氟是人體所必需的重要元素之一, 但是長期飲用氟超標的水可能會引起氟斑牙、氟骨病等疾病.為保證人類健康, 世界衛生組織(WHO)規定飲用水中氟的濃度應低于1.5 mg ·L-1.由于工業排放和含氟礦物的風化淋濾, 世界各地高氟地下水分布范圍越來越廣, 為人們提供氟未超標的安全飲用水變得尤為重要.目前去除水中氟離子的方法主要有化學沉淀、離子交換、吸附、電滲析和反滲透.與其他方法相比, 吸附法具有經濟實用、易于操作、少污染或無污染的特點, 近年來有許多吸附劑運用于水中氟離子的吸附去除, 如活性氧化鋁、羥基磷灰石、碳材料、金屬氧化物納米材料等.
鋯氧化物納米材料具有良好的生物相容性、穩定性和低溶解度, 根據HSAB理論(hard-soft-acid-base), 鋯與氟之間存在著很強的親和力, 所以鋯氧化物納米材料具有用作飲用水中氟離子吸附劑的潛力.目前已有大量研究表明鋯氧化物納米材料對溶液中氟離子有良好的吸附性能, 然而納米材料本身具有較高的表面自由能, 容易團聚而使表面活性位點減少, 從而制約其吸附性能, 并且納米材料平均顆粒尺寸小, 在處理完含氟水后難以分離和回收, 存在造成二次污染的可能.
石墨烯是一種由碳原子通過sp2雜化而形成的正六邊形結構平面薄膜, 只有一個原子厚度的新型二維碳材料.石墨烯擁有極大的比表面積和豐富的表面官能團, 對染料和金屬離子有優異的吸附性能, 盡管已有研究稱石墨烯可用作氟離子吸附劑, 但石墨烯和氟離子間微弱的相互作用力降低了其吸附能力.石墨烯大比表面的特點使其成為多種納米材料的良好載體, 與其它納米材料復合可實現優勢互補的目的.
本研究結合鋯氧化物對氟較強親和力和石墨烯大比表面積的優點, 通過均相沉淀法將水合氧化鋯(HZO)非晶薄層均勻涂蓋在三維網狀結構的石墨烯水凝膠(SGH)表面, 成功制備出HZO@SGH. HZO@SGH保持了石墨烯大比表面積的特點, 同時防止HZO團聚現象的產生, 從而避免HZO表面活性位點減少, 使得HZO@SGH的吸附性能得到明顯提升.三維網狀結構HZO@SGH通過重力作用能很快沉降到溶液底部, 易于分離和回收.本實驗采用HZO@SGH作為吸附劑, 去除模擬含氟水中的氟離子, 系統地研究HZO@SGH吸附氟離子的吸附動力學和靜態吸附等溫線, 探究了溶液初始pH和共存離子對HZO@SGH吸附性能的影響, 分析了HZO@SGH吸附氟離子的機制.
1 材料與方法 1.1 藥品與試劑
天然石墨粉(325目)、水合氯氧化鋯(ZrOCl2 ·8H2O)、氟化鈉(NaF)購自上海阿拉丁生化科技股份有限公司; 其他試劑均為分析純; 實驗用水為純水.
1.2 吸附劑的制備
氧化石墨烯(GO)通過經典的Hummers法制備.石墨烯水凝膠(SGH)通過將30 mg抗壞血酸鈉充分溶解到2 mg ·L-1的GO分散液中, 90℃水浴條件下加熱90 min制備.
HZO@SGH通過將SGH置于氯氧化鋯(0.3mol ·L-1)和尿素(1.8mol ·L-1)的混合液中浸漬24 h, 之后在95℃水浴條件下加熱90 min制備.
1.3 實驗方法
動態吸附實驗:取已知濃度的氟離子溶液于500 mL塑料大口瓶中, 加入0.3g ·L-1HZO@SGH吸附劑后置于25℃條件下的恒溫水浴搖床中振蕩, 每隔預定時間取樣.
靜態吸附實驗如下.
(1) 吸附等溫線研究 取20 mL預先配置的濃度為2~20 mg ·L-1的氟離子溶液于50 mL塑料大口瓶中, 加入0.3 g ·L-1的HZO@SGH吸附劑后置于25℃條件下的恒溫水浴搖床中振蕩5 h取樣.
