微生物燃料電池(microbial fuel cell, MFC)是一種集污水處理及產能于一體的廢水資源型技術,具有反應條件溫和、能量高效利用、生物修復和水體污染同步治理等優點.至今已用于多種有機廢水處理的研究,如苯酚、釀酒廢水、制藥廢水等.其本質是利用陽極微生物細胞中酶的代謝作用氧化有機物產生電子,電子通過中介體傳遞至陽極,故陽極是微生物附著、生長、降解底物和電子傳遞的直接場所,同時陽極材質決定著陽極電位,最終決定微生物的代謝途徑,影響MFC的輸出功率.因此,陽極是影響MFC性能的一個重要指標.
電氣石是一種復雜的自發電極性硼硅酸鹽礦物,可以產生電場和遠紅外線,使水的活性提高,水分子結構發生改變,進而提高陽極的生物親和性,加強生物代謝能力.此外,電氣石表面帶正電荷的離子有利于吸附帶負電荷的微生物,從而加快MFC啟動.當電氣石含量為0.10 g時,MFC系統性能最佳.
由于MFC產電菌群主體為異化金屬還原菌,與過渡態金屬親和性較強,因此研究者使用過渡態金屬/金屬氧化物作為電極修飾物,二氧化錳(manganese bioxide,MnO2)以其高理論比容在過渡金屬氧化物中脫穎而出,成為研究熱點. Gong等研究發現MnO2的加入使得微生物多樣性是不加MnO2的兩倍.但MnO2電導率較低,不利于其電容性能的發揮. Yuan等利用水合法制備多壁MnO2/聚吡咯/納米MnO2材料(NT-MPM),并用于修飾MFC陰極.但目前使用的MnO2摻雜的復合物均存在制備方法復雜、原料價格較昂貴等問題.而埃洛石納米管(halloysite nanotube,HNT)是一種天然的黏土礦物,其多孔結構能使MnO2均勻分散在表面,提高比表面積,利于細菌吸附.因此以HNT作為MnO2的基體,提高MFC性能.同時經研究發現,質量分數75% MnO2/HNT具有最高的電化學性能,獲得最大功率密度為767.37 mW ·m-2.
Xie等利用碳納米管(carbon nanotube, CNT)修飾聚氨酯海綿陽極,該MFC處理生物污水所獲得的功率密度(182 mW ·m-2)是其他同類的2.5倍. Peng等發現CNT有利于Shewanella oneidensis與電極間的細胞傳遞.但Wu等與Flahaut等指出純碳納米管有細胞毒性,可能導致細胞死亡和增殖抑制.研究者因此認定純碳納米管不適合用于MFC陽極,但可以通過改性來減少其細胞毒性.多壁碳納米管(multi-walled carbon nanotube,MWCNT)具有較大的比表面積、良好的導電性能、較好的化學穩定性、良好的電學性能、高催化活性以及易于和多種基團反應等優點.而羧基親水基團的引入,可以增加陽極表面的粗糙程度,有利于微生物的吸附和電子傳遞.
精對苯二甲酸(pure terephthalic acid, PTA)是一種常見的含有高化學能的有機污染物,為了研究不同改性陽極對MFC的實際應用性的影響,本文以PTA廢水作為MFC底物,選取0.10 g的電氣石、75% m(MnO2)/m(HNT)和MWCNT-COOH作為陽極修飾物,通過功率密度、庫侖效率、塔菲爾曲線等參數考察不同修飾物對微生物燃料電池性能的影響,通過底物去除率及化學需氧量(chemical oxygen demand, COD)去除率評價3種修飾物對PTA廢水的降解效果,以期為微生物燃料電池應用于處理高濃度難降解有機廢水提供科學依據.
1 材料與方法1.1 實驗材料
本研究中所使用的主要儀器見表 1,主要試劑見表 2.

