果膠主要是由α-1,4-糖苷鍵聯結而成的半乳糖醛酸與鼠李糖、 阿拉伯糖和其他中性糖相聯結的聚合物[1],此外還含有一些非糖成分如甲醇、 乙酸和阿魏酸. 目前,關于果膠廢水處理的方法主要包括復合絮凝劑處理、 混凝-吸附法處理、 果膠酶處理、 生物接觸氧化法處理. 利用復合絮凝劑和混凝-吸附法處理果膠廢水是最快捷的去除果膠的方法,通過絮凝劑與果膠分子形成絮體而去除果膠,但容易產生二次污染,且后續脫色程序較繁瑣.果膠酶處理果膠廢水可以達到很好的效果,但處理費用過高. 生物接觸氧化法處理果膠廢水時,由于果膠具有較強的黏附能力,系統中的微生物會因果膠的包裹作用而失去活性,導致處理效率不高.果膠相對分子質量在1萬~40萬之間.由于果膠具有良好的膠凝和增稠作用[2],在實際廢水處理工程中,果膠往往會堵塞污水管道,影響處理設施的正常運行,降低處理效率.
與上述處理方法相比,厭氧生物法[3, 4]具有運營成本低[5]、 產泥量少[6, 7]、 處理負荷高[8]、 能耗低[9]的優點,并可以回收甲烷能源[10].基于此,本研究采用馴化污泥降解果膠廢水,考察了果膠濃度、 溫度等因素對厭氧去除果膠和COD的影響,并利用GC-MS對產物進行了分析,探究了果膠的降解途徑,以期為果膠廢水的實際處理工程提供參考.
1 材料與方法
1.1 接種污泥
接種污泥取自長沙市第二污水處理廠的剩余污泥.污泥粒徑為0.2~0.8 mm,污泥的MLSS為17.8~18.5 g ·L-1,MLVSS為12.4~13.8 g ·L-1.
1.2 實驗裝置
厭氧發酵罐14個,其中1個大的發酵罐用于污泥的儲備與馴化,其余13個用于降解實驗.實驗工藝流程如圖 1所示.

圖 1實驗裝置及工藝流程示意
1.3 實驗方法
1.3.1 污泥馴化
污泥的接種與馴化均在大發酵罐(2000 mL)中進行,接種污泥先在培養基中培養1周,以維持良好的生物活性,此污泥作為初始污泥(即未馴化污泥).培養基成分[11]:COD(葡萄糖)2000 mg ·L-1,NH4Cl 250 mg ·L-1,NaHCO3 600 mg ·L-1,KH2PO4 50 mg ·L-1,K2HPO4 50 mg ·L-1,CaCl2 50 mg ·L-1,NaCl 10 mg ·L-1,CoCl2 ·6H2O 5 mg ·L-1, FeCl3 25 mg ·L-1,MnCl2 ·4H2O 5 mg ·L-1,AlCl3 32 mg ·L-1,H3BO4 5 mg ·L-1,ZnCl2 5 mg ·L-1.
采用人工配水對上述污泥進行馴化, 配水COD為3000 mg ·L-1左右,接種污泥在以葡萄糖為唯一碳源的培養基中培養13 d后,逐步添加果膠進行馴化,添加量分別為:葡萄糖2500 mg ·L-1+果膠500 mg ·L-1,7 d; 葡萄糖2000 mg ·L-1+果膠1000 mg ·L-1,6 d; 葡萄糖1500 mg ·L-1+果膠1500 mg ·L-1,8 d; 葡萄糖1000 mg ·L-1+果膠2000 mg ·L-1,7 d; 葡萄糖500 mg ·L-1+果膠2500 mg ·L-1,7 d; 果膠3000 mg ·L-1,7 d; 當果膠與COD去除率達到90%以上時,說明馴化成功.
1.3.2 果膠濃度對厭氧去除果膠和COD的影響
將600 mL果膠廢水添加至小發酵罐(1000 mL),接種上述馴化污泥,發酵罐中t=35℃、 pH為7.0左右、 VSS為10 g ·L-1. 接種后反應器用氮氣吹5 min,以驅除發酵罐中的空氣,然后置于恒溫水浴中培養.