(2) 初始pH值影響 取20 mL初始濃度為5 mg ·L-1的氟離子溶液于50 mL塑料大口瓶中, 加入0.3g ·L-1的HZO@SGH吸附劑并用0.1 mol ·L-1的NaOH或HCl調節溶液pH值至3~10, 置于2℃條件下的恒溫水浴搖床中振蕩5 h取樣.
(3) 共存陰離子影響 批量將0.3g ·L-1的HZO@SGH投加到20 mL含有5 mg ·L-1氟離子及不同濃度的單一陰離子溶液中, 在25℃水浴搖床中振蕩5 h取樣.
所有批次實驗采用離子色譜法測定溶液剩余氟離子濃度, 氟離子的吸附量由式(1)計算:
(1)
式中, c0(mg ·L-1)表示初始氟離子濃度, ce(mg ·L-1)表示剩余氟離子濃度, V(mL)表示氟離子溶液體積, m(mg)表示投加的吸附劑質量, qe(mg ·g-1)表示氟離子的吸附量.
2 結果與討論 2.1 材料表征 2.1.1 XRD表征
圖 1是GO、SGH、HZO和HZO@SGH的XRD表征圖.從中可看出, GO在2θ=10.4°處有一尖銳的衍射峰, 經計算其層間距大約為0.85 nm, 明顯高于天然石墨(0.34 nm), 這是由于在GO的制備過程中大量含氧官能團的引入, 改變了石墨的固有結構, 使得層間距明顯增加. SGH在2θ=23.5°處有一較寬的衍射峰, 經計算其層間距大約為0.38 nm, 明顯低于GO但略微高于天然石墨, 表明在SGH中存在著石墨烯片層間的π-π堆垛且SGH仍然殘留有部分的含氧官能團.在HZO和HZO@SGH的XRD圖譜中未發現明顯的衍射峰, 表明HZO屬于無定形的物質, 且在HZO@SGH復合物中, HZO完全覆蓋于SGH表面.
2.1.2 SEM表征
圖 2(a)和2(b)是石墨烯水凝膠的SEM圖, 從中可觀察到石墨烯水凝膠是由二維結構石墨烯片層組成, 具有特殊的三維網狀結構.通常, HZO可通過向氯氧化鋯溶液中滴加NaOH促進氯氧化鋯水解制備, 這種方法反應太過迅速難以控制, 本研究所采用的均相沉淀法反應緩慢, 可通過控制反應溫度和時間來控制尿素的分解速度, 從而控制氯氧化鋯的水解速度, 使得生成的HZO能夠均勻地包覆到SGH的表面.圖 2(c)和2(d)是HZO@SGH復合吸附劑的SEM, 從中可看出HZO@SGH的結構是連續均一的, 即使在局部放大的圖 2(d)中也未發現顆粒結構的存在, 并且HZO@SGH仍具有和SGH類似的形貌結構, 這表明在制備HZO@SGH的過程中, SGH的三維網狀結構并未被破壞.
2.1.3 紅外光譜圖分析
樣品表面的各類官能團可通過傅里葉變換紅外光譜(FTIR)分析.圖 3為GO和吸附氟離子前后的HZO@SGH的紅外光譜圖, 從中可知, 3個樣品在3 456 cm-1處都出現了一個較寬的吸收峰, 這是樣品表面吸附水的—OH的伸縮振動峰.在GO的紅外光譜圖中, 1 730 cm-1和1 416 cm-1處的吸收峰是羧基(C=O和O—C=O)的伸縮振動, 1 226 cm-1處的吸收峰是環氧基(C—O—C)的伸縮振動峰, 1 628 cm-1處的吸收峰是GO的C—C骨架振動峰和其表面水O—H的彎曲振動峰, 1 065 cm-1處的吸收峰是烷氧基(C—O)的伸縮振動峰.在HZO@SGH的紅外光譜圖中, 都存在1 643 cm-1處的特征峰, 這是吸附劑表面吸附水O—H的彎曲振動峰, 此外, 在吸附前的HZO@SGH紅外光譜圖中有1 563 cm-1和1 358 cm-1處的特征峰, 對應Zr—OH的振動峰, 而在吸附后的HZO@SGH紅外光譜圖中, 兩處的特征峰都已消失, 這表明吸附劑表面的羥基基團在吸附過程中被氟離子取代而大量減少.