表 1 主要實驗儀器

表 2 主要實驗試劑
1.2 陽極制備
實驗中陽極的基材均為碳布,陽極修飾物(電氣石、MnO2/HNT和MWCNT-COOH)通過碳刷涂布于碳布表面,涂覆面積為陽極有效面積28.26 cm2.為了去除碳布表面的雜質,碳布在使用前先用清水沖洗,然后分別用0.8 mol ·L-1的HCl和NaOH溶液浸泡2 h,最后用去離子水浸泡5 h,烘干備用.
1.2.1 電氣石
將0.1 g的8000目電氣石與2 mL去離子水混合均勻,置于超聲波清洗器中100 Hz條件下超聲分散15 min,然后均勻涂布在碳布上.改性碳布使用前在室溫下干燥24 h.
1.2.2 MnO2/HNT復合材料
MnO2/HNT復合納米材料是通過對Devaraj等和Boonfueng等方法進行改良.制備MnO2/HNT復合材料前,將一定量的HNT置于80℃下烘2 h,以便去除其吸附的水蒸氣.首先,將1.52 g KMnO4加入到0.26 g ·L-1HNT溶液中,并在室溫下攪拌.之后將0.93 g MnSO4 ·H2O溶于去離子水中,逐滴加入到混合溶液中,并攪拌4 h.反應完成后,用去離子水洗滌至無SO42-,且溶液pH約為7左右.在80℃下干燥,粉碎得到75% m(MnO2)/m(HNT). MnO2晶型形成的反應式如下所示:

