理的決策依據.
4 結論
1)基于SS-TFN的沉積物重金屬地累積指數評價模型,將蒙特卡羅方法和三角模糊數很好地結合起來.對于沉積物重金屬污染風險評價系統中存在的資料信息不完整、數據精度不高等不確定性信息,具有很好的適用性.
2)基于SS-TFN的沉積物重金屬地累積指數評價模型,不僅可以得到評價對象各種可能值區間,而且能夠定量得出各個區間的概率水平,提高了評價結果的可分辨性,決策者可以根據評價結果對沉積物重金屬污染進行針對性的預防治理.在此基礎上,進行各等級概率水平分析及加權分級,得到評價對象的污染等級,更全面、真實地綜合表征了沉積物中重金屬富集污染狀況,為重金屬污染評價提供了一種新的方法.
3)將本文建立的基于SS-TFN的沉積物地累積指數模型應用到湘江長沙段的重金屬污染評價,結果表明,重金屬Cd污染程度最高,Zn和Hg處于重度污染級別,并有向嚴重污染等級惡化的趨勢,應將Cd作為重點治理對象,并且對Zn和Hg進行針對性的預防控制.