2.1.4 XPS表征
XPS表征可用來探究HZO@SGH吸附劑表面元素組成在吸附實驗前后的變化, 表征結果如圖 4所示.比較圖 4(a)和4(b)可發現HZO@SGH未吸附氟離子之前的全譜圖未發現F1s峰, 而HZO@SGH吸附氟離子后出現了一個較強的F1s峰, 這說明了HZO@SGH能夠成功吸附溶液中的氟離子, 圖 4(d)氟的XPS分譜圖中F1s的結合能在吸附實驗前后的改變也證實了這點.溶液中氟離子在HZO@SGH上的吸附機制可大致由圖 4(c)解釋, 在吸附實驗前, 鋯的XPS分譜圖在181.10 eV和183.51 eV處出現了兩個峰, 分別對應于Zr3d5/2和Zr3d3/2, 而在吸附氟離子之后, Zr3d5/2和Zr3d3/2都向左發生了0.21 eV和0.13 eV的化學位移, 這是由于吸附劑表面的鋯與溶液中電負性更強的氟離子相結合而形成氟化鋯或鋯的氟氧化物, 使得鋯的電負性增強, 導致其外層電子密度減小, 對內層電子的屏蔽作用相應減弱, 因此鋯的內層電子結合能增加, 所以Zr3d5/2和Zr3d3/2發生了化學位移.
2.2 批次吸附實驗 2.2.1 不同吸附劑吸附性能比較
在25℃, pH=6.5, 氟離子初始濃度為5 mg ·L-1的條件下, HZO、SGH和HZO@SGH去除溶液中氟離子的吸附性能如圖 5所示, HZO雖然與溶液中氟離子有很強的親和力, 但團聚現象的產生減少了其表面活性位點, 降低了其吸附性能, 飽和吸附量為5.57mg ·g-1. SGH表面含有少量與溶液中氟離子相排斥的電負性含氧基團, 降低了其吸附性能, 飽和吸附量僅為1.83mg ·g-1.相反, 由于HZO@SGH復合吸附劑能夠避免HZO的團聚, 同時保持了SGH大比表面積的特點, 使得HZO@SGH的吸附性能得到顯著提升, 飽和吸附量達到15.92 mg ·g-1.此外, 在氟離子溶液中三維網狀HZO@SGH比HZO納米顆粒有更好的可分離性, 如圖 6所示, 經過1 h靜置, HZO@SGH通過重力作用已完全沉降到溶液底部, 而HZO納米顆粒仍有部分懸浮在溶液中.優異的可分離性使得HZO@SGH在處理完含氟水后能夠很好地從溶液中分離出來, 避免造成二次污染的可能.
2.2.2 吸附動力學研究
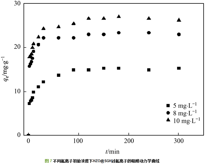
吸附動力學研究是一種探究吸附過程的重要方法.在25℃, pH=6.5, 不同氟離子初始濃度(5、8和10 mg ·L-1)條件下, HZO@SGH去除氟離子的吸附動力學曲線如圖 7所示, HZO@SGH對氟離子的吸附量隨著溶液中氟離子初始濃度增加而增大, 在吸附前30 min, 吸附速率較快, 隨后吸附速率逐漸減小, 在300 min基本達到吸附平衡.
為進一步探究HZO@SGH去除溶液中氟離子的吸附動力學過程, 本研究采用擬一級和擬二級動力學模型對吸附動力學實驗數據進行擬合分析.兩個動力學模型可分別由以下方程式表示:
式中, t(min)為吸附質與吸附劑的接觸時間; qt(mg ·g-1)為t時刻的吸附量; qe(mg ·g-1)表示平衡吸附量; k1 (min-1)為擬一級動力學常數; k2 [g ·(mg ·min)-1]為擬二級動力學常數.
利用擬一級動力學方程和擬二級動力學方程對HZO@SGH吸附氟離子進行擬合, 擬合結果如圖 8所示, 擬合參數見表 1.從中可看出, 擬二級動力學相關系數(R2>0.968)均高于擬一級動力學相關系數, 表明氟離子在HZO@SGH上的吸附動力學更符合擬二級動力學模型, 這說明吸附速率主要是由HZO@SGH與氟離子間的配位交換和靜電吸引相關的化學吸附控制.