將0.22 g的改性材料與4.3 mL的去離子水混合制備成糊狀物,超聲半小時后將糊狀物均勻涂布于碳布表面,以形成一層均勻的膜.
1.2.3 MWCNT-COOH
將多壁碳納米管粉末置于1 :3的HNO3 :H2SO4混合液中,50℃條件下超聲分散24 h,超聲完畢之后用大量清水洗滌,使pH為中性,烘干研磨后備用.取制好的MWCNT-COOH 0.10 g與4 mL無水乙醇、1 mL 1% Nafion溶液制備成糊狀物,在100 Hz下超聲0.5 h以便粉末均勻分散于溶液中.然后,將糊狀物均勻涂布于碳布表面.為了保證涂覆的均勻性,每涂一次放烘箱中烘干一次,然后換成垂直于前一次所涂方向再涂,直到修飾物涂完為止.
1.3 MFC的構建及啟動
本實驗構建了4個方型單室空氣陰極MFC反應器,其間距為3 cm,體積為90 mL.陰極為涂有Pt催化劑的碳布陰極,陽極分別為0.10 g電氣石、75% m(MnO2)/m(HNT)和MWCNT-COOH修飾的碳布陽極,對照陽極為未修飾的碳布.陰、陽兩極通過外部電路及負載電阻(1 000 Ω)連接,數據采集器用于采集負載電阻兩端產生的電壓,記錄頻率為1次·min-1.
反應器構建好后,將含有菌株的厭氧污泥(取自南京某化工廠)和葡萄糖培養液按體積比1 :1加入MFC反應器內進行陽極微生物掛膜.其中,葡萄糖培養液組成:葡萄糖1 g ·L-1,NH4Cl 0.31 g ·L-1,KCl 0.13 g ·L-1,Na2HPO4 ·12H2O 11.88 g ·L-1,NaH2PO4 ·2H2O 2.55 g ·L-1,MgSO4 ·7H2O 0.19 g ·L-1,微量元素10 mL(微量元素成分:每升水中含CaCl2 1.25 g,CuCl2 ·2H2O 0.195 g,NiCl2 ·6H2O 0.329 g,ZnCl2 0.25 g,H3BO3 0.25 g,EDTA 1.25 g,CoCl2 ·6H2O 0.25 g,FeSO4 ·7H2O 1.25 g,MnSO4 ·H2O 1.25 g,Al2(SO4)3 ·18H2O 1.5 g,(NH4)6Mo7O24 ·4H2O 0.25 g).當輸出電壓穩定時,完成馴化掛膜.將1 000 mg ·L-1 COD的PTA溶液(溶液成分:PTA 0.697 g,NH4Cl 0.071 g,K2HPO4 ·3H2O 0.19 g,MgSO4 ·7H2O 0.2 g,酵母膏0.21 g,微量元素10 mL)分別添加進4個MFC反應器中,待MFC產電穩定后,記錄相關數據.當輸出電壓低于100 mV時,完成一個反應周期,更換新底物,且MFC運行溫度控制在(33±0.1)℃.
1.4 分析方法1.4.1 陽極電極表征
掃描電子顯微鏡(scanning electron microscope, SEM)一般用于觀察樣品的表面形態結構,在用掃描電鏡觀察前,先將電氣石、MWCNT-COOH、75% m(MnO2)/m(HNT)這3種陽極修飾材料粘在導電膠上,噴金之后進行掃描電鏡觀察.
1.4.2 底物分析
PTA的檢測根據文獻,即配置一定濃度的PTA標準液,然后于50 mL比色管中分別加入0.00、0.50、1.00、2.00、4.00、6.00、8.00和10.00 mL PTA標準液,并用一定濃度的NaOH溶液調節pH范圍為7~9,以蒸餾水作為參比,用1 cm比色皿在240 nm波長下測定吸光度,并繪制標準曲線.
1.4.3 MFC性能分析
(1) 塔菲爾曲線
塔菲爾曲線廣泛用于MFC電極動力學活性及電極耐腐蝕性能的表征. Tafel測試采用半電池測試,以陽極作為工作電極,Pt電極作為對電極,Ag/AgCl作為參比電極,掃描范圍為-0.7~0.3 V,掃描速度為1 mV ·s-1.
(2) 功率密度
功率密度為單位電極體積所輸出的功率.
(3) 庫侖效率(Coulombic efficiency, CE)
CE指回收的電能和有機物理論上可以提供的化學能之比.
(4) 陽極電位
陽極電位的大小可以直接反映陽極微生物活性,可通過三電極體系測量,其中以陽極作為工作電極、Ag/AgCl作參比電極,鉑電極作為對電極,通過萬用表來檢測陽極電極與參比電極之間的電勢差,該電勢差則為陽極電位.
2 結果與討論2.1 掃描電鏡分析
電氣石是一類具有自發電極性的礦物,在這種特性作用下,一個粒徑為微米級的電氣石顆粒為具有正負極的電偶極體,自身能形成電流和靜電場. 圖 1(a)為電氣石SEM圖.從圖中可以看出,電氣石顆粒分布均勻,較大的顆粒間分散性良好,而小顆粒之間存在明顯的團聚現象,說明電氣石顆粒間存在斥力和引力.礦質電氣石經粉碎成粉末過程中,粒度變小,比表面積變大,電氣石粉末表面存在大量不飽和鍵(不飽和氧原子、XYZ位離子和羥基)和斷鍵.當電氣石粉碎后,周邊存在大量電偶極體,電氣石的電極特性增強,使得小顆粒電氣石間相互吸引.