1.3.3 溫度對厭氧去除果膠和COD的影響
將600 mL果膠廢水添加至小發酵罐(1000 mL),接種上述馴化污泥,發酵罐中果膠濃度為3500 mg ·L-1、 pH為7.0左右、 VSS為10 g ·L-1. 接種后反應器的密閉性處理如1.3.2節所述,然后分別置于不同溫度下培養.
1.3.4 厭氧中間產物分析
取10 mL水樣在3000 r ·min-1下離心10 min.然后移取2.0 mL上清液于分液漏斗中,加5 mL乙醚,振蕩4 min,靜置分層,取出上層有機相,同上步驟,重復3次,收集有機相.有機相加入無水硫酸鈉脫水,然后再置于K-D濃縮器中濃縮至約1.5 mL,供GC-MS分析進樣.
1.4 分析項目及方法
COD:重鉻酸鉀滴定法; 揮發性脂肪酸(VFA):滴定法; MLSS:重量法; MLVSS:重量法[12]; 果膠:分光光度法;
中間產物采用日本島津公司生產的GCMS-QP2010SE進行GC-MS分析[13].色譜柱:HP5石英毛細管柱(30 m×0.25 mm i.d×0.25 μm); 載氣為高純He,流量為50 mL · min-1; 進樣口溫度為250℃,柱溫為40℃,保持2 min后,以10℃ · min-1的速度升至240℃,保持10 min,然后以10℃ ·min-1的速度升溫至280℃,保持10 min; 進樣方式為自動進樣,進樣量為0.2 μL; 質量掃描范圍:45~700 u; 電子轟擊能量為70 eV,倍增電壓為2000 V,離子源溫度為200℃.
2 結果與討論
2.1 厭氧污泥馴化
采用人工配制的廢水對厭氧污泥進行馴化[14],馴化時間為55 d.馴化初期,由于微生物對果膠廢水沒有完全適應,導致了初期果膠和COD去除率分別只有74.7%和39.8%.隨著馴化的進行,果膠和COD去除率逐步提高.由圖 2可見,馴化過程中,果膠的添加量對馴化系統的穩定性有一定影響,由于污泥中的微生物對果膠存在一個適應期,當廢水中果膠濃度突然變化時,系統對COD的去除率有不同程度的降低.例如:馴化時間為20 d時,果膠濃度從500 mg ·L-1上升到1000 mg ·L-1,COD去除率從64.8%下降到36.4%,隨著馴化時間的延長,即21~26 d,由于微生物對果膠濃度的適應及其自身利用果膠生長繁殖,COD去除率逐漸增加并穩定于70%.馴化前41 d,COD去除率為65%~85%,41~55 d,系統對COD的去除率穩定在90%以上,說明馴化后的污泥具有較高活性. 55 d后,系統對果膠和COD的去除率均趨于穩定,認為厭氧污泥馴化成功.

圖 2馴化期果膠濃度對系統去除率的影響
2.2 馴化污泥與初始污泥(未馴化污泥)對果膠降解的比較
分別選取初始濃度相同的馴化污泥和初始污泥,在相同條件下對果膠進行降解,兩種污泥對果膠的降解效果見圖 3.

圖 3馴化污泥與未馴化污泥對果膠降解效果的比較
從圖 3可以看出,馴化污泥和初始污泥對果膠降解情況不同.初始污泥在前24 h內對果膠降解速度較快,達到30.9 mg ·(L ·h)-1,這是由于厭氧污泥多孔性的物理結構使其具有較強的吸附能力,能夠吸附廢水中部分有機物.這種吸附包括物理吸附和生物吸附,以物理吸附為主,并能達到吸附平衡[15].24~144 h,果膠濃度緩慢減少,這可能是因為果膠中含有的部分半乳糖醛酸甲酯水解了[16].馴化污泥對果膠的降解則集中在前36 h,降解速率達到63.9 mg ·(L ·h)-1, 36 h后果膠濃度基本上不發生變化.從降解速率來看,馴化污泥對果膠的降解更快,這主要是由于馴化污泥中含有較多能降解果膠的微生物.從去除率來看,在120 h內,馴化污泥比初始污泥提高了59.2%,可見馴化污泥對果膠的降解能力更強.