2.2.3 等溫線研究
本文通過等溫線模型來探究HZO@SGH對氟離子的吸附機制, 選擇Langmuir、Freundlich和Dubinin-Radushkevich這3種等溫模型進行擬合
Langmuir等溫模型假設吸附劑表面性質均一, 吸附質分子在吸附劑表面為單層吸附且吸附質分子間無作用力.非線性Langmuir吸附等溫模型可由式(4)表示:
式中, qe(mg ·g-1)為平衡吸附量; qmax(mg ·g-1)為最大吸附量; ce(mg ·L-1)為剩余氟離子濃度; KL(L ·mg-1)為Langmuir吸附等溫式常數.
吸附過程的性質可根據一種無量綱常數即分離系數RL判斷, RL可由式(5)表示:
式中, c0(mg ·L-1)為初始氟離子濃度.當RL>1時表示非優惠吸附; 0 < RL < 1表示優惠吸附; RL=0表示不可逆吸附; RL=1表示線性吸附.
Freundlich吸附等溫方程是一種基于假設吸附劑表面是非均一的經驗方程, 其非線性形式可由式(6)表示:
式中, KF[(mg ·g-1) ·(L ·mg-1)]為Freundlich吸附等溫式常數; 1/n為一種反映吸附強度的無量綱常量.
Dubinin-Radushkevich等溫模型常用于描述多孔材料的吸附過程和機制, 可由式(7)表示:
式中, Qm(mg ·g-1)為理論飽和吸附量, KDR(mol2 ·kJ-2)為Dubinin-Radushkevich吸附等溫式常數.吸附自由能E(kJ ·mol-1)常用于判斷吸附質在吸附劑表面的吸附機制, 可由式(8)表示:
當E的值介于8~16 kJ ·mol-1, 說明吸附質主要通過化學吸附作用吸附到吸附劑表面.
在常規條件下(25℃, pH=6.5), 測定HZO@SGH對不同初始濃度氟離子的吸附量, 并用Langmuir、Freundlich和Dubinin-Radushkevich吸附等溫模型進行非線性擬合, 擬合結果如圖 9所示, 擬合參數見表 2.從中可看出, Langmuir等溫模型R2=0.955, Freundlich等溫模型R2=0.891, Dubinin-Radushkevich等溫模型R2=0.974, 比較各模型相關系數R2大小可知HZO@SGH對氟離子的吸附過程更符合Dubinin-Radushkevich等溫模型.在氟離子溶液初始pH=6.5條件下, 根據式(5)估算的RL=0.018, 說明氟離子在HZO@SGH的吸附類型是優惠吸附; 根據式(8)估算的E=9.87 kJ ·mol-1, 說明溶液中氟離子主要通過靜電吸引和配位交換等化學吸附作用吸附到HZO@SGH表面.根據圖 9還可知, HZO@SGH達到吸附平衡后, 溶液中氟離子濃度從初始的≤8 mg ·L-1減小到≤1.19 mg ·L-1, 低于WHO規定的飲用水中氟離子的標準濃度(1.5 mg ·L-1), 表明HZO@SGH具有吸附去除飲用水中氟離子的應用潛力.
表 3為前人所報道過的含鋯復合吸附劑和本研究所制備的HZO@SGH對溶液中氟離子最大吸附量的對比.本研究通過可控的均相沉淀法制備的HZO@SGH, 能夠使HZO均勻地涂蓋到SGH表面, 既避免了HZO團聚的產生而使其活性位點減少, 又保持了石墨烯大比表面積的特點, 所以由表 3可看出本研究所制備的HZO@SGH較部分含鋯復合吸附劑有更優異的吸附性能.