(a)電氣石;(b)MWCNT-COOH;(c)75% m(MnO2)/m(HNT)
圖 1 不同陽極修飾材料的掃描電鏡圖
圖 1(b)為MWCNT-COOH的SEM圖.經過酸處理后的MWCNT管與管之間相對蓬松,形成層狀結構,團聚現象減弱,長度變短,且在端部出現了大量官能團,平均孔徑為15.605 nm. MWCNT是由多個六方點陣碳原子圓柱面構成的空心小管,端部為五邊形和七邊形排列的碳原子.端部的碳原子處于亞穩定狀態,能量高,易被氧化.用混酸處理時,端頭首先被切掉,然后酸液能夠滲透到MWCNT的層壁間,將外壁和內壁的壁層氧化掉.隨著管壁不斷氧化剝離,最終在碳管的薄弱處發生斷裂.
圖 1(c)為75% m(MnO2)/m(HNT)掃描電鏡圖.從中可以看出,MnO2/HNT復合材料呈蓬松狀,提高了MnO2分散性,減少團聚.復合材料制備時,HNT帶負電荷的二氧化硅外表面將吸附形成的、帶正電荷的二氧化錳晶體,導致MnO2在HNT表面原位生長、聚集.因此MnO2/HNT復合材料提高了MnO2顆粒的連接性和導電性能.
2.2 陽極開路電位測試
開路電位是電池處于開路狀態時陽極電位和陰極電位的差值.開路電壓主要受陽極電位影響,由于電極材料或者修飾物的不同,陽極占主導地位的產電菌可能有所差異,因此其開路電位也會存在差別.從圖 2(a)中可以看出,當以葡萄糖作為底物時,75% m(MnO2)/m(HNT)和MWCNT-COOH修飾的碳布陽極的穩定開路電位相差不大,約為794 mV左右,而電氣石修飾的陽極和純碳布的穩定開路電位均在740 mV左右.在本實驗中,陰極均為Pt/C化學催化劑,因此陰極電位是固定的.開路電位主要受陽極電位影響.因此,對于陽極電位,有以下關系:75% m(MnO2)/m(HNT)≈MWCNT-COOH < 純碳布 < 電氣石(見表 3),這可能是由于電氣石本身為硅酸鹽礦物質,修飾過后的陽極表面親水性較差,溶液難以浸潤,使得修飾后電極導電性較差,而75% m(MnO2)/m(HNT)和MWCNT-COOH的導電性較好,電子能較快地在微生物和陽極間傳遞,使得其陽極電位較低,從而利于微生物發生氧化還原反應.從圖 2(b)可知,以PTA作為底物時,陽極電位排序并沒有發生改變,但總體相對于以葡萄糖為底物時的陽極電位有所下降.由于開路電位是熱力學指標,其大小受微生物種群及陰極限制.因此可知,當改變底物時,微生物種群可能發生變化.當以葡萄糖做為底物時,微生物種群主要以毛球菌屬與丙酸桿菌屬為主;而以PTA為底物時,微生物種群發生了極大的改變,其主要以變形菌門為主.

non是指由未做任何修飾碳布而做成的MFC
圖 2 MFC開路電位
2.3 功率密度
圖 3、圖 4顯示了不同陽極修飾條件下的MFC產電運行結果,其分別是功率密度對電流和電壓對電流的極化曲線.從中可以看出,MWCNT-COOH修飾的MFC、75% m(MnO2)/m(HNT-MFC)、電氣石修飾的MFC和未修飾MFC最大功率密度分別為252.73、173.64、98.23和103.18 mW ·m-2.電氣石修飾陽極產生的功率密度低于未修飾MFC,這是由于電氣石的加入,增加了電極內阻,降低了電子遷移速率.但MnO2/HNT和MWCNT-COOH修飾陽極顯著提高了MFC最大功率密度,相對于未修飾陽極MFC,其功率密度分別提高了68.2%和144.9%.

圖 3 不同陽極的功率密度-電流曲線圖

non是指由未做任何修飾碳布而做成的MFC
圖 4 不同陽極電壓-電流曲線圖
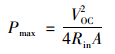
根據電力學理論基本原理,最大功率密度可以簡化如下:

式中,VOC2為電池的開路電位,Rin為電池的內阻(電池內阻為圖 4電壓-電流曲線擬合而成的直線斜率),A為有效陽極面積.因此可知,提高Pmax可通過提高開路電位或者降低內阻來實現.由2.2節和圖 3、4可知,MnO2/HNT和MWCNT-COOH修飾陽極有利于提高開路電位和降低內阻,因此其有利于MFC功率密度的提高.
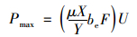
此外,撇除結構等的限制,僅僅從產電菌生長代謝的角度來衡量MFC的產電能力,則功率密度可表示為:
式中,μ為產電菌的生長速率,Y為產電菌的產率系數,be為每摩爾底物完全氧化成CO2失去的電子摩爾數,X表示菌體密度,F為法拉第常數,U為開路電壓.由公式可知,Pmax與U和微生物成正比,但由2.2節可知,MnO2/HNT和MWCNT-COOH修飾陽極雖然提高了U,但是提升幅度較小(表 3),因此可知,修飾電極提高了陽極微生物附著量.其中MWCNT-COOH產生功率密度高于MnO2/HNT產生的功率密度,這是由于MWCNT-COOH中羧基親水團的加入大大增強了陽極表面的潤濕性,更加有利于微生物的吸附.