2.3 果膠濃度對厭氧降解果膠廢水的影響
從圖4(a)可以看出,厭氧馴化污泥能夠降解濃度大于4500 mg ·L-1的果膠廢水. 反應初期,各濃度下的降解速率均較快,降解曲線斜率很大,隨著降解時間的延長,降解速率逐漸下降,最終接近于0.在果膠濃度為100、 500、 1000、 2500、 3000、 4500 mg ·L-1時,厭氧降解果膠的平均速率分別為4.5、 23.1、 29.3、 49.8、 64.5和74.0 mg ·(L ·h)-1.由此可見,隨著進水果膠濃度的上升,厭氧降解速率逐步提高.從圖4(a)還可以看出,當進水果膠濃度為100 mg ·L-1時,厭氧降解速率緩慢,厭氧降解24 h后,廢水中果膠殘留量為52.3 mg ·L-1.這主要是由于在低濃度碳源環境下,微生物新陳代謝活動減弱,從而影響了酸化水解菌將果膠轉化為中間產物的能力.由厭氧消化四階段理論可知,酸化水解階段大分子的有機物在細菌胞外酶的作用下分解成小分子有機物,有機物只是在形式和質上發生了變化,而在數量上變化較小[17].因此廢水中果膠和COD的去除不能同時完成,為了進一步了解廢水中中間產物的轉化情況,實驗分別考察了上述不同果膠濃度條件下,廢水中COD的變化情況,結果見圖4(b).

圖 4不同進水濃度下果膠和COD的厭氧降解曲線
從圖4(b)可以看出,24 h內COD降解速率較快,24~144 h降解速率逐步下降,144 h后COD基本上保持不變.144 h內,在果膠濃度為100、 500、 1000、 2500、 3000、 4500 mg ·L-1時,厭氧污泥對COD的去除率分別為41.6%、 82.0%、 93.1%、 96.1%、 94.1%、 91.7%.在果膠濃度為1000~4500 mg ·L-1時,系統對COD的去除率維持在91%以上.當果膠濃度為100 mg ·L-1、 500 mg ·L-1時,去除率卻相對較低.這主要是由于低濃度的果膠進水不能滿足微生物對營養的需求,導致微生物繁殖和新陳代謝活動均受到抑制,因而不利于果膠廢水的厭氧生物處理.
綜上所述,進水果膠濃度對厭氧降解果膠廢水中的果膠和COD的影響大致相同.在進水果膠濃度為100~500 mg ·L-1時,厭氧系統對果膠和COD的去除率分別為93.1%~98.3%、 41.6%~82.0%.而在進水果膠濃度為1000~4500 mg ·L-1時,厭氧系統對果膠和COD的去除率分別為98.9%~99.6%、 91.7%~96.1%,這與前者相比,果膠和COD的平均去除率分別提高了3.6%、 32.0%.當進水果膠濃度從1000 mg ·L-1提高到4500 mg ·L-1時,系統對果膠和COD的去除率影響均較小.因此,馴化污泥適宜處理果膠濃度大于1000 mg ·L-1的廢水.
2.4 溫度對厭氧降解果膠廢水的影響
溫度是影響厭氧消化的重要因素之一,在僅以溫度為變量的條件下分別進行了厭氧污泥對果膠廢水的降解實驗,降解曲線如圖5所示.

圖 5不同溫度下果膠和COD的厭氧降解曲線
從圖5(a)可以看出,溫度較低時,厭氧降解果膠速率較慢.溫度為5℃和15℃時,在144 h內,厭氧污泥對果膠的降解不能達到穩定,出水中果膠濃度為428.9~2589.6 mg ·L-1.溫度為25℃和35℃時,厭氧降解果膠分別可以在60 h和108 h達到穩定,并且出水中檢測到的果膠濃度在70 mg ·L-1以下.當溫度上升到45℃和55℃時,厭氧污泥降解果膠在開始的36 h內就可以達到平衡,出水果膠濃度為65.5~73.8 mg ·L-1.馴化污泥降解果膠達到穩定時,當降解溫度分別為5、 15、 25、 35、 45、 55℃時,果膠的平均降解速度分別為5.3、 20.3、 28.1、 56.1、 92.6和93.6 mg ·(L ·h)-1.上述結果表明,在5~45℃厭氧污泥對果膠的降解能力隨著溫度的升高而提高,當溫度高于45℃時,厭氧污泥對果膠的降解速率變化很小.這與Ahring等[18]得出的結論相似: 不同底物的厭氧消化在其最優范圍內對有機物的去除率隨溫度的升高而增加,超出最適溫度,去除率不隨溫度升高反而下降.這主要是由于溫度升高時,一方面厭氧污泥吸附果膠分子的速率增大,另一方面溫度較高時,酸化水解菌中酶的活性會受到影響.總體來說,45~55℃時處理效果達到最優.