2.2.4 初始pH值影響
氟離子溶液的pH值大小是影響吸附劑吸附性能的重要因素之一.根據圖 10分析可知, 在pH為3~6.5的范圍內, HZO@SGH對氟離子的去除率達到89%以上, 當溶液pH為4時, 氟離子的去除率達到最大值98%.隨著溶液pH值從6減小到4, HZO@SGH對溶液中氟離子的去除率略微增大, 這是因為在pH值較低的環境下, 大量的H+使得吸附劑表面質子化而產生更多帶正電的吸附位點, 增強了其與電負性氟離子的靜電作用, 使更多的氟離子被吸附到吸附劑表面, 如化學方程式(9)和(11)所示.而當溶液pH值從4減小到3或是從6增大到11, HZO@SGH的吸附性能都呈現下降趨勢, 前者可能是由于在更低的pH值條件下, 溶液中形成了HF而使能夠吸附到HZO@SGH上的游離的氟離子減少, 后者則是因為隨著溶液pH值的上升, HZO@SGH表面的質子化作用逐漸減弱且溶液中大量OH-的存在會與氟離子競爭吸附劑表面的吸附位點, 從而導致氟離子在吸附劑上的吸附量減少, 并且在較高的pH條件下, 氟離子吸附到HZO@SGH主要是通過配位交換實現的, 如化學方程式(10)和(12)所示.
2.2.5 共存離子影響
在實際的含氟地下水中除了含有氟離子外可能還存在其他陰離子, 多種陰離子的共存可能會與氟離子一起競爭吸附劑表面的吸附位點而導致吸附劑對氟離子的吸附量的減少.為了探討HZO@SGH在含有不同濃度陰離子的含氟水中的吸附性能, 在25℃, pH=6.5的條件下, 本實驗設置NO3-、Cl-、SO42-、CO32-和PO43-這5種常見陰離子作為共存離子, 研究共存離子對氟離子在吸附劑上的吸附量的影響, 其結果如圖 11所示.
根據圖 11分析可知, 含氟水溶液中NO3-、Cl-濃度的增加對氟離子在HZO@SGH上的吸附量幾乎沒有影響, SO42-在濃度小于10 mg ·L-1時, 其對HZO@SGH吸附性能的影響較小, 但是CO32-和PO43-濃度的增加卻導致氟離子在HZO@SGH上的吸附量顯著下降.這其中存在著兩方面的原因:一是由于陰離子的表面電荷密度越大, 其與吸附劑的親和力越強, 而多價態離子的表面電荷密度一般都大于單價離子, 所以溶液中NO3-和Cl-的存在對影響吸附劑吸附氟離子的性能比SO42-、CO32-和PO43-小;二是因為其他陰離子的存在可能會改變溶液的pH值, 從表 4可看出, CO32-和PO43-在溶液中大量存在會因其發生水解而產生大量OH-使溶液堿性增強, 使得氟離子在吸附劑上的吸附量減小.
3 結論
(1) 采用均相沉淀法制備HZO@SGH吸附劑, 通過XRD和SEM表征手段可知HZO屬于無定形結構, 能夠均勻地涂蓋到SGH表面使得HZO@SGH保持SGH獨特的三維網狀結構.
(2) HZO@SGH對氟離子的吸附容量明顯高于HZO和SGH. HZO@SGH在氟離子溶液中的可分離性優于HZO, 通過靜置1h后可完全沉降到溶液底部, 便于分離回收, 防止二次污染的可能.
(3) 氟離子在HZO@SGH上的吸附動力學符合Lagergren擬二級動力學方程, 說明吸附速率主要由化學吸附控制.吸附過程可由Dubinin-Radushkevich吸附等溫模型描述, 吸附自由能E=9.87 kJ ·mol-1, 說明溶液中氟離子主要通過化學吸附作用吸附到HZO@SGH表面.吸附劑最大吸附量可達31.79mg ·g-1, 優于部分已報道的含鋯復合吸附劑.
(4) HZO@SGH在較寬的pH值(pH為3~6.5)范圍內對溶液中氟離子的去除率能夠保持89%以上, 在pH為4的條件下達到最大去除率98%;含氟水溶液中存在NO3-或Cl-對HZO@SGH的吸附性能幾乎沒有影響, 存在較低濃度的SO42-(≤10 mg ·L-1)時, HZO@SGH的吸附性能略微減小, 而當溶液中存在CO32-或PO43-時, 氟離子在HZO@SGH上的吸附量隨著兩種離子濃度的增加而急劇下降.具體聯系污水寶或參見http://www.xhxdt.com更多相關技術文檔。
(5) 通過紅外光譜、XPS表征和初始pH影響實驗分析可知氟離子吸附在HZO@SGH上的吸附機制主要是氟離子與質子化的吸附劑間的靜電引力作用和氟離子與吸附劑表面羥基間的配位交換作用.





