表 3 不同陽極性能比較
2.4 底物去除率和庫侖效率
本實驗中所用PTA廢水來自于南京某化工廠,原水COD一般在1 200~1 500 mg ·L-1,PTA濃度一般為530~560 mg ·L-1.表 3為不同陽極性能比較.從中可知,所有MFC對PTA的去除率均在70%以上,COD去除率均在79%以上,說明MFC對PTA廢水有較好的效果. PTA廢水中在厭氧條件下,PTA會以加氫反應生成烷基苯,然后以烷基烴的形式降解或者脫去羧基以含氧酸的形式降解,如圖 2~4所示.此外,從表 3可以看出,COD的去除率高于PTA的去除率,這是因為PTA性質較穩定,微生物首先會降解廢水中易降解物質從而導致COD去除率高.
本研究中以PTA為底物的CE僅在8.2%~11.7%之間,表明有很大一部分的電子并未轉化成電能.在本實驗中,庫侖效率的影響因素主要為氧氣擴散和微生物群落組成的變化.實驗過程中,由于修飾陽極的不同,會導致微生物群落發生不同改變,進而影響微生物產電能力的強弱;氧氣擴散則是由于陰極室的氧氣擴散到陽極室,使得產電菌和非產電菌發生競爭作用,部分有機物以發酵形式被消耗.
2.5 塔菲爾曲線
圖 5為自制MWCNT-COOH、電氣石、75% m(MnO2)/m(HNT)修飾的陽極與未修飾陽極塔菲爾曲線,以此比較不同修飾物對陽極的電化學性能影響.當電極發生電化學極化時,過電位η與lgi存在如下關系:
由于交換電流密度在低過電位區域內(η為50~140 mV)主要受電化學極化限制,濃差極化的影響非常小,因此一般是通過將其線性部分反向延長至過電位為零處所得.由圖 5得到MWCNT-COOH、75% m(MnO2)/m(HNT)、電氣石修飾的陽極和未修飾陽極的交換電流密度為1.7、0.16、0.005 6、0.002 6 mA ·cm-2.經過MWCNT-COOH和75% m(MnO2)/m(HNT)修飾的陽極交換電流密度分別增加了653倍和60.5倍,電氣石修飾的陽極和未修飾陽極的交換電流密度相差不大.交換電流密度值的高低體現了電極表面生化反應的快慢.通常交換電流密度越大,電極反應越快.未修飾的碳布交換電流密度較低,意味著陽極微生物反應所需的活性能較高,反應困難,且活化損失嚴重. MWCNT-COOH、75% m(MnO2)/m(HNT)可能增加了化學反應位點或增加電化學反應的選擇性從而降低了化學反應的活化能增加了電極的交換電流密度.具體參見污水寶商城資料或http://www.xhxdt.com更多相關技術文檔。

圖 5 不同陽極的Tafel曲線
3 結論
(1) MFC能夠同步處理PTA廢水并進行產能.所有MFC對PTA的去除率均在70%以上,且除了電氣石改性陽極,MWCNT-COOH和75% m(MnO2)/m(HNT)修飾陽極都提高了MFC的功率密度,分別為252.73 mW ·m-2和173.64 mW ·m-2.
(2) 通過開路電壓的測定,PTA影響了陽極微生物種群的變化.通過最大功率密度計算可知,修飾電極提高了陽極微生物附著量.
(3) MWCNT-COOH、75% m(MnO2)/m(HNT)修飾陽極提高了微生物反應速率,所獲得的陽極交換電流密度分別為1.7 mA ·cm-2、0.16 mA ·cm-2,遠高于未修飾陽極(0.002 6 mA ·cm-2).