由圖5(b)可以看出,144 h時,各溫度下對COD的去除率大小表現為:35℃>25℃>45℃>15℃>55℃>5℃.在5~35℃,厭氧污泥對果膠廢水中COD的降解能力隨著溫度的升高而提高,當溫度高于35℃時,厭氧污泥對果膠廢水中COD的降解能力逐漸變小.這說明在厭氧降解果膠廢水過程中,產甲烷菌的最適溫度為35℃.溫度太低時,抑制微生物的生長與酶的活性,從而影響COD的去除. 溫度過高(>35℃)則會使得產甲烷菌體內酶發生不可逆轉的破環,從而導致COD去除率大幅度下降.
綜上所述,厭氧污泥在不同溫度下降解果膠廢水時,酸化水解菌和產甲烷菌不能同時達到最優去除效果.綜合考慮果膠和COD的降解情況,當溫度為25~45℃時,厭氧污泥對果膠廢水具有較好處理效果.
3 果膠的厭氧降解方式
采用氣相色譜-質譜聯用儀(GC-MS)對果膠厭氧降解的中間產物進行了分析,結果如表1所示,檢出中間產物中的主要有機物是乙酸、 丙酸、 低級酯、 烷基醇(C12~C40).

表1 果膠厭氧降解中間產物中的主要有機物
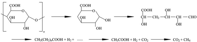
推測果膠的厭氧降解途徑[19]如圖 6.
圖 6果膠的厭氧降解過程
果膠分子中的單體半乳糖醛酸中的C—O—C鍵首先斷裂,果膠分子聚合度下降,然后低聚合度的中間體近一步降解生成揮發性酸、 H2等,最后被徹底分解成CH4和CO2.具體參見污水寶商城資料或http://www.xhxdt.com更多相關技術文檔。
4 結論
(1)厭氧污泥經過55 d馴化,對3000 mg ·L-1果膠廢水的果膠和COD去除率均穩定在90%以上,與未馴化厭氧污泥處理果膠廢水相比,馴化后的污泥對果膠去除率提高了59.2%.
(2)馴化污泥能夠降解初始濃度大于4500 mg ·L-1的果膠廢水.果膠濃度越高,降解速率越快. 果膠濃度為100和500 mg ·L-1時,果膠降解速率分別為4.5和23.1 mg ·(L ·h)-1,而濃度為2500和4500 mg ·L-1的果膠廢水,降解速率分別為49.8和74.0 mg ·(L ·h)-1.果膠初始濃度低于500 mg ·L-1,COD去除率較低,僅為41.6%~82.0%.果膠初始濃度高于1000 mg ·L-1,COD去除率穩定在91%以上.
(3)溫度越高,降解果膠所需的時間越短. 5℃時,降解144 h后,出水果膠濃度為2589.6 mg ·L-1,而溫度為55℃時僅需36 h,出水果膠濃度可在80 mg ·L-1以下. 隨著溫度在5~35℃范圍內變化,厭氧污泥對果膠廢水中COD的去除率從38.6%逐漸增加到91.5%,當溫度高于35℃時,厭氧污泥對果膠廢水中COD的去除率逐漸降低.
(4)果膠可能的厭氧降解途徑為:果膠分子中的單體半乳糖醛酸中的C—O—C鍵首先斷裂,然后低聚合度的中間體進一步降解生成揮發性酸、 H2等,最后被徹底分解成CH4和CO2.


